• Included in CSCD
  • Chinese Core Journals
  • Included in WJCI Report
  • Included in Scopus, CA, DOAJ, EBSCO, JST
  • The Key Magazine of China Technology

Current Issue

2025 Vol. 44, No. 4

Display Method:
Comparative analysis of carbon sink effects in karst water systems in three-dimensional climate zones: Taking the Lijiang Basin-the Jinshajiang karst area as an example
YANG Xiaoyan, REN Shichuan, CHAI Jinlong, PEI Jie, WANG Bo, CAI Baoxin
2025, 44(4): 669-679. doi: 10.11932/karst20250401
Abstract:
To actively address global climate change and achieve the strategic goals of carbon peak and carbon neutrality, Chinese geologists have recently confirmed from multiple perspectives that the potential of karst carbon sinks is substantial. Studying the factors influencing karst processes is fundamental to accurately quantifying the intensity of karst carbon sinks. This study took multiple karst springs within the same aquifer, characterized by similar land use but different elevations in the Lijiang Basin–the Jinshajiang karst area as the research objects. Based on hydrological and hydrochemical data, the mass concentration of CO2 consumed by carbonate rock weathering and the carbon sink flux at each level of the groundwater system were calculated by the hydrochemical-runoff method.The results show that climatic conditions are the main factors controlling karst carbon sink effects. The mass concentration of CO2 consumed by carbonate rock weathering is mainly influenced by temperature and is negatively correlated with altitude. In other words, the lower the altitude, the higher the mass concentration of CO2 consumed by carbonate rock weathering. Additionally, the rate of increase in the mass concentration of CO2 consumed by carbonate rock weathering tends to rise as altitude decreases. The carbon sink flux is mainly controlled by temperature and precipitation. In high-altitude mountainous regions where carbonate rocks are mainly affected by freeze-thaw weathering, the carbon sink flux is mainly controlled by precipitation and shows a positive correlation with altitude; that is, higher altitude receive greater precipitation, resulting in an increased carbon sink flux. Conversely, when carbonate rocks are primarily affected by chemical weathering, the carbon sink flux is mainly controlled by temperature and affected by precipitation, exhibiting a negative correlation with altitude. In this case, lower altitudes correspond to a greater carbon sink flux from carbonate rock weathering, with an increasing trend in magnitude. However, this change is less pronounced than the variation in the mass concentration of CO2 consumed by carbonate rock weathering, which decreases due to the reduction of precipitation. This indicates that the variations in altitude in a three-dimensional climate zone give rise to different climate types,such as precipitation form and amount, temperature, air pressure, evaporation, sunshine, etc.,thereby controlling the distribution of vegetation types and organisms, the intensity of weathering, and indirectly controlling the development and formation processes of karst and distribution of soil. Therefore, differences in altitude alter nearly all external environmental factors that control and affect karst development except for the hydraulic gradient. This results in the formation of diverse karst morphologies and distinct karst water system characteristics, which further amplify variations in karst features and carbon sink intensity. This is the main reason for the differences in karst and carbon sink intensity observed within the same area. The hydrological characteristics of karst water systems, along with vegetation and soil cover conditions, are important factors influencing the mass concentration of CO2 consumed by carbonate rock weathering and the carbon sink flux. These factors can even have a greater impact than climatic conditions. Therefore, human modifications of the external environment can change the intensity of karst carbon sinks, supporting strategic goals related to carbon peak and carbon neutrality. This study provides a geological basis for accurately assessing the intensity of karst carbon sinks, which is of great significance for understanding the global carbon cycle and advancing efforts toward carbon peak and carbon neutrality.
Spatial and temporal variations of vegetation carbon sinks in southwest karst and non-karst regions and climate impact factors
YAN Yan, YANG Wenya, HUANG Yuqing, HU Baoqing, FAN Yanhong, HUANG Jing
2025, 44(4): 680-691. doi: 10.11932/karst20250402
Abstract:
Terrestrial ecosystems, as a core component of the global carbon cycle, play a crucial role in carbon source/sink dynamics, which are significant for mitigating climate change and formulating strategies on sustainable development. Karst ecosystems, characterized by unique geological features such as carbonate rock dissolution, shallow soil, and high ecological fragility, exhibit distinct carbon sequestration mechanisms compared to non-karst regions. The southwest region of China boasts the world’s largest contiguous karst area. Through rock weathering and vegetation restoration, the regional carbon sink capacity has been significantly enhanced. However, its carbon cycle is vulnerable to climate fluctuations and human activities. Although existing studies have focused on the carbon sink effect of karst ecosystems, the long-term spatiotemporal comparative analysis of carbon sources/sinks in karst and non-karst regions is still insufficient, and the influence mechanism of climate factors on carbon fluxes has not yet been fully clarified. In addition, the climate conditions associated with cloudy and rainy weather restrict the acquisition of traditional remote sensing data, thereby impeding the development of large-scale dynamic monitoring. Addressing these gaps is essential for optimizing ecological restoration strategies and advancing global carbon cycle models. Net Ecosystem Productivity (NEP), defined as the difference between Net Primary Productivity (NPP) and Heterotrophic respiration (Rh), serves as a key indicator for quantifying carbon sink/source dynamics. This study utilized the Google Earth Engine (GEE) platform and integrates MODIS MOD17A3HGF net primary productivity data, with a spatial resolution of 500 meters, spanning from 2003 to 2019, along with the ERA5-Land climate dataset, which included temperature and precipitation variables. The spatiotemporal evolution characteristics of vegetation carbon sources/sinks and their climatic driving factors in the karst and non-karst regions of Southwest China were systematically analyzed. All datasets were reprojected to the WGS_1984_UTM_Zone48N coordinate system and resampled to 500-meter resolution with the use of nearest-neighbor interpolation. The research methods include: (1) quantifying the carbon source/sink intensity through the NEP model, where soil Heterotrophic respiration (Rh) was estimated through an empirical formula incorporating temperature (T) and precipitation (R); (2) identifying the long-term trend of NEP by using Theil-Sen median slope estimation method and the Mann-Kendall significance test, and categorizing the results into nine significance levels; (3) analyzing the spatial heterogeneity of temperature and precipitation effects on NEP based on partial correlation analysis. Regions with p-values less than 0.05 were mapped to visualize spatial heterogeneity. The research findings show that: (1) From 2003 to 2019, the average annual NEP in the southwest region was 718.18 gC·m−2, showing a significant overall upward trend at a growth rate of 3.11 gC·(m−2·a)−1. Notably, the growth rate in the karst area was 4.27 gC·(m2·a)−1, significantly higher than the 2.76 gC·(m2·a)−1 observed in non-karst regions. (2) Carbon sink areas accounted for 99.994% of the total study area, while the carbon source areas (0.006%) were sparsely distributed, primarily in urbanized or high-altitude non-karst regions. (3) Spatially, NEP displayed a latitudinal gradient, decreasing from the tropical southern regions (e.g., Yunnan, Guangxi) to temperate northern zones. High NEP values (1,152.5 gC·m−2 to 1,920.84 gC·m−2) were correlated with dense forests and favorable hydrothermal conditions, whereas low values (<384.17 gC·m−2) were found in the alpine regions of Sichuan. Over 73% of the study area showed increasing NEP trends, concentrated in the Sichuan Basin and karst-dominated provinces such as Guizhou and Hunan. Declines (23.5%) were prominent in Xishuangbanna (Yunnan), where elevated temperatures intensified soil respiration. (4) Positive correlations between NEP and temperature dominated 86.89% of the regions, particularly in central karst zones where moderate warming enhanced photosynthesis. Negative correlations (13.11%) were localized in southern Yunnan, where excessive heat impaired enzymatic activity. Negative correlations prevailed in monsoon-dominated regions (e.g., Guangdong, 51.7%), where heavy rainfall exacerbated soil erosion and anthropogenic disturbances. Conversely, positive correlations (48.3%) occurred in arid karst hills (e.g., Guangxi), where precipitation alleviated water stress. This study combines high-resolution remote sensing data with climate models to reveal the spatial differentiation of carbon sink functions and their climate-driven mechanisms in the karst regions of Southwest China. It provides a scientific basis for regional ecological restoration policies, such as the management of rocky desertification. The integration of GEE and MODIS data enabled high-resolution, long-term monitoring of carbon fluxes in ecologically fragile karst landscapes, overcoming traditional limitations posed by cloud-contaminated imagery. Further research indicates that moderate warming can enhance the productivity of karst vegetation, whereas extreme high temperatures or heavy precipitation may suppress the carbon sink capacity. Future studies should incorporate factors such as land-use change and human interference to comprehensively assess carbon management strategies for fragile ecosystems and provide references for carbon cycle research in comparable karst landform regions worldwide.
Numerical simulation of groundwater in karst tunnel areas based on MODFLOW-CFPv2
CHEN Jinna, AN Guanping, YANG Douqiang, WANG Yunjiang, PENG Hang, YANG Tingqiao, HUANG Tao
2025, 44(4): 692-700. doi: 10.11932/karst20250403
Abstract:
Southwest China is a typical karst development area, and the groundwater system is extremely complex, with a high degree of heterogeneity and complexity. The karst geological features in this area usually show a fissure-pore dual-media structure, and this geohydrological feature leads to the obvious nonlinear behavior of groundwater flow patterns. These special geological conditions not only pose significant challenges to the development and utilization of groundwater resources, but also complicate the accurate prediction of groundwater dynamics. In particular, when the tunnel construction is conducted in karst areas, it is easy to affect the groundwater flow field and produce water inrush disasters, which will have a far-reaching impact on the local groundwater resources, ecological environment, and even social and economic activities. Therefore, it is of great practical significance to study and understand the law of groundwater flow in karst areas and to accurately predict the amount of groundwater inflow and flow modes during tunnel construction, so as to ensure the safety of engineering construction, the protection of water resources, and the prevention of groundwater pollution.In this study, the MODFLOW-CFPv2 dual-media coupling model has been adopted. This model integrates two mechanisms-pipeline flow and matrix flow-enabling effective simulation of the complex water flow interaction between the fractured pipeline and the surrounding matrix in karst systems. The introduction of this model enables researchers to more accurately describe the laminar and turbulent flow characteristics in karst groundwater systems, and provides a powerful tool for in-depth understanding and simulation of the dynamics of karst groundwater. By integrating Gempy 3D geological modeling technology, this study further improves the fitting ability of the model to the complex geological structures of karst areas, thereby providing a more realistic depiction of groundwater flow characteristics within the tunnel area. During the simulation, key parameters, including the hydraulic conduction coefficient, recharge coefficient, pipeline size, and friction coefficient, have been calibrated through actual geological and hydrological data to ensure the accuracy and reliability of the model results.The main objective of this study is to quantitatively evaluate the water inflow and its influence on the groundwater flow field during tunnel construction in karst areas through numerical simulation, so as to provide theoretical support for the hydrological management of tunnel construction. In order to ensure the reliability of the simulation results, a large number of field monitoring data were used for model calibration. Specifically, the long-term monitoring data of borehole water level and spring flow were used as calibration objective functions to reflect the hydrological trend before and after tunnel construction. After calibration, the results showed that the Pearson correlation coefficient between the simulated water level and the measured water level is more than 0.98. This indicates that the model can accurately reflect the actual groundwater dynamics and provides a reliable basis for subsequent predictions.Simulation results revealed a significant variation in water inflow during tunnel construction. At the beginning of tunnel excavation, the predicted peak water inflow exceeded 20,000 m3·d-1 due to the drastic changes in the groundwater flow field caused by excavation, indicating a substantially increased risk of water inrush disasters. The simulation also showed that the drainage channel formed after the tunnel excavation caused a rapid drop in groundwater levels, far exceeding natural fluctuations. Even after the completion of the construction, groundwater levels had not returned to pre-excavation levels and remained approximately two meters lower, indicating a lasting impact of tunnel construction on the hydrological system. These findings provide important evidence for the hydrological management during tunnel construction, highlighting the need to consider the long-term effects of such projects on groundwater flow and water levels, especially in karst areas.Furthermore, this study revealed the profound impact of tunnel construction on groundwater flow and spring flow variations. As the tunnel excavation progresses, groundwater is rapidly discharged through karst pipelines, leading to significant changes in regional groundwater flow and spring discharge. The research findings indicate that during tunnel construction, groundwater flow is influenced not only by fissure flow but also interacted with matrix flow, further complicating the groundwater flow patterns. By analyzing the model results, researchers can more accurately identify the extent of the impact of tunnel construction on the groundwater flow field and propose corresponding hydrological management measures.
Genesis mechanism of karst water revealed by hydrochemistry and isotopes in Pingliang, Gansu
ZHANG Chengwen, ZHENG Haofan, HE Jianbo, LIU Zilong, MAO Xumei
2025, 44(4): 701-710. doi: 10.11932/karst2025y015
Abstract:
Karst water is a significant water resource in the Pingliang region. Investigating the formation mechanism of karst water is crucial for the sustainable utilization of karst water resources, the protection of water sources, and the formulation of environmental protection measures in the area. Such studies provide a scientific basis and theoretical support for promoting the sustainable development of regional water resources and maintaining the health of the water environment. The hydrochemical composition of karst water can reveal the processes of recharge, runoff, and discharge, while isotopic tracing methods help delineate the extent and dynamic changes within the karst water system.To uncover the genesis mechanism of karst water in Pingliang City, we conducted a comprehensive analysis of its hydrochemical characteristics and sources using methods such as Piper trilinear diagrams, mathematical modeling, and ion ratio coefficients. The results indicate that the groundwater in the region can be mainly classified into two types: HCO3-Ca and HCO3·SO4-Na, with Ca2+ and Na+ as the dominant cations and ${\rm{HCO}}_3^{-}$ as the primary anion. The pH value ranges from 6.72 to 6.90, exhibiting overall weakly alkaline hydrochemical characteristics. Total Dissolved Solids (TDS) concentrations in the groundwater range from 158.01 mg·L−1 to 1,519.40 mg·L−1. Spearman correlation analysis shows that the hydrochemistry of karst water in the study area is primarily controlled by the dissolution of minerals such as dolomite and evaporites. TDS is highly positively correlated with the contents of Na+, Mg2+, Cl, ${\rm{SO}}_4^{2-}$ and ${\rm{HCO}}_3^{-}$. Additionally, the content of Mg2+ is significantly positively correlated with the contents of the main anions Cl, ${\rm{SO}}_4^{2-}$ and ${\rm{HCO}}_3^{-}$ (r > 0.70, p < 0.01), and the content of Na+ also shows a significant positive correlation with the contents of Cl and ${\rm{SO}}_4^{2-}$ (r > 0.98, p < 0.01). In the analysis of ion proportional coefficients, the hydrochemical characteristics of karst water in Pingliang City are mainly influenced by rock weathering. Na+ not only originates from the dissolution of rock salt, but may also come from the dissolution of sulfate or silicate minerals. Mg2+ is derived from the combined action of calcite and dolomite. Ca2+ is produced not only from the dissolution of dolomite but also from the dissolution of calcite and dolomite. During the rock weathering process, dolomite, calcite, and evaporites dominate the hydrochemical formation of karst water in Pingliang City. The Gibbs diagram combined with the analysis of mineral saturation indices further confirms that the dissolution of evaporites, carbonates, and silicate minerals is the natural source of hydrochemical components in Pingliang City. Ca2+, Mg2+ and ${\rm{HCO}}_3^{-}$ in the karst groundwater of Pingliang City mainly originate from the combined dissolution of calcite and dolomite. Hydrogeological conditions and hydrogen-oxygen isotope analyses show that δD values range from -75.45‰ to -64.80‰, with an average of -69.20‰; while δ18O values range from -11.26‰ to -9.16‰, averaging -10.07‰. These results indicate that all groundwater is recharged by infiltration of atmospheric precipitation.Based on the identification of the gensis model for karst water, it has been determined that there are two genesis modes of karst water in the Pingliang region. Mode 1: Atmospheric precipitation infiltrates through the overlying Quaternary loess layer, continuously dissolving sulfate minerals within the loess, and enters the limestone confined aquifer through karst fissures formed by faults, eventually emerging as springs at the interface between the loess and limestone aquifer. In this mode, the chemical type of karst water is mainly HCO3·SO4-Na. Mode 2: Atmospheric precipitation infiltrates through the overlying Quaternary sandstone layer, continuously dissolving carbonate minerals in the sandstone layer, and enters the limestone confined aquifer through karst fissures formed by faults, eventually emerging as springs at the interface between the sandstone and limestone aquifers. In this mode, the chemical composition of karst water is mainly HCO3-Ca. Although both modes receive atmospheric precipitation recharge from the windward side of the mountain and enter the aquifer through karst fissures in the overlying strata, differences in these strata result in distinct hydrochemical characteristics. This indicates that the mineral dissolution in the overlying strata is the main factor influencing the hydrochemical composition of karst water in Pingliang.
Characteristics and influencing mechanisms of soil nitrous oxide (N2O) emissions from forestlands at different slope positions in karst regions
YANG Mingzhen, YANG Lin, LIU Lijun, WEN Dongni, CAO Jianhua, ZHU Tongbin, YU Longfei, LI Liang, LIANG Jian, LU Danmei
2025, 44(4): 711-721, 733. doi: 10.11932/karst20250405
Abstract:
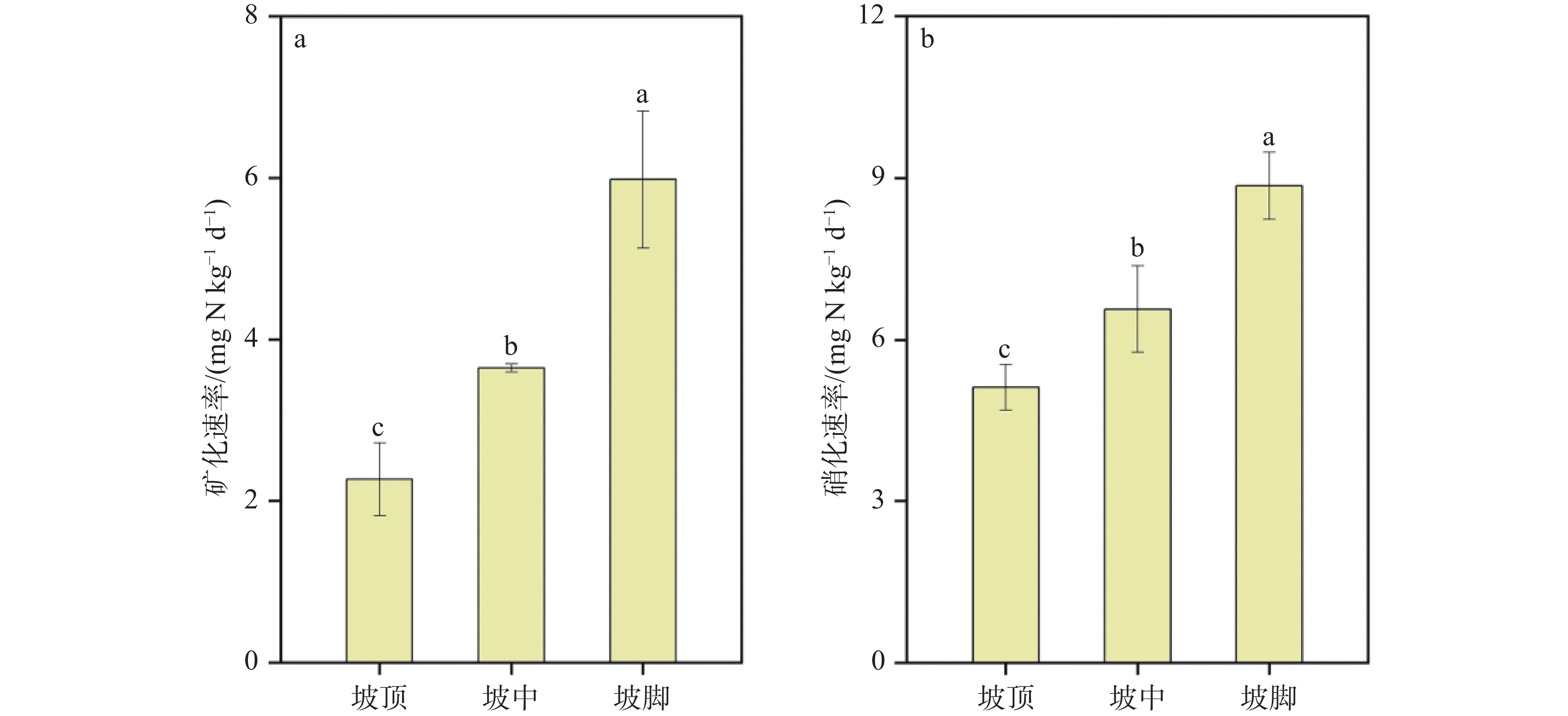
Greenhouse gases reflect long-wave infrared radiation from the Earth’s surface, causing the rise in global temperatures. Nitrous oxide (N2O) is one of the three major greenhouse gases, with a century-long warming potential 296 times greater than that of carbon dioxide (CO2) and an atmospheric lifetime of about 116 years. In addition to its greenhouse effect, N2O also depletes stratospheric ozone, further intensifying the impacts of global climate change. Studies have shown that soil N2O emissions from subtropical and tropical forests account for about 18% of global atmospheric N2O sources. However, these studies have primarily focused on non-karst regions, with relatively few investigations conducted in karst regions.Karst landscapes are widely distributed across the globe, and their soils exhibit high rates of mineralization and nitrification, which theoretically may make them hotspots for global soil N2O emissions. Forestlands are important parts of karst regions, accounting for about one-third of their total area. Therefore, the emission of N2O from forest soils in karst regions may have a substantial impact on global greenhouse gas emissions. Furthermore, karst regions feature complex topography, and differences in soil properties, such as soil mineralization and nitrification processes at different slope positions, may lead to significant spatial variability in N2O emissions.In this study, soil N2O emissions were continuously monitored for 154 days from natural forestlands at different slope positions (upper slope, middle slope, foot slope) in Guilin, a typical karst region in southwest China. Soil N2O emission fluxes were measured with the use of a static chamber method. Soil mineralization (MNorg) and nitrification (ONH4) rates were assessed with the 15N tracing technique. Soil temperature and soil Water-Filled Pore Space (WFPS) were recorded through a soil temperature and moisture logger. Additionally, soil physical and chemical indicators were analyzed. The results of this study show that the soil mineralization and nitrification rates varied significantly among different slope positions in karst regions. The rate of soil mineralization was maximum at the foot slope, reaching 5.98 mg N·kg−1·d−1, which was significantly higher than those at the middle slope (3.65 mg N·kg−1·d−1) and upper slope (2.27 mg N·kg−1·d−1). The rate of soil nitrification at foot slope was 8.85 mg N·kg−1·d−1, which was higher than those at the middle slope (6.57 mg N·kg−1·d−1) and upper slope (5.11 mg N·kg−1·d−1). These changes were primarily closely related to changes in Soil Organic Carbon (SOC) and Total Nitrogen (TN) contents, and soil pH. As slope positions decreased, SOC and TN contents and pH increased significantly, contributing to higher rates of soil mineralization and nitrification. Further analysis of soil N2O emission fluxes from forestlands in karst regions revealed significant differences in soil N2O emission fluxes at different slope positions. The N2O emission fluxes of forest soils in karst regions ranged from 5.21 μg N·m−2·h−1 to 39.6 μg N·m−2·h−1, with an average emission flux of 14.1 μg N·m−2·h−1. The N2O emission fluxes of soils at the foot slopes were higher than those at the upper and middle slopes. The analysis showed a significant increase in soil WFPS and a rising trend in soil temperature as the slope position decreased. The soil N2O emission fluxes were significantly and positively correlated with WFPS and temperature, indicating that soil temperature and moisture have important influences on soil N2O emissions. Additionally, the cumulative N2O emissions from forest soils in karst regions ranged from 0.43 kg N·hm−2 to 0.71 kg N·hm−2. The highest value was observed at the foot slope (0.71 kg N·hm−2), followed by the middle slope (0.53 kg N·hm−2), and lowest at the upper slope (0.43 kg N·hm−2). Correlation analysis showed that cumulative soil N2O emissions were significantly and positively correlated with mineralization and nitrification rates, SOC and TN contents, as well as pH. The PLS-PM analysis also suggested that slope positions regulated the rates of soil mineralization and nitrification by influencing the physicochemical properties of soil pH, TN, and SOC. These changes, in turn, indirectly affected the cumulative emissions of soil N2O. Therefore, when evaluating soil N2O emissions in karst regions, it is important to fully consider topographic factors to more accurately estimate greenhouse gas emissions in these regions.These findings are of great significance for advancing our understanding of the mechanisms underlying soil N2O emissions in karst regions and their potential impact on global climate change. At the same time, they provide a theoretical basis for developing more precise strategies for the management of carbon and nitrogen emissions, which could aid in climate change mitigation.
Evolutionary characteristics of rocky desertification land in the karst areas of the Beipanjiang River Basin
SHU Junsheng, ZHANG Xiaochen, YE Haiyan, WU Xiebao, NING Xiaobin, ZHANG Yawei, CAI Yi
2025, 44(4): 722-733. doi: 10.11932/karst20250406
Abstract:
Rocky desertification is a significant constraint on socio-economic development and ecological construction in Southwest China. This study investigates the spatiotemporal evolution characteristics and future trends of rocky desertification in the Beipanjiang River Basin using the first, second, third, and fourth rocky desertification survey and monitoring datasets from the National Forestry and Grassland Administration. The Beipanjiang River, a major tributary of the Pearl River, originates in the Wumeng Mountains of Yunnan Province and traverses Guizhou Province. Characterized by significant topographical relief and extensive karst distribution, the Beipanjiang River Basin is a vital ecological functional area in Southwest China. This study aims to provide scientific support for regional ecological protection and rocky desertification control. Data from 2006 to 2022-including vegetation coverage, bare rock exposure rate, vegetation type, soil layer thickness, and rocky desertification degree-were analyzed with the use of “3S” technology (Remote Sensing, Geographic Information Systems, and Global Positioning Systems) alongside field surveys. The spatiotemporal evolution characteristics were assessed through dynamic analysis methods, and future trends were predicted with the use of the Markov model. Results show that from 2005 to 2021, vegetation coverage increased from 29.6% to 40.6%, the bare rock exposure rate decreased from 34.2% to 27.9%, and the proportion of rocky desertification land area shrank from 42.2% to 18.9%. Rocky desertification land was mainly concentrated in the middle and lower reaches, where areas experiencing moderate and severe rocky desertification accounted for over 35% of the karst area. Predictions indicate that by 2026 and 2031, the extent of moderately and severely desertified land will decrease by 241.53 km² and 408.61 km², respectively. Over the past 15 years, rocky desertification has been effectively controlled, although some areas still experience instability and face the risk of deterioration. Future efforts, supported by policy measures, are expected to further improve the situation, despite ongoing challenges in severely affected regions. This study recommends to further strengthen ecological protection and restoration, increase financial and technological investment, and improve the dynamic monitoring and scientific evaluation system to support policy optimization. Additionally, further research is needed to understand the impact mechanisms of climate change on rocky desertification and explore new governance pathways adapted to climate change.
Comprehensive evaluation and restoration management of ecological issues in abandoned mines in plateau-mountainous areas: A case study of Qujing City, Yunnan Province
WANG Bo, ZHAO Li, GUO Yun, CHEN Xiaomei, SONG Zenghong
2025, 44(4): 734-748. doi: 10.11932/karst2025y016
Abstract:
Due to the early extensive development, the geomorphic landscape, land resources, and forest vegetation have been severely damaged. Coupled with the fragile ecological environment in the plateau-mountainous areas, the ecological problems caused by abandoned mines have significantly affected the regional natural ecosystem and human settlements, thereby restricting economic and social development. In recent years, China has continued to promote the ecological restoration of mines, resulting in a marked improvement in environmental quality. However, some abandoned mines suffer from unclear restoration goals, improper management practices, and poor restoration outcomes due to insufficient investigation and inadequate comprehensive evaluation of ecological issues. In this study, Qujing City, a typical area in the plateau-mountainous region of eastern Yunnan, was selected as the research object. We systematically analyzed the geological environmental issues caused by abandoned mines in the area, as well as the ecological and environmental conditions of the sites where these mines are located. A comprehensive evaluation of the ecological issues associated with abandoned mines within the region was conducted. The ecological issues in the mining areas in the study area have been classified into different severity levels. The assessment results indicate that areas with severe (Level I) and moderately severe (Level II) ecological problems in the abandoned mines cover a total area of 999.01 hectares, accounting for 90.18% of the total area. Among these, areas with severe ecological problems (Level I) are mainly located in Shizong, Luoping, and Fuyuan Counties along the Nanpanjiang River Basin, whereas areas with moderately severe ecological problems (Level II) are primarily found in Shizong County and Fuyuan County along the Nanpanjiang River Basin, as well as in Xuanwei City along the Beipanjiang River Basin. Based on the comprehensive evaluation of the ecological issues associated with abandoned mines in the study area, and in conjunction with territorial spatial planning, the Nanpanjiang River Basin, which is identified as the most prominent and representative in terms of environmental problems, is prioritized. Additionally, considering the natural geographical patterns and focusing on the protection of the ecological barriers at the source of the Pearl River and the upper reaches of the Yangtze River, as well as addressing key ecological challenges such as soil erosion and rocky desertification, the study area is divided into four restoration zones: (1) the restoration area for water conservation and rocky desertification prevention and control in the Nanpanjiang River Basin at the source of the Pearl River; (2) the restoration area for water conservation in the Beipanjiang River Basin in the upper reaches of the Pearl River; (3) the restoration area for soil and water conservation in the Xiaojiang River Basin in the upper reaches of the Yangtze River; and (4) the restoration area for biodiversity conservation in the Niulanjiang River Basin in the upper reaches of the Yangtze River. For areas classified as Type I, which face severe ecological problems, the main strategy is to carry out ecological restoration, expand forests and grasslands, and enhance the overall function and value of the ecosystem. In contrast, for areas classified as Type II and Type III, where ecological issues are relatively concentrated but less severe, the focus is on balancing development with ecological protection while meeting land use needs. By categorizing regions based on the severity of ecological problems, more precise and targeted ecological restoration measures can be proposed, thereby providing valuable reference and guidance for ecological protection and restoration in other similar plateau-mountainous areas.
Analysis of microbial diversity and community structures in typical native karst environments
REN Yazhen, LI Qiongfang, ZOU Lan, JIANG Zhongcheng, DAI Qunwei, Yap Lik Sen, FENG Xin, LI Wanyue, ZHOU Xiaoya, JIANG Meng
2025, 44(4): 749-763. doi: 10.11932/karst20250407
Abstract:
Karst landscapes in China are widely distributed, covering 22 million km2 and accounting for 15% of the Earth's land area. The karst dynamic system is an open system characterized by a three-phase dynamic equilibrium among CaCO3 , H2O and CO2. Karst carbon cycling is considered as an important means to address climate change, with microorganisms inhabiting the karst environment playing a crucial role in this carbon cycle. Karst regions in Southwest China comprise nearly one-third of the total country’s karst area. Within these regions, karst landforms are widely distributed in the Guangxi Zhuang Autonomous Region, particularly concentrated and contiguous in the southwest, northwest, central and northeast parts of Guangxi, covering about 37.8% of its total land area. There are various types of karst development, which are rare worldwide. Karst regions in Southwest China, exemplified by Guilin in Guangxi, represents typical karst landscapes in this country. Analyzing microorganisms that survive in this local karst environment provides highly representative insights. Some studies have shown that carbonic anhydrase-producing microorganisms play a significant role in promoting carbonate deposition. However, the mechanisms by which these microorganisms and their carbonic anhydrase participate in this process, as well as their influence on karst action, remain to be investigated. To clarify the characteristics of water and soil microbial communities in typical native karst areas, this study analyzed microbial diversity and community structures in the water and soil of the Guilin region using high-throughput sequencing technology. Additionally, we examined the effects of environmental factors on microbial communities and explored the potential functions of karst microorganisms in the carbon cycle.In this study, we analyzed the environmental background of typical native karst regions, focusing on the physical and chemical properties as well as the elemental content of water and soil. High-throughput sequencing was then used to examine the diversity and community structures of bacteria in both water and soil within these karst regions. We utilized diversity indices, community composition analyses, correlation analyses between microbial communities and environmental factors, and potential function prediction analyses to enhance our understanding of bacterial species and community structures in typical karst regions. Additionally, we compared the bacteria from the Huanglong alpine karst area with the bacteria studied previously to analyze the differences of microorganisms across various karst geomorphological environments and to identify their unique microbial types.The study results are as follows: (1) The typical karst region in Guilin provides an environment conducive to calcium carbonate deposition. The average water temperature reaches around 25 ℃, with a pH above seven. The contents of Ca2+ and ${\rm{HCO}}_3^{-}$ are high, mainly in the ${\rm{HCO}}_3^{-}$-Ca2+ type of water quality. The soil is alkaline, which favors calcium carbonate deposition, and there are no significant differences in basic physical and chemical properties among the sample sites. Si is the main element in the soil, with the highest content at Site S3 (62.31%), followed by Al and Fe. Ca content is very little and varies considerably within the group. (2) A total of 106 phyla, 1132 genera and 635 becteria species were identified. Proteobacteria is the dominant bacterial phylum across all communities. In the water samples collected from Guilin, the dominant genera are Acinetobacter, Limnohabitans, Exiguobacterium, Chryseobacterium, and Deinococcus. In the soil, the dominant genera are norank Vicinamibacteraceae and norank Vicinamibacterales. Aeromonas is a distinctive genus found in water sample from Huanglong. (3) In water samples from Guilin, Cl and ${\rm{NO}}_3^{-}$ have the most significant impact on the bacterial community structure, whereas in the soil, the structure is primarily influenced by Soil Water Content (SWC) and Ca. (4) Microbial species such as Proteobacteria, Bacteroidota, Deinococcata, Acidobacteria and Firmicutes play significant roles in the karst environment through carbon cycle-related functions,including aerobic chemoheterotrophy, fermentation, and photosynthesis, as well as through various carbon-related metabolic pathways,such as carbon metabolism, glycolysis, amino acid synthesis and carbon fixation. Functional predictions reveal that most bacteria participate in the carbon cycle, with similar functional types present in both water and soil environments but in different proportions, dominated by chemoheterotrophy. Metabolic potential analysis highlighted glycolysis and the tricarboxylic acid (TCA) cycle as key pathways. (5) A comparison of microorganisms across different karst environments shows species differences at various taxonomic levels. The composition of bacterial communities is closely related to their specific karst microenvironments, and these bacteria significantly influence biogeochemical cycles, particularly the carbon cycle, within the karst systems. These findings enhance our understanding of microbial contributions to the carbon cycle in karst landscapes and offer insights into the biological mechanisms driving carbon sink formation.
Research hotspots and development trends in the stalagmite field from 2015 to 2024 based on CiteSpace
ZHOU Wenming, YANG Xunlin, WANG Sinan, WANG Linju, LI Guofeng, XIANG Wanli, GE Xiaoyan, GONG Meng
2025, 44(4): 764-776. doi: 10.11932/karst20250408
Abstract:
Stalagmites are regarded as the fourth pillar for studying paleoclimatology and serve as important geological carriers for paleoclimate research. In recent years, there have been few studies in China that utilize CiteSpace software for the quantitative analysis of research trends related to stalagmites. To address this gap, this study uses CiteSpace software to draw a network knowledge map, conducting a comparative analysis of Chinese and English literature. It examines research hotspots and development trends in the field of stalagmites from a perspective of bibliometrics over the decade from 2015 to 2024. The aim is to provide scholars with a valuable reference for understanding the latest research progress of stalagmite studies and to identify potential breakthroughs for future research. The study conducted a visual analysis of the CNKI database and the Web of Science (WOS) Core Collection using CiteSpace 6.3 R1. First, the data filtered and downloaded from CNKI and WOS were imported into the CiteSpace software. Next, the relevant software parameters were set. Finally, the corresponding graphs were generated. In addition, the built-in functions of the CNKI and WOS databases were utilized to conduct visual analyses of research institutions, co-authors, and cited literature, etc. This study included 360 Chinese-language papers, with the main research topics such as oxygen isotopes, the Asian monsoon, the Holocene Period, cave drip water, and the Last Glacial Period. It also included 791 English-language papers, focusing on topics such as cave monitoring, climate, variability, high resolution analysis, the East Asian summer monsoon, and the Last Glacial Period. The conclusions are as follows: (1) In terms of research hotspots and trends, the Last Glacial Period, the Holocene epoch, and the direction of cave drip water have gradually attracted increasing attention. According to the clustering timeline, the Holocene epoch and cave drip water clusters have been relatively important research topics over the past two years and continue to maintain a high level of interest. In the analysis of emerging keywords in the stalagmite field, Chinese literature shows that the Last Glacial Period had the highest and most sustained emergence intensity, whereas in English literature, the term "last deglaciation" exhibited the highest emergence intensity. This indicates that from 2015 to 2024, research on stalagmites both domestically and internationally has increasingly focused on the "last deglaciation". (2) China is at the forefront of research in the field of stalagmites. In the knowledge map of the author collaboration network in the field of stalagmites from 2015 to 2024, three of the top five authors were from China. Similarly, in the knowledge map of the institution collaboration network, four of the top five publishing institutions are based in China. In the knowledge map of the country collaboration network, China ranked first in the number of publications in the field of stalagmites. Among the top five most cited papers in this field, the highest cited paper was by Cheng H et al., published in "Nature" in 2016. Across multiple dimensions such as co-authors, publishing institutions, publishing countries, and cited papers, China leads and holds a prominent position in stalagmite research. (3) The number of publications in both Chinese and English has been on the decline. From 2015 to 2024, the annual volume of research papers on stalagmites in the CNKI and WOS databases showed a fluctuating downward trend. This indicates that research in the field of stalagmites has gradually reached a saturation point, highlighting an urgent need for new methods, means, and impetus. From a dialectical perspective, the decrease in the number of Chinese publications may to some extent reflect the improved research quality of Chinese scholars, as an increasing number of them chose to submit their research findings to English-language journals. The above analysis indicates that research in the field of stalagmites requires the introduction of new technologies and methods, as well as enhanced interdisciplinary cooperation, to regain vitality. The co-authors, publishing institutions, publishing countries, and cited literature from multiple perspectives collectively demonstrate that China is at the forefront of global stalagmite. In recent years, there has been a significant focus on the Last Glacial Period, the Holocene, and the direction of cave drip water. This study analyzes only the relevant literature closely related to stalagmites included in the CNKI database and the WOS Core Collection. The results of the CiteSpace analysis may be subject to debate, and there are certain limitations in the depth of the research. Nonetheless, this study aims to provide a valuable reference for scholars to comprehensively understand the latest research progress in the field of stalagmites and to identify breakthroughs for future research.
Monsoon climate variability over the past century recorded by laminae stalagmite δ18O from southeastern Chongqing,China
GONG Meng, YANG Xunlin, GE Xiaoyan, ZHOU Wenming, WANG Sinan, LI Guofeng, XIANG Wanli
2025, 44(4): 777-789. doi: 10.11932/karst2025y008
Abstract:
This study adopted the stalagmite sample TK22-1 collected from Tiankeng Cave in Youyang Autonomous County, Chongqing, China, as the research object. A high-resolution δ18O sequence spanning the past century was reconstructed through a combination of high-precision 230Th dating and stalagmite laminae counting. This study reveals that the δ18O values of stalagmite TK22-1 exhibited a range of -6.03‰ to -7.29‰, with a mean value of -6.57‰. The positive shifts of δ18O (peaks) correspond well with recorded major drought events in the Sichuan-Chongqing region, such as the 2006 summer drought and the 1960 drought disaster. Correlation analyses show that δ18O variations exhibit a significant positive correlation with annual mean temperature but significant negative correlations with both annual mean humidity and the number of annual precipitation days. Although negatively correlated with total annual precipitation, this relationship does not reach statistical significance. Notably, the δ18O record closely corresponds to local drought events, indicating that regional hydrological conditions-such as temperature, the number of precipitation days, and humidity-are the dominant factors influencing stalagmite δ18O values.The nearly 100-year stalagmite δ18O time series shows distinct phases: δ18O remained consistently negative from 1900 to 1910, shifted to positive between 1910 and 1960, briefly decreased from 1960 to 1970, and have exhibited a consistently positive trend since 1970. Principal component analysis demonstrates that the positive δ18O trend in stalagmites from the Chinese monsoon region is spatially widespread, with a significant weakening observed after 1980. The observed weakening of the Asian Summer Monsoon (ASM) results from a combination of natural variability, such as 11-year solar cycles and Pacific Decadal Oscillation phase shifts, and anthropogenic forcing including greenhouse gases and aerosols. The primary driving mechanisms including ENSO regime transitions, weakening of Atlantic Meridional Overturning Circulation (AMOC) and Pacific Walker Circulation (PWC), and aerosol effects.This trend is significantly associated with global rise in temperature, an increased frequency of extreme ENSO events, and the weakening of both the AMOC and the PWC. Wavelet analysis identifies significant ENSO-related periodicities (2 years to 7 years) in the δ18O record. Between 1960 and 2000, the ENSO system progressively shifted toward El Niño-like states, with Central Pacific (CP) El Niño events suppressing monsoon intensity. The weakening of AMOC reduces land-sea thermal gradients, while the weakening of PWC alters zonal sea surface temperature gradients; together, these changes diminish monsoon dynamics.
Analysis of heavy metal pollution sources in farmland soil surrounding weathered manganese ore mining areas in the Guangxi karst region based on APCS-MLR model
WANG Jinlong, ZHENG Guodong, QIN Jianxun, WANG Lei, LI Jie, OUYANG Xindong, GU Wenbo, HUANG Xiaoxia, QIN Yanyin
2025, 44(4): 790-801. doi: 10.11932/karst20250409
Abstract:
Guangxi boasts an abundant supply of manganese ore resources, with its annual output constituting approximately 30% of the national total. The distribution is extensive, encompassing manganese ore deposits in all 14 prefecture-level cities. Nevertheless, while endowed with rich manganese ore resources, the ecological and environmental issues resulting from manganese mining have grown increasingly severe, particularly the presence of excessive heavy metals in the surrounding farmland soil of manganese mining areas. According to relevant statistics, the area of farmland influenced by manganese mining within Guangxi amounts to approximately 13.32% of the total farmland area in the region. The contents of heavy metal elements, such as Cd and As, in the soil significantly exceed the average levels of soil in Guangxi. Relevant research indicates that in most edible parts of crops grown in farmland surrounding manganese mining areas, five types of heavy metals have surpassed the national food safety thresholds. These crops, containing excessive heavy metals, will ultimately accumulate in the human body through the food chain, causing irreversible harm to human health with long-term consumption. However, to date, no research has been so far conducted on heavy metal pollution in farmland soil associated with manganese mining in Guangxi. Hence, to investigate the ecological risks posed by manganese mining to the surrounding farmland, the soil from farmland adjacent to the weathered manganese mining area in a typical karst region of Guangxi was selected as the research subject. Soil samples were collected from the 0 to 20 cm soil layer of farmland surrounding the manganese mining area, and the contents of eight heavy metal elements were analyzed. The potential pollution index method and the geoaccumulation index method were employed to assess the ecological risk of the farmland soil in the study area. Principal Component Analysis (PCA) and the Absolute Factor Score-Multiple Linear Regression model (ACPS-MLR) were utilized to qualitatively and quantitatively analyze the sources of heavy metals in the soil, while the Positive Matrix Factorization (PMF) model was applied to verify the results. The findings reveal that the potential pollution risk of the farmland soil in the study area is moderate (RI = 222.28), among which the pollution indices of single indicators Cd ( Ei= 90.05) and Hg ( Ei= 89.6) reach the medium to severe level. The degree of geoaccumulation pollution follows the order: Cd > Hg > Zn > Pb > Ni > Cr > Cu > As. The evaluation results disclose that there exists a certain degree of pollution in the soil of the study area, mainly manifested by heavy metal elements such as Cd, Hg, As, Pb and Zn. The PCA results suggest that the farmland soil in the study area is primarily influenced by two pollution sources, which are likely human mining and emission sources and natural sources, contributing 61.8% and 26.2%, respectively. The quantitative analysis results of the ACPS-MLR demonstrate that Cd, Cr, Hg, Mn and Ni are mainly affected by human mining activities, contributing 97.22%, 81.79%, 92.47%, 97.28% and 82.81%, respectively. In contrast, As, Pb, and Zn are mainly influenced by natural sources, contributing 60.71%, 88.97% and 72.14%, respectively. Cu is mainly affected by the superposition of human mining activities and natural sources, contributing 47.75% and 52.25%, respectively. The verification results of the PMF indicate that the two models exhibit a high degree of similarity in identifying pollution sources. However, due to the significant differences in their mechanisms, discrepancies arise in the analysis of the contribution rates of pollution sources. Nevertheless, the two models together form a robust method verification system. A comprehensive consideration of both models can provide a more scientifically sound theoretical basis for pollution source tracing. Based on this study, the findings can serve as a foundation for the remediation of heavy metals in farmland soil and for the prevention and control of ecological risks in the study area.
Pollution characteristics and sources of soil heavy metals in the carbonate rock region of central Shandong
JIANG Bing, SUN Zengbing, ZHANG Deming, WANG Jian, LIU Yang
2025, 44(4): 802-814. doi: 10.11932/karst20250410
Abstract:
Soil heavy metals in carbonate rock regions often exhibit natural high-background characteristics due to secondary enrichment during pedogenesis, posing potential risks to soil health, agricultural product safety, and ecological sustainability. Understanding the pollution patterns and sources of heavy metals in such high-background zones is critical for formulating targeted environmental protection strategies and safeguarding human health. This study focused on the carbonate rock region of central Shandong, a typical northern Chinese karst region dominated by Cambrian-Ordovician limestone and dolomite as parent rocks. A comprehensive investigation was conducted by collecting and analyzing samples of rock, surface soil, vertical soil profile, and atmospheric dustfall. Multiple analytical methods, including Enrichment Factor (EF) analysis, Principal Component Analysis (PCA), annual heavy metal increment simulation from dustfall, and Pearson correlation analysis, were employed to explore the pollution characteristics, sources, and influencing factors of soil heavy metals. Carbonate rock regions are globally significant for their unique pedogenic processes, where heavy metals undergo secondary enrichment due to intense chemical weathering and leaching of carbonate minerals. This natural enrichment, combined with potential anthropogenic inputs (e.g., atmospheric dustfall), complicates the identification of heavy metal sources and their ecological impacts. Previous studies have primarily focused on single-medium (soil-only or rock-soil) analyses, lacking systematic multi-medium investigations. This study aimed to bridge this gap by integrating data on rock, soil, and atmospheric dustfall to comprehensively characterize the behavior of heavy metals in carbonate rock regions. The study area, located at the junction of the mountainous area in central Shandong and the northern Shandong plain, experiences a semi-humid continental monsoon climate characterized by distinct seasonal precipitation. Parent rocks are primarily carbonate (limestone and dolomite), with soil development dominated by chemical weathering. Soil samples were collected from natural woodlands and wilderness grasslands with minimal human disturbance. Rock samples were collected at the outcrop of bedrock. Atmospheric dustfall samples were collected over a one-year period of dry deposition. All samples were processed and analyzed in a certified laboratory, with heavy metal concentrations measured by Inductively Coupled Plasma Mass Spectrometry (ICP-MS), X-ray Fluorescence (XRF), and Atomic Fluorescence Spectrometry (AFS). Additionally, physicochemical properties, including pH, cation exchange capacity, and organic matter, were determined. The results show as follows: (1) The contents of soil heavy metals (Cu, Pb, Zn, Cr, Ni, As, Cd, and Hg) are 2.76 to 6.82 times higher than those in parent rocks. The contents of As, Cr, and Ni in atmospheric dustfall is lower than those in soil (enrichment coefficient between 0.47 and 0.65), while the contents of Cu, Pb, Zn, Hg, and Cd are higher (enrichment coefficient between 1.17 and 8.67), with Cd being the most significantly enriched. (2) The average pollution degree of soil heavy metals, ranked by EF values, is: Hg > Cd > Ni > Cu > As > Zn > Pb > Cr. Most metals exhibit low pollution levels (EF< 2), except for minor Hg cases (EF> 5). Cr and Ni show negligible anthropogenic influence (all EF< 2), while Cd and Hg have relatively higher EF values, indicating potential external inputs. (3) Atmospheric dustfall contribute to the accumulation of soil heavy metals, with annual growth rates calculated as follows: Cd (0.55%), Hg (0.20%), Zn (0.16%), and Pb (0.09%). Cd and Hg, with the highest growth rates, were more significantly affected by dust deposition. (4) Soil Organic Matter (SOM) is strongly correlated with Cd and Hg (P<0.01), showing similar vertical distribution patterns (surface accumulation). Cation Exchange Capacity (CEC) is significantly correlated with Cu, Pb, Zn, Cr, Ni, and As (P<0.01), with stable vertical variations. These results indicate that Cd and Hg are primarily controlled by SOM and superimposed by dustfall inputs, while Cu, Pb, Zn, Cr, Ni, and As are mainly derived from parent rock weathering. This study provides a systematic multi-media (rock-soil-dustfall) analysis of heavy metal behavior in carbonate rock regions, emphasizing the combined effects of natural parent materials and anthropogenic dustfall. By integrating enrichment factor analysis, PCA, dustfall increment simulation, and correlation analysis, we identified the sources and controlling factors of soil heavy metals. These findings provide scientific support for strategies of evidence-based soil pollution control in similar carbonate rock regions, particularly prioritizing the management of Cd and Hg based on their higher accumulation rates and anthropogenic contributions.
Establishment of comprehensive remote sensing interpretation markers for geological hazards in Xuanwei City and evaluation of their application effectiveness
YANG Yingdong, YANG Zhongbao, WEI Lei, ZHAO Peng, LUO Zeyang
2025, 44(4): 815-827. doi: 10.11932/karst20250411
Abstract:
The study area is Xuanwei City, Qujing City, Yunnan Province, located in the southern section of the Wumeng Mountains on the central Yunnan-Guizhou Plateau. The overall landforms consist of deep-cut mid-mountain and low-mid-mountain terrain. The predominant tectonic line direction is NE–SW. The most widely exposed strata are the Permian Xuanwei Formation (P2xn) and the Emeishan Formation (P2β). The rock mass of the basement is soft and hard, with the rocks exhibiting weak weathering resistance and poor mechanical properties. Mining and quarrying represent the largest-scale human engineering activities in Xuanwei City, where coal mines are the most widely distributed, and goaf areas continue to expand. The main types of geological hazards include landslides, ground collapses, debris flows, and subsidence. These hazards are mainly small to medium in scale, with most currently stable or basically stable. To identify as many potential geological hazard points as possible and provide guidance for ground investigations, this study integrates conventional InSAR deformation data and optical images. By fully considering the development conditions and disaster-bearing elements of geological hazards, and establishing indicators related to susceptible environments and human activities, a set of comprehensive interpretation markers have been developed. This approach addresses the limitations of single-parameter interpretation methods, improves interpretation accuracy, and is applied effectively within the study area.A total of 88 geological disaster points were identified and interpreted. To evaluate the effectiveness of these interpretation markers, an entropy weight-fuzzy evaluation method was developed to evaluate their quality. The comprehensive recognition rate was 65%, with 17% classified as basically correct and 18% as incorrect. Field verification confirmed that 61 points were correct, seven were basically correct, and 20 were incorrect. This corresponds to a recognition accuracy of 69%, the basic accuracy was 8%, and an incorrect rate of 23%. The actual verification results align with the quality evaluation results obtained with the use of entropy weight-fuzzy comprehensive method. Among the points, 35 were identified as existing geological hazards, and 33 were newly discovered geological hazards. Nineteen new points pose a threat to residents and are distributed across 13 townships, such as Baoshan, Dongshan, Longchang, and Tianba. A detailed list has been submitted to the Xuanwei Natural Resources Bureau to facilitate the implementation of appropriate prevention and control measures in the next phase.The susceptible environment forms the basis for the occurrence of geological disasters, serving as a target area and aggregation for identifying potential hazards. Markers for landslide-prone environments primarily consider slope structures dominated by consequent and oblique slopes. Collapses mainly occur on slopes above 45°, particularly those with reverse, transverse, or oblique slope structures, as well as slopes exhibiting joint development. For the beds of debris flow gullies, a slope gradient exceeding the threshold of 30‰ and a catchment area larger than 0.18 km2 are used as thresholds for interpreting markers of the water sources, while a total deposit volume greater than 5,000 m3 in the source area serves as the threshold for solid source markers. Karst collapses mainly involve carbonate strata, whereas goaf collapses are associated with coal-bearing strata and their direct overlying layers. A threshold of -20 mm·a-1 is applied to InSAR deformation to detect goaf collapses, supplemented by the boundary of mining rights and identification of the markers of mining activities. Markers of human activities are obtained from land survey data and optical remote sensing images. For roads and railways, attention is given to whether muck yard stockpiles are located in ditches, the presence of buildings and structures downstream and nearby, and the potential formation of chain disasters. The results show that the comprehensive interpretation markers established in Xuanwei City exhibit good quality and effectively identify potential geological hazards.
Control of territorial space in mountainous urban areas based on risk assessment of geological disasters: A case study of the "9·02" debris flow disaster in Malipo county
ZHANG Weifeng, TONG Bin, DING Zhongkai, ZHOU Cuiqiong, YANG Yingdong, TAN Weijia, YANG Wenli
2025, 44(4): 828-844. doi: 10.11932/karst20250412
Abstract:
Mountainous areas in West China are most severely threatened by geological disasters. With the rapid development of mountainous cities and towns, there is an increased demand for more accurate risk assessments of geological disasters. Especially in recent years, extreme weather events have occurred frequently, accompanied by a sharp rise in local rainfall intensity. Consequently, the risk, damage degree, and losses associated with geological disasters in mountainous cities and towns have escalated. These intense rainfall events and major geological disasters have become more pronounced, making disaster prevention and mitigation more difficult. This study focuses on the territorial space control of group-occurring rainfall-induced geological disasters as its research objective. Based on the ground investigation of geological disasters, the fuzzy comprehensive evaluation method was used to conduct a quantitative risk assessment. The evolutionary characteristics, distribution patterns, and impact intensity of group-occurring rainfall-induced geological disasters were analyzed. Governance measures were scientifically implemented, and suitable, restricted, and prohibited construction zones were accurately proposed according to territorial space zoning of mountainous cities and towns. Macro-control measures,such as source control, active avoidance, proactive prevention and control, as well as localized and intensity-based control of geological disasters,will be refined and implemented. Emphasis will be placed on integrating urban disaster prevention, mitigation resilience, emergency planning, and strategic layout to effectively enhance the capacity of mountainous cities and towns to respond to disasters. Taking the “9·02” debris flow disaster in Malipo county of Yunnan Province as an example, this study examines the disaster triggering mechanisms, risk assessment, and territorial space control of debris flow disasters. Between 3 a.m. and 4 a.m. on September 2, 2018, a catastrophic mountain torrent and debris flow disaster occurred in Mengdong town, Malipo county. The urban area where the township government is located was severely affected. This debris flow is characterized as a low-frequency, viscous debris flow gully. The primary sources of debris flow materials were from group-occurring rainfall-induced landslides, gully bank collapses, and gully bed materials from the middle and upper reaches. The volume of debris flow deposits in the urban area was 100×104 m3. The formation conditions of debris flow disasters are closely related to topography, provenance, and hydrodynamic effect. According to the investigation, the total volume of solid movable materials for the “9·02” debris flow is 384.4×104 m3, including 180.4×104 m3 from the Mengdonghe River, 165.2×104 m3 from Shuichongxiang Gully, and 38.8×104 m3 from Xiangcaopeng Gully. The provenance type is mainly landslide, accounting for about 98% of the total. There are 614 landslides induced by rainfall, with the landslide masses primarily being small in size. Landslide materials and trees provide abundant loose material sources that contribute to the formation of debris flow disasters. Tall trees on the landslide obstruct the drainage and diversion of the gully, which increases gully erosion and exacerbates the consequences of debris flow disasters. The debris flow discharge is calculated and compared by the morphological investigation method and rain flood method, respectively. The calculation result from the morphological investigation method is slightly higher than that from rain-flood method for a 100-year return period, and the calculation result from the morphological investigation method aligns more closely with the actual disaster.Through a refined investigation process, this study provides a foundation for the territorial space control in Mengdong town. It examines the distribution, characteristics, stability, and susceptibility of unstable disaster-prone bodies. The fuzzy comprehensive evaluation method is used to quantitatively assess the risk of debris flow. It is necessary to fully consider the risk level, degree of harm, and recurrence frequency of geological disasters, while allocating sufficient space for debris flood channels and ultra-high sidewall protections in curves to ensure the safety of cities and towns. This approach integrates various measures of geological disaster risk management and control into territorial space planning, aiming to eliminate or mitigate geological disaster risks at their source. Future studies can focus on the coupling relationship between geological environment carrying capacity and urban development, ecological protection, resource security, and related factors. In the management and control of territorial space, it is essential to coordinate economic and social development, urban construction intensity, restoration and utilization for territorial space, emergency response, and other activities to achieve comprehensive management and control and harmonious development between people and land. The impact area of debris flow can be scientifically and quantitatively defined into three zones: the forbidden area, the restricted area within the affected zone, and the safe area after treatment. Key aspects of territorial space management and control in mountainous cities and towns include disaster source management and control, reasonable avoidance, early prevention and control, and ensuring sufficient space. Additionally, the resilience of cities and towns to disasters must be strengthened.
Risk assessment of geological hazards based on GIS and information modeling method
XIE Siqin, LUAN Song, ZHOU Dahai
2025, 44(4): 845-853. doi: 10.11932/karst2025y013
Abstract:
Over the years, geological hazards such as collapses, landslides, hazardous rockfalls, and karst collapses have frequently occurred in Guangxi. These events are widely distributed, have prolonged impacts, affect large populations, and have caused heavy economic losses. Providing fundamental scientific knowledge for disaster prevention and mitigation in the region is of practical importance, as is conducting early prediction and risk assessment of geological hazards. The risk of geological hazards refers to the likelihood of a specific type and scale of hazard occurring within a defined area and time frame, influenced by certain triggering factors. Early prediction and risk assessment of geological hazards remain major challenges in disaster prevention and mitigation. Numerous factors influencing the risk assessment, and various evaluation methods have been employed.This study adopted Xiangzhou county in Guangxi as a case and employed an information modeling method based on an investigation of the main geological conditions controlling potential hazards. Based on the overlay analysis function of ArcGIS on spatial data, eight evaluation indicators were selected according to the characteristics of geological hazard development and potential risks in the study area. These indicators include landform type, geological structure, engineering geological rock group and terrain slope, degree of karst development, slope structure, vegetation coverage, and human engineering activities. The engineering geological rock group and terrain slope were taken as the main controlling factors, while the remaining factors served as secondary factors for overlay zoning. After the natural breakpoint method in statistics was used to reclassify the susceptibility zones, an evaluation grid based on the value of information was generated to assess the susceptibility of geological hazards. The susceptibility of geological hazards in Xiangzhou county is divided into four levels:low, medium, high, and extremely high susceptibility. Areas with extremely high and high susceptibility are mainly located in river terraces, peak forests, and valleys where underground karst development is intense, as well as in rocky mountainous regions, and areas with significant human engineering activities. Areas with medium and low susceptibility are mainly found in hilly and low-mountain terrain. On the basis of susceptibility assessment and the meteorological characteristics of the study area, the maximum 24-hour rainfall data for various return periods were collected from rainfall stations in Xiangzhou county and its surrounding areas. The Kriging method in AcrGIS was used to generate contour maps for rainfall events with return periods in 10, 20, 50, and 100 years. The maps for assessment of geological hazard susceptibility and contour maps for different rainfall conditions were normalized, and spatial overlay analysis was conducted to produce maps for risk assessment of geological hazards corresponding to different rainfall return periods, quantified by the value of information. The risk probabilities was divided into four categories—extremely high risk, high risk, medium risk, and low risk—with the use of the natural breakpoint method, resulting in risk assessments of geological hazards for varying rainfall return periods.The evaluation results indicate that as the return period of rainfall increases, the distribution area in which occur geological hazards with high and extremely high risks also expands. This result reflects that the impact of rainfall on geological hazards is significant. In Xiangzhou county, areas with extremely high geological hazard risk are mainly distributed in the central part near Sicun Town, characterized by river terrace landforms and rock formations with double-layer soil interbedded with sand gravel and clay. Additionally, extremely high-risk zones extend from the eastern Dale town to Baizhang town and to the western Maping town, where peak-forest valley landforms and hard limestone and dolomite rock formations characterized by karst intensely developed from the thick to blocky rocks are prevalent. The high-risk areas are mainly distributed in the hilly and river terrace landforms, including the northeast of Yunjiang Town, the area from Sicun Town to Dale and Baizhang Town, as well as the western part of Maping town. The remaining areas are mainly classified as medium- to low-risk zones, with hills and low mountains as the main geomorphic units. This study scientifically evaluates the geological hazard risks in Xiangzhou county, Guangxi, highlighting the key factors and adapting measures to local conditions. It categorizes different levels of geological hazard risks, and clarifies the zoning of these risks under different rainfall conditions. The findings provide a valuable reference for warning and forecasting geological hazards, improving the technical support system for hazard identification, zoning, and control in the study area. At the same time, the evaluation results can inform national spatial planning by guiding the population and economic activities to concentrate in low-risk areas in an orderly manner.
Relationship between sustainable development capacity of karst landscape areas and natural-human influencing factors
WEI Yuelong, CHEN Weihai, LI Chengzhan, LUO Qukan
2025, 44(4): 854-875. doi: 10.11932/karst20250413
Abstract:
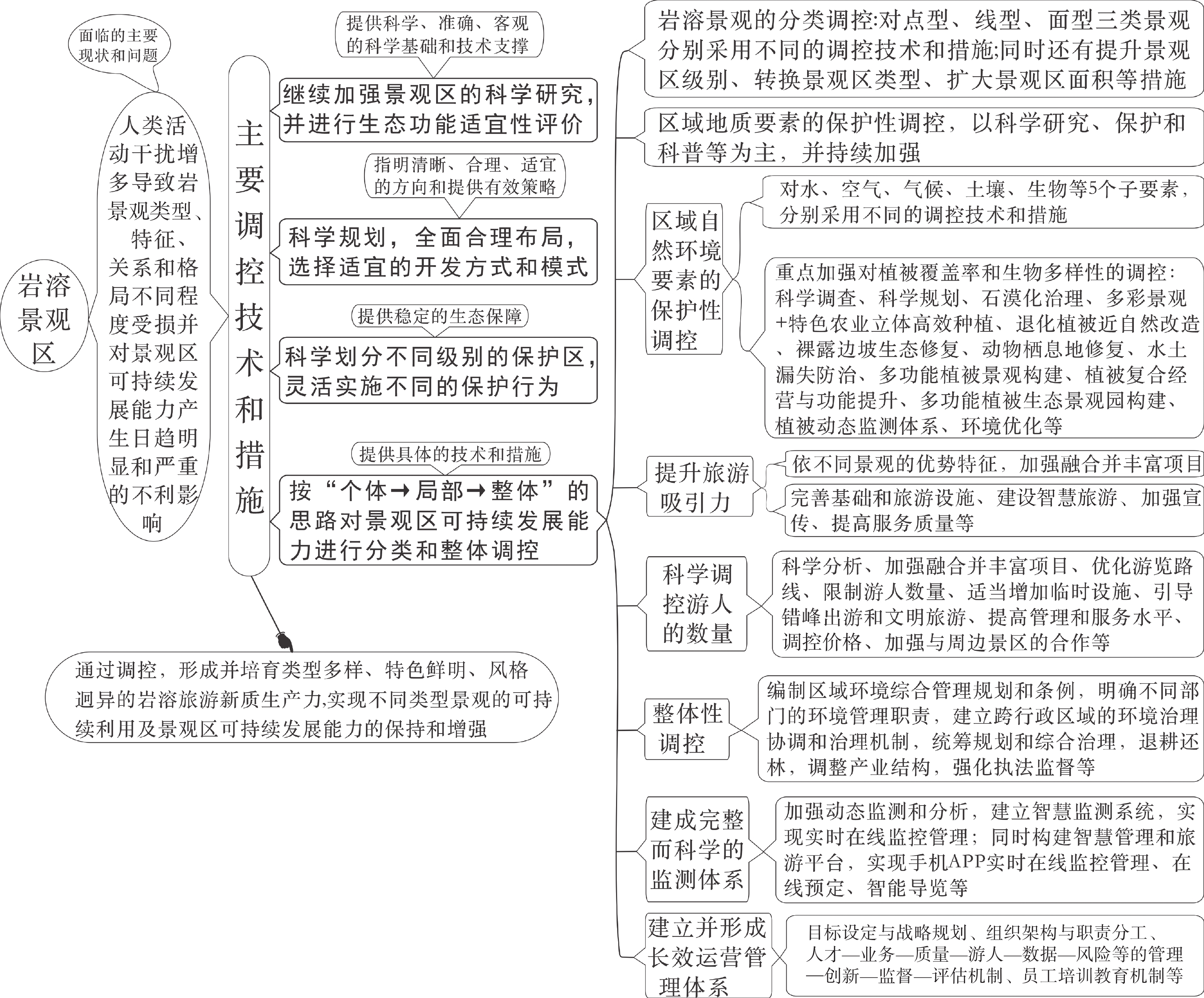
At present, increasing human activities have brought about increasingly significant and severe adverse impacts on the sustainable development capacity of landscape areas in various karst regions around the world. In order to clarify the relationship between the Sustainable Development Capacity of Karst Landscape Areas (SDCKLA) and four influencing factors,including karst landscape, regional geology, regional natural environment, and human factors,this study combines a method of dynamic response with a systematic perspective. Based on an analysis of the composition of the SDCKLA and the main current situations and challenges these areas face, this study initially sorts out the complex dynamic response relationships, processes, and characteristics between SDCKLA and these four major influencing factors, concluding as follows: (1)The SDCKLA includes five major capabilities: development (quantity-target dimension), protection (protection dimension), sustainability (time dimension), resistance to interference (adaptability dimension), and health (quality dimension). These capabilities are measured through different specific indicators or characteristics, which collectively form a complex, dynamic, and variable system for the sustainable development capacity of karst landscape areas-similar yet distinct.(2) Karst landscapes are the resource prerequisite of the SDCKLA and serve as the common focus of other factors. The type and characteristics of karst landscapes-including their development, distribution, combinations, and six key attributes: aggregation, complexity, typicality, systematicness, completeness, and superiority-are fundamental in determining the strength of the SDCKLA. Additionally, the level, type, and area of karst landscapes exert a certain degree of influence on the strength of the SDCKLA.(3) Regional geological factors, comprising two sub-factors-regional strata (including distribution patterns, distribution area, lithology, burial, thickness, occurrence, solubility, degree of fragmentation, conditions of karst water occurrence, and water-bearing formations) and structure (including the type, intensity, and duration of tectonic movements, as well as faults, folds, joints, fractures, terrain, topography, and erosion base level)-provide an overall stable, consistent, yet distinct material foundation and inherent conditions for the SDCKLA. These factors control and influence the strength of the SDCKLA at both the material and structural levels. (4) Regional natural environment factors provide relatively brief but complex and varied external natural environment conditions with timely changes for the SDCKLA.①Water (including its types, hydrodynamic conditions, chemical characteristics, flow parameters, and water quality parameters, etc.) directly participates in the sustainable development process of karst landscape areas through hydrodynamic changes and directly controls and influences the strength of the SDCKLA. ② Air (including CO2 content, exchange volume, pollution level, air quality index, etc.) and climate (including climate type, precipitation, temperature, climate stability, etc.) directly participate in the sustainable development process of landscape areas through the changes in CO2 content and their inherent characteristics, respectively, thereby affecting the strength of the SDCKLA. ③ Soil (including soil type, CO2 content, thickness, aeration property, its utilization and contamination degree, etc.) and organisms (including plants, animals, microorganisms, their respective characteristics, rate of vegetation cover, biodiversity, etc.) indirectly participate in the process of sustainable development of landscape areas by changing soil CO2 content and metabolic behavior, respectively, thus influencing the strength of the SDCKLA. ④ These five sub-factors are mutually integrated, complementary, and interactive. (5) Human factors encompass the specific decision-making and operational elements and serve as the central nerve of the SDCKLA. The SDCKLA is realized, maintained, and enhanced mainly through scientific research (“think tank”), development and utilization (“implementer”), protection (“guardian”), and by changing the characteristics of other factors and their interrelationships (“double-edged sword”), which may have favorable or unfavorable effects, and the ways and degrees of effects are closely and positively correlated with the manner and intensity of human activities. Based on the aforementioned research and by integrating the types, characteristics, relationships, and patterns of karst landscapes, this study discusses regulation techniques and measures to enhance the sustainable development capacity of point, linear, and areal landscapes. This approach follows the concept of “individual → local →whole”, strengthening scientific research, formulating rational and evidenced-based plans, reducing geological disaster risks, implementing ecological restoration, optimizing the environmental, enhancing tourism appeal, scientifically regulating tourist numbers, conducting comprehensive regulation, establishing a monitoring systems, and developing a long-term operation and management system. These efforts aim to cultivate new high-quality productivity in karst tourism characterized by diverse types, distinctive features, and varied styles.
Report on the Middle Pleistocene and Early Holocene vertebrate fauna of Maoshan locality, Lipu, Guangxi
CHEN Xi, SU Yong, CAI Hongmei, LI Yun, HU Haitao, WEI Jun, SHI Jingsong, SHAO Qingfeng
2025, 44(4): 876-886. doi: 10.11932/karst20250415
Abstract:
Karst caves in Guangxi contain a large number of Quaternary vertebrate fossils; however, research on taxonomy and biostratigraphy remains insufficient. Therefore, more detailed reports on fossil assemblages are essential. Between 2014 and 2016, the excavation of two caves (Cave A and Cave B) in Maoshan, Lipu, northern Guangxi, yielded over 200 vertebrate fossils, of which 151 were identified in taxonomy. These animal fossils originated from two distinct sedimentary formations: calcareous nodules and sandy clay. For the fossils in the calcareous nodules, the uranium-series age of four mammal teeth was determined to be 211 to 158.8 ka BP. For the fossils in the sandy clay, the carbon-14 age of a deer tooth was established as 8590±30 BP, with a calibration of 9563 to 9521 cal BP; the uranium series age of five additional animal teeth was determined to be 7 to 4.7 ka BP. When the sedimental characteristics, as well as the carbon-14 and uranium-series dating results, are taken into the consideration, the Maoshan fossil remains can be classified into two groups: the Middle Pleistocene fauna and the Early Holocene fauna.Morphological analyses have shown that the Middle Pleistocene fauna of Maoshan includes nine taxa: Hystrix brachyura, Panthera tigris, Ailuropoda melanoleuca baconi, Arctonyx collaris, Rhinocerotidae gen. et sp. indet., Sus scrofa, Muntiacus sp., Cervus nippon, and Rusa unicolor. While there are no significant morphological differences between these fossils and their modern-day counterparts, the sizes of Malayan porcupines (Hystrix brachyura), tigers (Panthera tigris), and greater hog badgers (Arctonyx collaris) are significantly larger than those of their Holocene counterparts. This suggests that the forest habitat at that time was more developed than during the Holocene.The Maoshan Early Holocene fauna is comprised of 20 species, including Viperidae gen. et sp. indet., Cuora sp., Rhizomys sp., Hystrix brachyura, Macaca sp., Hylobatidae gen. et sp. indet., Panthera tigris, Paguma larvata, Cuon alpinus, Nyctereutes procyonoides, Ailuropoda melanoleuca, Arctonyx collaris, Arctonyx albogularis, Rhinoceros sondaicus, Sus scrofa, Muntiacus reevesi, Muntiacus gigas, Cervus nippon, Rusa unicolor, and Bubalus sp. The fauna is dominated by cerviae, including a large number of primates and small carnivores, as well as a small population of rhinoceroses and buffaloes. This composition reflects an ecological environment dominated by forests and a significant extent of wetlands. Thus we can speculate that the climate at that time was relatively warm and humid.The Maoshan Early Holocene fauna consists almost entirely of extant species. Several Holocene faunas containing extinct members of the “Ailuropoda-Stegodon fauna” have been reported throughout southern China; however, their taxonomic identification or stratigraphic age remain uncertain. Available evidence suggests that the modern fauna of southern China originated in the Early Holocene and did not include any extinct species from the “Ailuropoda-Stegodon fauna”.However, the Maoshan Early Holocene fauna contains a significant number of regionally extinct species, including giant pandas (Ailuropoda melanoleuca), greater hog badgers (Arctonyx collaris), Javan rhinos (Rhinoceros sondaicus), giant muntjacs (Muntiacus gigas), and wild buffalo (Bubalus sp.). These species underwent a gradual extinction from Guangxi after the Middle Holocene or were replaced by smaller related species. It reflects the profound ecological transformation caused by human activities, such as agricultural development and population growth.
Study of tooth fossil chronology of Stegodon orientalis in Tianxingyan, Hanzhong Tiankeng Group
CHEN Qingmin, CHENG Xing, HONG Zenglin, DENG Li, ZHANG Yu, LI Xingwen, GUO Qiming, TANG Li, HU Yi, WANG Peng, WANG Yan, WANG Gaohong, CHENG Hai, R.Lawrence Edwards
2025, 44(4): 887-896. doi: 10.11932/karst2025y045
Abstract:
During the Last Glacial Period, global climate fluctuated frequently, profoundly shaping the evolution and migratory histories of mammals. The abundant geological and biological records preserved within the Hanzhong Tiankeng Group provide invaluable resources for reconstructing past climates and environments. Tianxingyan shaft is situated in Ganhegou Village, Xiaonanhai town, Nanzheng district, Hanzhong city. It is one of the largest and most complete shafts within the Xiaonanhai Tiankeng Group. It is a spectacular 82-m-deep collapse feature, elevated at 932 meters above sea level. Tianxingyan shaft opens through limestones of the Late Permian Wujiaping Formation, which dip gently to southeast and are rhythmically bedded with layers measuring 30–40 cm, with some layers being 5–8 cm. A small rock-shelter excavated 26 m below the rim on the eastern wall yielded a fragmentary left second lower molar of Stegodon orientalis as described by Li et al. (2021). The specimen preserves only five lophids along a crown length of 80 mm, a width of 85 mm, and a height of 40 mm, resulting in a lophid frequency of 3.7. The enamel is thin (≈3 mm), strongly folded, and the valleys are densely packed with cement—morphometric features that align unambiguously with S. orientalis specimens from Panxian Dadong, Chongzuo Hejiang, and other classic Late Pleistocene cave sites in South China.To determine the absolute age of this northernmost record, we applied two independent techniques to the same individual. U-series dating was conducted on both enamel and a thin micritic carbonate rind adhering to the fossil surface. Enamel chips (TXYF-01-A, -B) were micro-drilled, spiked with a 229Th-233U-236U tracer, and analyzed on a Neptune Plus MC-ICP-MS at Xi’an Jiaotong University, following the protocols of Cheng et al. (2013). The high U contents (50–60 ppm) and elevated 230Th/232Thinitial ratios (≈8×10−6) yielded two precise apparent ages of 24.0 ± 0.4 kyr and 14.2 ± 0.1 kyr (2σ), but diagenetic uptake of U renders these minima. A third analysis of the surface carbonate (TXYF3-2) produced 32.3±1.6 kyr (uncorrected) and 22.1±14.5 kyr after detrital Th correction; the large uncertainty stems from low 230Th/232Th and underscores the difficulty of dating thin vadose precipitates.To circumvent open-system behavior, we turned to enamel AMS 14C. After removing the outer 2 mm, the remaining enamel powder was subjected to 2 % NaClO (48 h) and 1 M acetic acid (24 h) to eliminate organics and secondary carbonates. CO2 was extracted by H3PO4 digestion, graphitised, and measured at the Xi’an AMS Centre on a 3 MV tandem accelerator. The raw 14C activity (5.54 ± 0.09 pMC, δ13C = –17.23 ‰) translates to a calibrated age of 27 501 ± 130 cal yr BP (IntCal20, median probability). Because enamel is virtually collagen-free, this result is considered robust against contamination from exogenous carbon. Bayesian integration of the three chronometers—allowing for U-uptake bias—estimates the death of the animal to 27.5 +1.2/–0.9 kyr BP, coinciding with the Greenland Interstadial 3 (DO 3) warm event within MIS 3.At the regional scale, this age aligns with a pronounced negative δ18O excursion recorded in the Didonghe stalagmite 25 km to the west and mirrored by contemporaneous speleothem minima in Yangzi, Furong, Hulu and Qingtian caves. Palynological spectra from the Hanzhong Basin register a synchronous expansion of temperate-subtropical deciduous broad-leaf forest (Quercus, Ulmus, Betula), indicating mean annual temperatures 2–3 ℃ higher and precipitation 15%–20 % greater than today. Such conditions created a dense C3 forest–wetland mosaic ideal for a specialized browser.Stable-carbon isotope studies of coeval Stegodon orientalis populations across South China yield a narrow δ13C range centered about -16 ‰ (-16.7‰ to -14.7‰), confirming strict C3 folivory. In contrast, the sympatric Asian elephant (Elephas maximus) displays a broader isotopic envelope (-17.9‰ to -11.9 ‰), reflecting flexible mixed feeding that includes C4 grasses. We argue that this dietary specialization made S.orientalis particularly vulnerable when monsoon strength waned after 27 kyr BP. Heinrich Stadial 3 and subsequent stadials caused rapid forest fragmentation and southward displacement of subtropical biomes. By the Last Glacial Maximum (LGM), the combined effects of extreme cold (mean annual temperature below 6 ℃) and aridity exceeded the physiological tolerance of these species, leading to regional extinction north of the Yangtze River. Elephas maximus, with its broader ecological niche and smaller body mass, survived in refugial pockets in Yunnan and Guangxi.The Tianxingyan record thus captures a brief, climate-driven range expansion of Stegodon orientalis into the northern subtropics during a DO warm pulse—a pattern consistent with the final south-to-north dispersal episode proposed for Chinese stegodontids. By integrating precise geochronology with high-resolution palaeoclimate archives, this study demonstrates that millennial-scale variability, rather than long-term orbital forcing, determined the ultimate fate of this emblematic Pleistocene megafauna.