Characteristics and influencing mechanisms of soil nitrous oxide (N2O) emissions from forestlands at different slope positions in karst regions
-
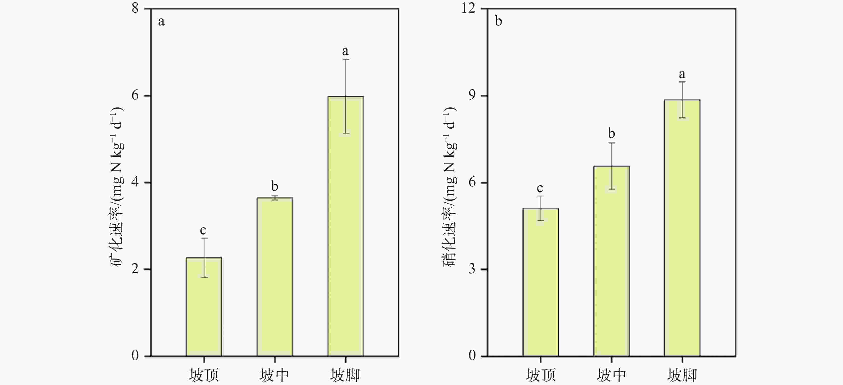
摘要: 岩溶区地形复杂, 土壤氧化亚氮(N2O)排放差异较大,量化其排放有助于全球N2O排放清单的精准编制。目前岩溶区不同地形条件下土壤N2O的空间排放特征及其影响机制尚不清楚。本研究区位于西南典型岩溶区桂林,选择不同地形坡位(坡顶、坡中和坡脚)的自然林地连续监测154 d 土壤N2O排放,并采用15N同位素标记技术测定土壤矿化速率与硝化速率,从土壤氮供应角度揭示N2O排放的影响机制。结果表明,随坡位下降,土壤有机碳、全氮含量和pH显著提高。不同地形坡位下土壤N2O排放具有较大差异,排放通量介于5.21~39.6 μg N·m−2·h−1之间。坡脚土壤N2O累积排量(0.71 kg N·hm−2)最高,其次是坡中(0.53 kg N·hm−2),坡顶N2O最低(0.43 kg N·hm−2)。岩溶区土壤具有较高的矿化和硝化速率,且随着坡位降低,土壤矿化和硝化速率均显著提高。与坡顶(2.27 mg N·kg−1·d−1和5.11 mg N·kg−1·d−1)相比,坡脚土壤矿化和硝化速率分别提高到5.98 mg N·kg−1·d−1和8.85 mg N·kg−1·d−1。相关分析表明,土壤N2O累积排放量与矿化速率和硝化速率、有机碳、全氮、pH呈显著正相关,表明岩溶区不同坡位下, 土壤理化性质通过影响无机氮供应能力(矿化速率和硝化速率)来改变N2O排放。本研究结果强调了在评估岩溶区土壤N2O排放时,应充分重视地形的影响。Abstract:
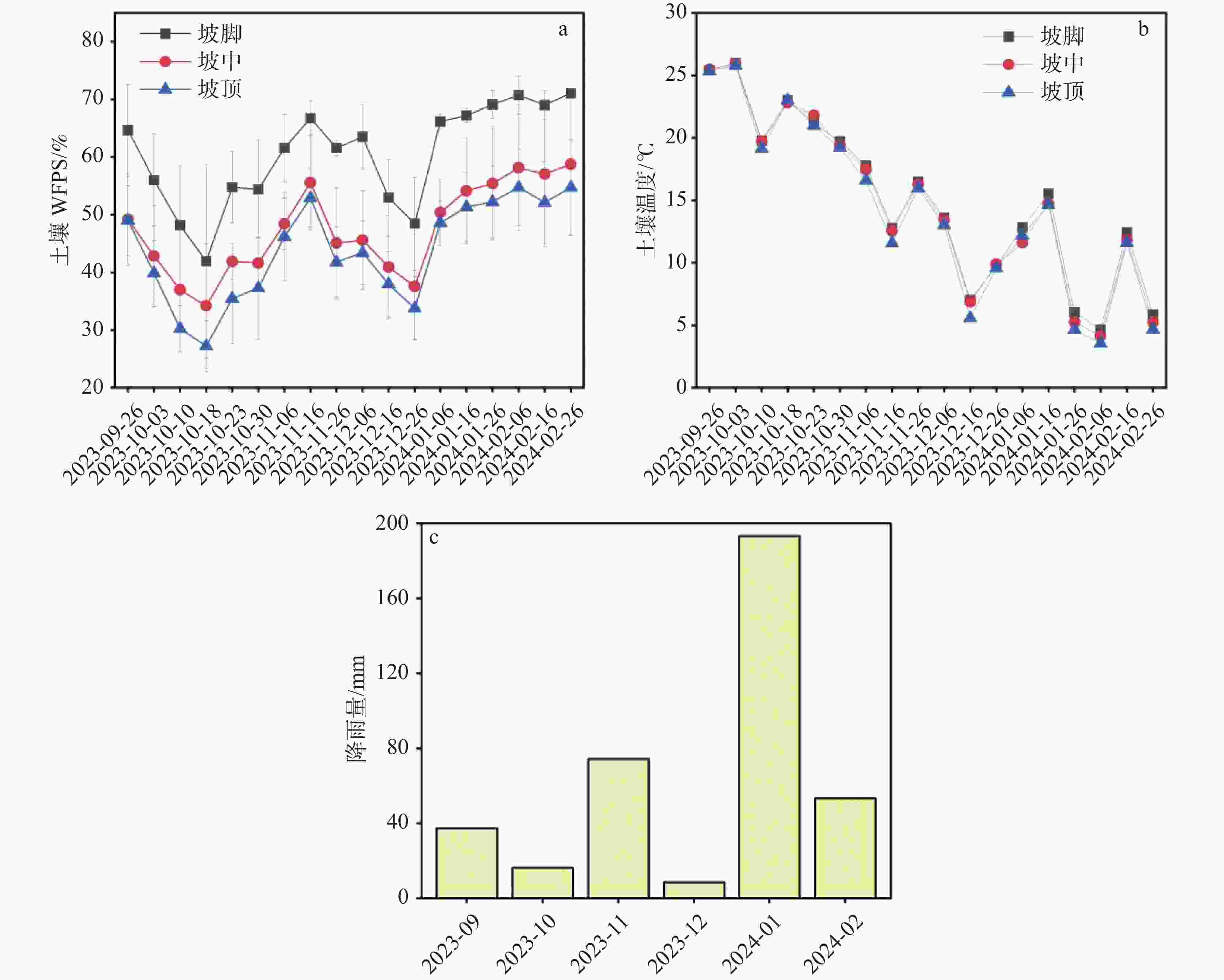
Greenhouse gases reflect long-wave infrared radiation from the Earth’s surface, causing the rise in global temperatures. Nitrous oxide (N2O) is one of the three major greenhouse gases, with a century-long warming potential 296 times greater than that of carbon dioxide (CO2) and an atmospheric lifetime of about 116 years. In addition to its greenhouse effect, N2O also depletes stratospheric ozone, further intensifying the impacts of global climate change. Studies have shown that soil N2O emissions from subtropical and tropical forests account for about 18% of global atmospheric N2O sources. However, these studies have primarily focused on non-karst regions, with relatively few investigations conducted in karst regions.Karst landscapes are widely distributed across the globe, and their soils exhibit high rates of mineralization and nitrification, which theoretically may make them hotspots for global soil N2O emissions. Forestlands are important parts of karst regions, accounting for about one-third of their total area. Therefore, the emission of N2O from forest soils in karst regions may have a substantial impact on global greenhouse gas emissions. Furthermore, karst regions feature complex topography, and differences in soil properties, such as soil mineralization and nitrification processes at different slope positions, may lead to significant spatial variability in N2O emissions. In this study, soil N2O emissions were continuously monitored for 154 days from natural forestlands at different slope positions (upper slope, middle slope, foot slope) in Guilin, a typical karst region in southwest China. Soil N2O emission fluxes were measured with the use of a static chamber method. Soil mineralization (MNorg) and nitrification (ONH4) rates were assessed with the 15N tracing technique. Soil temperature and soil Water-Filled Pore Space (WFPS) were recorded through a soil temperature and moisture logger. Additionally, soil physical and chemical indicators were analyzed. The results of this study show that the soil mineralization and nitrification rates varied significantly among different slope positions in karst regions. The rate of soil mineralization was maximum at the foot slope, reaching 5.98 mg N·kg−1·d−1, which was significantly higher than those at the middle slope (3.65 mg N·kg−1·d−1) and upper slope (2.27 mg N·kg−1·d−1). The rate of soil nitrification at foot slope was 8.85 mg N·kg−1·d−1, which was higher than those at the middle slope (6.57 mg N·kg−1·d−1) and upper slope (5.11 mg N·kg−1·d−1). These changes were primarily closely related to changes in Soil Organic Carbon (SOC) and Total Nitrogen (TN) contents, and soil pH. As slope positions decreased, SOC and TN contents and pH increased significantly, contributing to higher rates of soil mineralization and nitrification. Further analysis of soil N2O emission fluxes from forestlands in karst regions revealed significant differences in soil N2O emission fluxes at different slope positions. The N2O emission fluxes of forest soils in karst regions ranged from 5.21 μg N·m−2·h−1 to 39.6 μg N·m−2·h−1, with an average emission flux of 14.1 μg N·m−2·h−1. The N2O emission fluxes of soils at the foot slopes were higher than those at the upper and middle slopes. The analysis showed a significant increase in soil WFPS and a rising trend in soil temperature as the slope position decreased. The soil N2O emission fluxes were significantly and positively correlated with WFPS and temperature, indicating that soil temperature and moisture have important influences on soil N2O emissions. Additionally, the cumulative N2O emissions from forest soils in karst regions ranged from 0.43 kg N·hm−2 to 0.71 kg N·hm−2. The highest value was observed at the foot slope (0.71 kg N·hm−2), followed by the middle slope (0.53 kg N·hm−2), and lowest at the upper slope (0.43 kg N·hm−2). Correlation analysis showed that cumulative soil N2O emissions were significantly and positively correlated with mineralization and nitrification rates, SOC and TN contents, as well as pH. The PLS-PM analysis also suggested that slope positions regulated the rates of soil mineralization and nitrification by influencing the physicochemical properties of soil pH, TN, and SOC. These changes, in turn, indirectly affected the cumulative emissions of soil N2O. Therefore, when evaluating soil N2O emissions in karst regions, it is important to fully consider topographic factors to more accurately estimate greenhouse gas emissions in these regions. These findings are of great significance for advancing our understanding of the mechanisms underlying soil N2O emissions in karst regions and their potential impact on global climate change. At the same time, they provide a theoretical basis for developing more precise strategies for the management of carbon and nitrogen emissions, which could aid in climate change mitigation. -
Key words:
- karst region /
- N2O emissions /
- 15N labeling /
- mineralization rate /
- nitrification rate /
- terrain
-
表 1 不同坡位条件下土壤基本理化性质
Table 1. Soil physicochemical properties under different slope conditions
指标 坡顶 坡中 坡脚 有机碳/g·kg−1 43.2 ± 4.07b 58.8 ± 0.77a 59.6 ± 2.53a 全氮 /g·kg−1 4.25 ± 0.35b 5.65 ± 0.05a 5.75 ± 0.20a C: N 10.2 ± 0.12a 10.4 ± 0.23a 10.5 ± 0.81a WHC /% 107 ± 5.58b 128 ± 4.63a 114 ± 2.95b pH 6.75 ± 0.09c 7.47 ± 0.13b 7.74 ± 0.10a 无机氮 /mg·kg−1 15.9 ± 2.05b 21.9 ± 0.21a 20.2 ± 0.43a ${\rm{NO}}_3^{-}$: NH$_4^{+}$ 2.94 ± 0.20c 8.13 ± 0.70a 4.79 ± 0.47b NH$_4^{+}$/mg·kg−1 3.66 ± 0.22a 2.39 ± 0.17b 3.51 ± 0.36a ${\rm{NO}}_3^{-}$/mg·kg−1 12.2 ± 2.15c 19.4 ± 0.43a 16.7 ± 0.07b 注:表中同行不同字母表示不同坡位土壤各指标差异显著(P <0.05)。 Note: Different lowercase letters indicate significant differences in various indicators of soils under different slope positions (P < 0.05). -
[1] 高淼, 吴秀芹. 广西壮族自治区碳排放时空规律及达峰预测[J]. 中国岩溶, 2023, 42(4): 763-774.GAO Miao, WU Xiuqin. Spatio-temporal patterns and peak prediction of carbon emissions in Guangxi Zhuang Autonomous Region[J]. Carsologica Sinica, 2023, 42(4): 763-774. [2] Prather M J, Holmes C D, Hsu J. Reactive greenhouse gas scenarios: Systematic exploration of uncertainties and the role of atmospheric chemistry[J]. Geophysical Research Letters, 2012: 39. [3] Joos F, Buchmann B. The 10th International Carbon Dioxide Conference (ICDC10) and the 19th WMO/IAEA Meeting on Carbon Dioxide, Other Greenhouse Gases, and Related Measurement Techniques (GGMT-2017)[J]. Atmospheric Chemistry and Physics, 2018, 18(11): 7841-7842. doi: 10.5194/acp-18-7841-2018 [4] Hermanson L, Smith D, Seabrook M, Bilbao R, Doblas R F, Tourigny E, Lapin V. WMO global annual to decadal climate update: a prediction for 2021-25[J]. Bulletin of the American Meteorological Society, 2022, 103(4): E1117-E1129. doi: 10.1175/BAMS-D-20-0311.1 [5] Mackay A. Climate Change 2007: Impacts, Adaptation and Vulnerability. Contribution of Working Group II to the Fourth Assessment Report of the Intergovernmental Panel on Climate Change[J]. Journal of Environmental Quality, 2008, 37(6): 2407-2407. doi: 10.2134/jeq2008.0015br [6] Hirsch A I, Michalak A M, Bruhwiler L M, Peters W,Dlugokencky E J, Tans P P. Inverse modeling estimates of the global nitrous oxide surface flux from 1998-2001[J]. Global Biogeochemical Cycles, 2006: 20 (1). [7] Melillo J M, Steudler P A, Feigl B J, Neill C, Garcia D, Piccolo M C, Cerri C C, Tian H. Nitrous oxide emissions from forests and pastures of various ages in the Brazilian Amazon[J]. Journal of Geophysical Research Atmospheres, 2001, 106(D24): 34179-34188. doi: 10.1029/2000JD000036 [8] Xie D, Si G Y, Zhang T, Mulder J, Duan L. Nitrogen deposition increases N2O emission from an N-saturated subtropical forest in southwest China[J]. Environmental Pollution, 2018, 243: 1818-1824. doi: 10.1016/j.envpol.2018.09.113 [9] Yu L F, Wang Y H, Zhang X S, Dorsch P, Mulder J. Phosphorus addition mitigates N2O and CH4 emissions in N-saturated subtropical forest, SW China[J]. Biogeosciences, 2017, 14(12): 3097-3109. doi: 10.5194/bg-14-3097-2017 [10] 洪思思, 巩合德, 朱秀雯, 宋清海, 张一平, 周文君, 张孝良, 沙丽清. 西双版纳热带雨林土壤N2O和CO2排放对氮添加的响应[J]. 西部林业科学, 2023, 52(3): 118-127.HONG Sisi, GONG Hede, ZHU Xiuwen, SONG Qinghai, ZHANG Yiping, ZHOU Wenjun, ZHANG Xiaoliang, SHA Liqing. Response of soil N2O and CO2 emissions to nitrogen addition in Xishuangbanna tropical rain forest[J]. Journal of West China Forestry Science, 2023, 52(3): 118-127. [11] Zhang J W, Liesch T, Chen Z, Goldscheider N. Global analysis of land-use changes in karst areas and the implications for water resources[J]. Hydrogeology Journal, 2023, 31(5): 1197-1208. doi: 10.1007/s10040-023-02650-5 [12] 岳祥飞, 李衍青, 刘鹏. 广西岩溶区灌木林地凋落物: 土壤碳、氮、磷化学计量特征[J]. 中国岩溶, 2023, 42(5): 1106-1116.YUE Xiangfei, LI Yanqing, LIU Peng. Litter of shrub land in karst area of Guangxi:Stoichiometric characteristics of soil carbon, nitrogen and phosphorus[J]. Carsologica Sinica, 2023, 42(5): 1106-1116. [13] 谢银财, 杨慧, 李军, 缪雄谊, 杨霖, 吴树诚. 岩溶区石灰土演化过程中钙影响土壤氮矿化的机制研究[J]. 中国岩溶, 2024, 43(5): 1057-1064.XIE Yincai, YANG Hui, LI Jun, MIAO Xiongyi, YANG Lin, WU Shucheng. Research on the mechanism of calcium affecting soil nitrogen mineralization during the vvolution of limestone soil in karst areas[J]. Carsologica Sinica, 2024, 43(5): 1057-1064. [14] 杨会, 朱同彬, 吴夏, 吴华英, 唐伟, 蓝高勇, Christoph Müller. 岩溶区砂糖桔短期种植对土壤氮转化过程的影响[J]. 中国岩溶, 2023, 42(1): 52-60.YANG Hui, ZHU Tongbin, WU Xia, WU Huaying, TANG Wei, LAN Gaoyong, Christoph Müller. Effect of sugar orange short-term planting on soil nitrogen conversion process in karst area[J]. Carsologica Sinica, 2023, 42(1): 52-60. [15] YANG S T, YANG L, WEN D N, LIU L J, NI K, CAO J H, ZHU T B, Müller C. Soil calcium constrains nitrogen mineralization and nitrification rates in subtropical karst regions[J]. Soil Biology and Biochemistry, 2023, 186: 109176. doi: 10.1016/j.soilbio.2023.109176 [16] Müller A K, Matson A L, Corre M D, Veldkamp E. Soil N2O fluxes along an elevation gradient of tropical montane forests under experimental nitrogen and phosphorus addition[J]. Frontiers in Earth Science, 2015: 3:66. [17] WANG K L, ZHANG C H, CHEN H S, YUE Y M, ZHANG W, ZHANG M Y, QI X K, FU Z Y. Karst landscapes of China: patterns, ecosystem processes and services[J]. Landscape Ecology, 2019, 34(12): 2743-2763. doi: 10.1007/s10980-019-00912-w [18] HE Y H Z, WANG L, NIU Z, Nath B. Vegetation recovery and recent degradation in different karst landforms of southwest China over the past two decades using GEE satellite archives[J]. Ecological Informatics, 2022, 68: 101555. doi: 10.1016/j.ecoinf.2022.101555 [19] Canton Y, Rodríguez-Caballero E, Contreras S, Villagarcia L, LI X Y, Solé-Benet A, Domingo F. Vertical and lateral soil moisture patterns on a Mediterranean karst hillslope[J]. Journal of Hydrology and Hydromechanics, 2016, 64(3): 209-217. doi: 10.1515/johh-2016-0030 [20] LIU H S, ZHENG X Z, LI Y F, YU J H, DING H, Sveen, T R, ZHANG Y S. Soil moisture determines nitrous oxide emission and uptake[J]. Science of the Total Environment, 2022, 822: 153566. doi: 10.1016/j.scitotenv.2022.153566 [21] Osaka K, Ohte N, Koba K, Katsuyama M, Nakajima T. Hydrologic controls on nitrous oxide production and consumption in a forested headwater catchment in central Japan[J]. Journal of Geophysical Research, 2006. [22] Lark R M, Milne A E, Addiscott T M, Goulding K W T, Webster C P, Flaherty S O. Scale and location-dependent correlation of nitrous oxide emissions with soil properties: analysis using wavelets[J]. European Journal of Soil Science, 2004, 55: 611-627. doi: 10.1111/j.1365-2389.2004.00620.x [23] YU L F, ZHU J, ZHANG X S, WANG Z W, Dorsch P, Mulder J. Humid Subtropical Forests Constitute a Net Methane Source: A Catchment-Scale Study[J]. Journal of Geophysical Research-Biogeosciences, 2019, 124(9): 2927-2942. doi: 10.1029/2019JG005210 [24] Priha O, Smolander A. Nitrogen transformations in soil under Pinus sylvestris, Picea abies and Betula pendula at two forest sites[J]. Soil Biology and Biochemistry, 1999, 31: 965-977. doi: 10.1016/S0038-0717(99)00006-1 [25] Kirkham D, Bartholomew W V. Equations for following nutrient transformations in soil utilizing tracer data[J]. Soil Sci. Soc. Am. Proc, 1954, 18: 33-34. doi: 10.2136/sssaj1954.03615995001800010009x [26] Corre M D, Brumme R, Veldkamp E, Beese F O. Changes in nitrogen cycling and retention processes in soils under spruce forests along a nitrogen enrichment gradient in Germany[J]. Global Change Biol, 2007, 13: 1509-1527. doi: 10.1111/j.1365-2486.2007.01371.x [27] DUAN Pengpeng. Mechanisms underlying the responses of soil N2O production by ammonia oxidizers to nitrogen addition are mediated by topography in a subtropical forest[J]. Geoderma, 2022: 425. [28] TANG X L, LIU S G, ZHOU G Y, ZHANG D Q, ZHOU C Y, Dörsch P. Soil-atmospheric exchange of CO2, CH4, and N2O in three subtropical forest ecosystems in southern China[J]. Global Change Biology (2006): 546-60. [29] ZHU J, Mulder J, WU L P, MENG X X, WANG Y H. Spatial and temporal variability of N2O emissions in a subtropical forest catchment in China[J]. Biogeosciences, 2013, 10(3): 1309-1321. doi: 10.5194/bg-10-1309-2013 [30] 曹建华, 袁道先, 章程, 蒋忠诚. 受地质条件制约的中国西南岩溶生态系统[J]. 地球与环境, 2004(1): 1-8.CAO Jianhua, YUAN Daoxian, ZHANG Cheng, JIANG Zhongcheng. Karst ecosystem constrained by geological conditions in southwest China[J]. Earth and Environment, 2004(1): 1-8. [31] GUO Y F, Naeem A, Becker-Fazekas S, Pitann, B, Mühling K H. Efficacy of four nitrification inhibitors for the mitigation of nitrous oxide emissions under different soil temperature and moisture[J]. Journal of Plant Nutrition and Soil Science, 2022, 185(1): 60-68. doi: 10.1002/jpln.202000367 [32] FANG Y T, Gundersen P, ZHANG W, ZHOU G Y, Christiansen J R, MO J M, DONG S F, ZHANG T. Soil-atmosphere exchange of N2O, CO2 and CH4 along a slope of an evergreen broad-leaved forest in southern China[J]. Plant and Soil, 2009, 319(1-2): 37-48. doi: 10.1007/s11104-008-9847-2 [33] YU L F, ZHU J, JI H L, BAI X L, LIN Y X, ZHANG Y P, SHA L Q, LIU Y T, SONG Q H, Dörsch P, Mulder J, ZHOU W J. Topography-related controls on N2O emission and CH4 uptake in a tropical rainforest catchment[J]. Science of the Total Environment, 2021: 775,145616. [34] 文冬妮, 杨程, 杨霖, 秦兴华, 孟磊, 何秋香, 朱同彬, Christoph Müller. 岩溶区农业种植对土壤有机氮矿化的影响[J]. 中国岩溶, 2020, 39(2): 189-195.WEN Dongni, YANG Cheng, YANG Lin, QIN Xinghua, MENG Lei, HE Qiuxiang, ZHU Tongbin, Christoph Müller. The influence of agricultural planting in karst areas on soil organic nitrogen mineralization[J]. Carsologica Sinica, 2020, 39(2): 189-195. [35] WANG J, ZHANG J, Mueller C, CAI Z C. Temperature sensitivity of gross N transformation rates in an alpine meadow on the Qinghai-Tibetan Plateau[J]. Journal of Soils and Sediments, 2017, 17(2): 423-431. doi: 10.1007/s11368-016-1530-2 [36] FU M. Effect of pH and organic acids on nitrogen transformations and metal dissolution in soils[D]. Ames: Iowa State University, 1989. [37] Elrys A S, WANG J, Metwally M A S, CHENG Y, ZHANG J B, CAI Z C, CHANG X S, Müller, C. Global gross nitrification rates are dominantly driven by soil carbon-to-nitrogen stoichiometry and total nitrogen[J]. Global Change Biology, 2021, 27(24): 6512-6524. doi: 10.1111/gcb.15883 -
下载: