Spatiotemporal variation characteristics and water flow path of soil moisture of the critical zones fissures in karst area
-
摘要: 喀斯特关键带裂隙土壤水分动态及其控制因素是研究该区域生态水文过程的基础。文章针对喀斯特土—岩填充空间结构特征,在普定喀斯特生态系统观测研究站建立了土壤—岩石裂隙水分观测系统,通过高时空分辨率的裂隙土壤水分观测,研究了喀斯特关键带中不同类型裂隙土壤水分的时空变化规律,结合降雨特征,揭示了其受降雨入渗过程的控制机理。结果表明:细小裂隙中土壤水分动态变化显著高于大裂隙中远离土—岩界面的土壤,其含水率高,具有较好的持水性,可为植被生长提供备用水源;降雨特征对降雨场次的裂隙土壤水分变化具有重要影响,单峰型降雨场次中各类型裂隙土壤含水率显著高于连续型降雨场次;受土—岩界面快速流通道影响,大裂隙的中、下层土壤含水率,以及中层细小裂隙土壤含水率对降雨的响应迅速;发育的岩石裂隙网络增加了裂隙与地表的连通性,加快了降雨入渗对裂隙的补给;降雨强度对水流路径具有调节作用,随雨强增加,土—岩界面的水文连通性升高,其在降雨入渗过程中的水分传输作用逐渐增强。Abstract:
The dynamics of soil moisture in the critical karst zone fissures and their controlling factors form the foundation for studying ecological hydrological processes in this region. Analyzing the spatiotemporal dynamics of soil moisture within soil-rock fill structures and elucidating the controlling effects of changes in water flow pathways will provide scientific basis for research on ecological hydrological processes in karst regions and the efficient utilization of water resources. The study area is located at the Puding Karst Ecosystem Research Station in Guizhou Province, southwest China, situated on the watershed between the Yangtze River and Pearl River systems of the Guizhou Plateau. It is the core region of the southern Chinese karst landscape, which is one of the three major contiguous karst landform regions globally. In the study, representative critical karst zone soil-rock filling structure profiles were selected within the station, and a soil-rock fissure moisture observation system was established. Using moisture monitoring probes installed at different depths, high-resolution spatiotemporal observations of fissure soil moisture were conducted. By observing Soil Water Content (SWC) at different depth levels, soil-rock interface water content (S-R), and fine rock soil water content (RWC), the study investigated the spatiotemporal variation patterns of soil moisture in different types of fissures within the critical karst zone. By combining rainfall characteristics with the response patterns of fissure soil water content, the study revealed the control mechanisms of rainfall infiltration processes on fissure soil moisture. The results indicate that the dynamic changes in soil moisture in fine fissures are significantly higher than those in large fissures far from the soil-rock interface, with higher moisture content and better water-holding capacity, providing a reserve water source for vegetation growth. Due to the rapid infiltration influenced by the fissure network or soil-rock interface, fissure soils connected to rapid pathways in the critical karst zone can be rapidly replenished with moisture, exhibiting more intense moisture change dynamics. In contrast, soil in fissures controlled by slow infiltration exhibits slow water replenishment and relatively mild moisture dynamics. Additionally, rainfall infiltration pathways vary with dry-wet conditions and fissure development, further complicating the spatiotemporal variability of soil moisture in fissures. Rainfall characteristics significantly influence moisture changes in fissure soils during rainfall events. In single-peak rainfall events, moisture content in all types of fissure soils is significantly higher than in continuous rainfall events. Influenced by rapid flow channels at the soil-rock interface, the soil moisture content in the middle and lower layers of large fissures, as well as the soil moisture content in small fissures in the middle layer, respond rapidly to rainfall. The developed rock fissure network increases the connectivity between fissures and the surface, accelerating rainfall infiltration recharge to fissures. Rainfall intensity regulates water flow pathways. As rainfall intensity increases, the hydrological connectivity of the soil-rock interface rises, and its role in water transport process during rainfall infiltration gradually strengthens. Especially under heavy rainfall conditions, lateral hydrological connectivity within the soil-rock fissure system increases, and lateral water flow processes become a key controlling factor in the moisture dynamics of fissures soils. -
Key words:
- karst critical zone /
- fissure soils /
- soil-rock infill structures /
- water content /
- water flow path
-
表 1 各填充土壤深度对应的土壤质地、容重、土壤水分常数(凋萎系数、饱和含水率和饱和导水率)调查统计结果
Table 1. Statistics of the survey results of soil texture, bulk weight, and soil moisture constants (wilting coefficient, saturated water content, and saturated hydraulic conductivity) corresponding to each filled-soil depth
土壤深度/
cm土壤
质地黏土占比
(<0.002 mm)粉砂占比
(0.002~0.05 mm)沙土占比
(>0.05 mm)容重/
g·cm−3凋萎
系数饱和含
水率饱和导水率/
m·d−15(地表) 粉质黏土壤 37.56 50.29 12.15 0.96 0.12 0.57 0.92 50 粉质黏土 40.25 51.07 8.68 1.05 0.12 0.55 0.56 100 粉质黏土 41.50 51.59 6.91 1.08 0.12 0.54 0.47 150 粉质黏土 43.82 52.36 3.82 1.14 0.13 0.53 0.32 200 粉质黏土壤 35.53 56.75 7.72 1.11 0.12 0.52 0.41 表 2 岩石裂隙深度、裂隙数目(填土裂隙数目)和裂隙开度调查统计
Table 2. Survey satistics of rock fissure depth, number of fissures (number of filled fissures) and fissure opening
钻眼编号 最大钻井深度/cm 裂隙数目 裂隙开度/mm 1 62 4 0.29~6.45 2 82 5 3 75 5 4 110 4 5 147 8 6 180 14 7 268 13 8 320 15 表 3 不同深度的SWC、S-R和RWC的平均值、标准差和变异系数
Table 3. Mean, standard deviation and coefficient of variation of SWC, S-R and RWC at different depths
深度层次 全年 雨季(生长季) 枯季(非生长季) 平均值 标准差 变异系数 平均值 标准差 变异系数 平均值 标准差 变异系数 SWC
0~100 cm0.26 0.045 0.171 0.28 0.039 0.136 0.24 0.039 0.163 SWC
100~200 cm0.14 0.051 0.364 0.17 0.049 0.285 0.11 0.024 0.225 SWC 200 cm
及以深0.24 0.046 0.193 0.26 0.045 0.170 0.21 0.029 0.137 S-R
0~100 cm0.19 0.077 0.410 0.21 0.070 0.325 0.16 0.073 0.459 S-R
100~200 cm0.14 0.054 0.377 0.17 0.053 0.309 0.11 0.034 0.304 RWC
0~100 cm0.20 0.070 0.341 0.24 0.079 0.330 0.17 0.033 0.192 RWC
100~200 cm0.28 0.072 0.254 0.33 0.057 0.171 0.23 0.047 0.203 RWC 200 cm
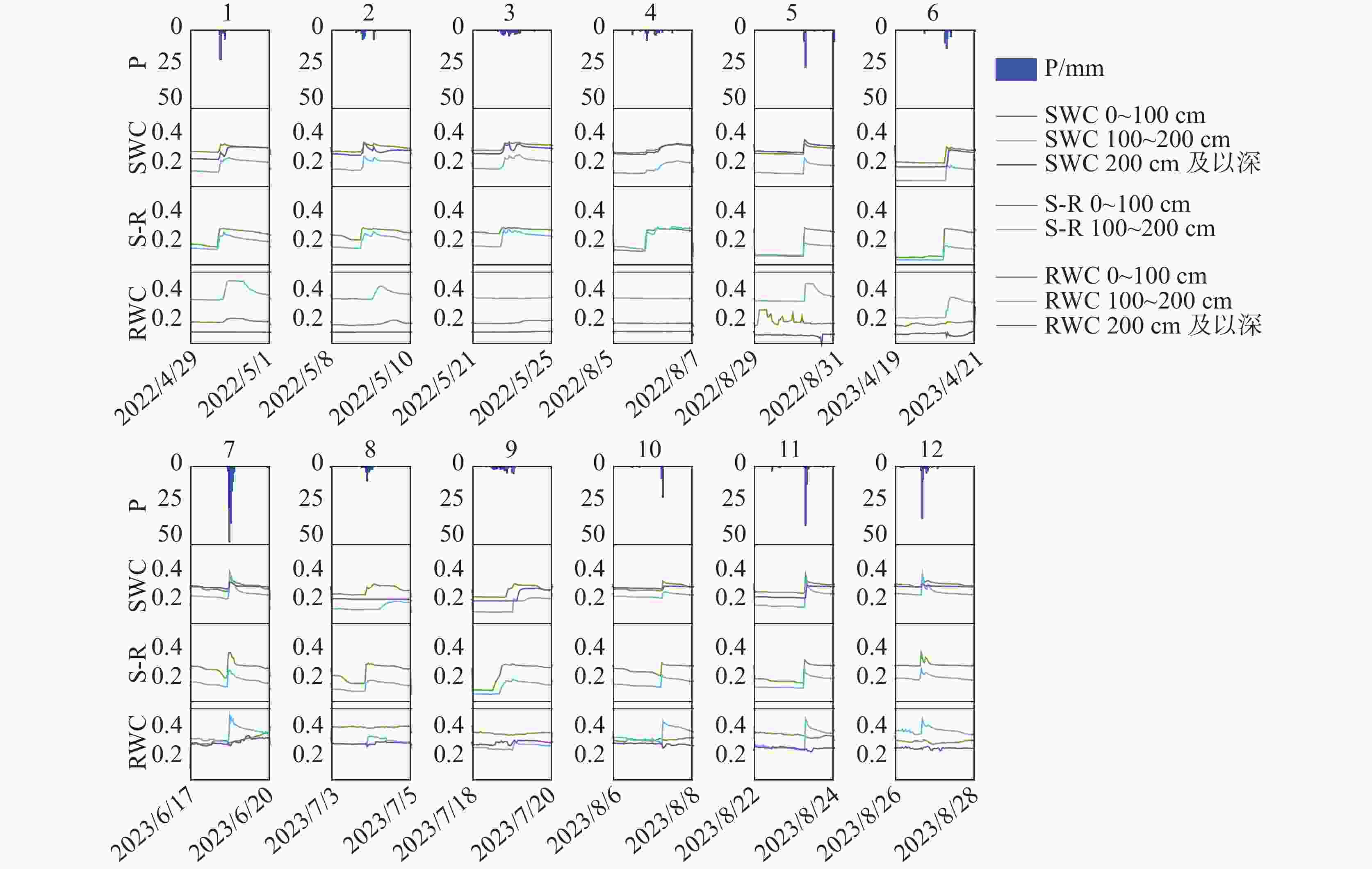
及以深0.14 0.068 0.469 0.18 0.072 0.390 0.10 0.027 0.256 表 4 各降雨场次降雨特征值、裂隙土壤含水率响应时间统计结果
Table 4. Statistics of rainfall eigenvalues and the response time of fissure soil water content for each rainfall event
降雨类型 场次时间 场次
编号最大小时
降雨量/mm降雨历
时/h平均雨强/
mm·h−1累计降雨量/
mm平均响应时间/h SWC S-R RWC 单峰型降雨 2022.4.29-2022.5.1 1 20.8 7 4.80 33.6 1.0 0.5 5.0 2022.8.29-2022.8.31 5 26.2 7 6.31 44.2 1.0 1.0 1.0 2023.4.19-2023.4.21 6 13.0 11 3.34 36.7 2.0 0.5 2.0 2023.6.17-2023.6.20 7 53.0 14 13.89 194.4 1.3 0.5 2.3 2023.7.3-2023.7.5 8 10.0 12 2.09 25.1 5.0 4.0 6.0 2023.8.6-2023.8.8 10 21.4 11 3.33 36.6 2.0 1.0 2.0 2023.8.22-2023.8.24 11 41.4 17 3.71 63.0 2.3 1.0 5.5 2023.8.26-2023.8.28 12 36.5 18 3.43 61.7 2.0 1.0 2.0 连续型降雨 2022.5.8-2022.5.10 2 6.8 18 1.71 30.8 6.0 5.0 17.0 2022.5.21-2022.5.25 3 4.0 30 1.45 43.4 6.0 6.0 18.0 2022.8.5-2022.8.7 4 7.2 20 1.67 33.4 14.7 13.0 2023.7.18-2023.7.20 9 4.8 24 1.62 38.8 20.3 5.0 16.0 -
[1] 王甲荣, 陈喜, 张志才, 张润润, 朱彪, 龚轶芳, 刘皓, 袁瞬飞. 喀斯特溶槽岩—土界面优势流及其对土壤水分动态的影响[J]. 中国岩溶, 2019, 38(1): 109-116. doi: 10.11932/karst20190112WANG Jiarong, CHEN Xi, ZHANG Zhicai, ZHANG Runrun, ZHU Biao, GONG Yifang, LIU Hao, YUAN Shunfei. Preference flow at rock-soil interface and its influence on soil water dynamics in the karst troughs[J]. Carsologica Sinica, 2019, 38(1): 109-116. doi: 10.11932/karst20190112 [2] 周利, 彭韬, 王世杰. 中国西南喀斯特水源涵养特点及其生态功能[J]. 水土保持学报, 2025, 39(3): 1-14.ZHOU Li, PENG Tao, WANG Shijie. Characteristics and ecological functions of water conservation inkarst regions of southwest China[J]. Journalof Soil and Water Conservation, 2025, 39(3): 1-14. [3] 赵光帅, 朱义年, 谢银财, 沈利娜, 吴华英, 李腾芳, 黄奇波. 不同水体在大气环境中对碳酸盐岩溶蚀过程及溶解无机碳δ13C演变规律[J]. 中国岩溶, 2025, 44(1): 124-135,146. doi: 10.11932/karst20250109ZHAO Guangshuai, ZHU Yinian, XIE Yincai, SHEN Lina, WU Huaying, LI Tengfang, HUANG Qibo. Dissolution process of carbonate rocks by different types of water in atmospheric environment and δ13C evolution of dissolved inorganic carbon[J]. Carsologica Sinica, 2025, 44(1): 124-135,146. doi: 10.11932/karst20250109 [4] 陈喜, 张志才. 喀斯特地区地球关键带科学与生态水文学发展综述[J]. 中国岩溶, 2022, 41(3): 356-364. doi: 10.11932/karst20220303CHEN Xi, ZHANG Zhicai. An overview on the development of science and ecological hydrology of the earth critical zones in karst area[J]. Carsologica Sinica, 2022, 41(3): 356-364. doi: 10.11932/karst20220303 [5] LE MESNIL M, MOUSSA R, CHARLIER J B, Caballero Y. Impact of karst areas on runoff generation, lateral flow and interbasin groundwater flow at the storm-event timescale[J]. Hydrology and Earth System Sciences, 2021, 25(3): 1259-1282. doi: 10.5194/hess-25-1259-2021 [6] 杨奇勇, 蒋忠诚, 袁道先, 蒋勇军, 沈丽娜. 广西典型岩溶区土壤水分含量空间自相关分析[J]. 中国岩溶, 2015, 34(3): 260-265. doi: 10.11932/karst20150309YANG Qiyong, JIANG Zhongcheng, YUAN Daoxian, JIANG Yongjun, SHEN Lina. Spatial autocorrelation analysis of soil water content in a karst region of Guangxi[J]. Carsologica Sinica, 2015, 34(3): 260-265. doi: 10.11932/karst20150309 [7] Rong Li, Chen Xi, Chen Xunhong, Wang Shijie, Du Xuelian. Isotopic analysis of water sources of mountainous plant uptake in a karst plateau of southwest China[J]. Hydrological Processes, 2011, 25(23): 3666-3675. doi: 10.1002/hyp.8093 [8] 严友进. 喀斯特石漠化区浅层岩溶裂隙及其土壤主要生态功能研究[D]. 贵阳: 贵州大学, 2019. [9] 李焱秋. 喀斯特地下浅层孔(裂)隙土壤水文特征研究[D]. 贵阳: 贵州大学, 2020. [10] Wei Yang, Xudong Peng, Quanhou Dai, Changlan Li, Shengbing Xu, Tingting Liu. Storage infiltration of rock-soil interface soil on rock surface flow in the rocky desertification area[J]. Geoderma, 2023, 435: 116512. doi: 10.1016/j.geoderma.2023.116512 [11] 李焱秋, 戴全厚, 任青青, 朱列坤, 岑龙沛, 兰雪, 伏文兵. 喀斯特浅层裂隙土壤垂向渗透性及影响因素[J]. 水土保持学报, 2020, 34(3): 150-155.LI Yanqiu, DAI Quanhou, REN Qingqing, ZHU Liekun, CEN Longpei, LAN Xue, FU Wenbing. Vertical permeability of karst shallow fissure and its influencing factors[J]. Journal of Soil and Water Conservation, 2020, 34(3): 150-155. [12] 唐伟, 蓝高勇, 殷建军, 杨会, 吴夏. 桂林西北郊光明山峰丛坡地土壤210Pb与226Ra分布与迁移规律研究[J]. 中国岩溶, 2021, 40(5): 860-867. doi: 10.11932/karst2021y30TANG Wei, LAN Gaoyong, YIN Jianjun, YANG Hui, WU Xia. Distribution and migration of 210Pb and 226Ra in soil in of peak-cluster hillside of Guangming mountain, Guilin[J]. Carsologica Sinica, 2021, 40(5): 860-867. doi: 10.11932/karst2021y30 [13] 徐子凡, 陈喜, 刘维翰, 刘皓, 张志才. 表层岩溶带土岩结构对降雨−径流响应特征的影响[J]. 中国岩溶, 2024, 43(4): 863-875. doi: 10.11932/karst20240406XU Zifan, CHEN Xi, LIU Weihan, LIU Hao, ZHANG Zhicai. Effect of soil-rock structures on the characteristics of rainfall-runoff responses in epikarst zones[J]. Carsologica Sinica, 2024, 43(4): 863-875. doi: 10.11932/karst20240406 [14] Du Yiteng, Li Tingchun, Wang Binxu, Zhang Shilin, Li Hui, Zhang Hao, Zhu Qingwen. Experimental study on mechanical characteristics and permeability evolution during the coupled hydromechanical failure of sandstone containing a filled fissure[J]. Acta Geotech, 2023, 18(8): 4055-4075. doi: 10.1007/s11440-023-01816-5 [15] Zhao Yanrong, Wei Yufeng, Dong Xiaosong, Rong Rong, Wang Jinguo, Wang Haonan. The application and analysis of slug test on determining the permeability parameters of fractured rock mass[J]. Applied Sciences, 2022, 12(15): 7569. doi: 10.3390/app12157569 [16] 安迪, 彭旭东, 戴全厚, 刘婷婷, 曾庥. 石漠化区岩—土与非岩—土界面土壤孔隙变异及入渗对干湿变化的响应[J]. 农业工程学报, 2024, 40(11): 139-149. doi: 10.11975/j.issn.1002-6819.202311025AN Di, PENG Xudong, DAI Quanhou, LIU Tingting, ZENG Xiu. Response of soil pore variation and infiltration to dry-wet changes atrock-soil and non-rock-soil interface in rocky desertification areas[J]. Transactions of the Chinese Society of Agricultural Engineering, 2024, 40(11): 139-149. doi: 10.11975/j.issn.1002-6819.202311025 [17] Zhao Zhimeng, Shen Youxin, Jiang Ruohan, Wang Qinghe. Rock outcrops change infiltrability and water flow behavior in a karst soil[J]. Vadose Zone Journal, 2020, 19(1): 15 [18] Wang Sheng, Yan Yan, Zhao Yinjun, Fu Zhiyong, Chen Hongsong. Co-evolution among soil thickness, epikarst weathering degree, and runoff characteristics on a subtropical karst hillslope[J]. Journal of Hydrology, 2024, 628: 130499. doi: 10.1016/j.jhydrol.2023.130499 [19] Liu Xiuqiang, Liu Weihan, Chen Xi, Wang Lichun, Zhang Zhicai, Peng Tao. Estimating fracture characteristics and hydraulic conductivity from slug tests in epikarst of southwest China[J]. Journal of Hydrology: Regional Studies, 2024, 53: 101777. doi: 10.1016/j.ejrh.2024.101777 [20] Xiuqiang Liu, Xi Chen, Zhicai Zhang, Weihan Liu, Fengjun Gao, Qinbo Cheng, Jia Chen, Tao Peng. The role of rock fractures as a water source for trees growing in karst[J]. Water Resources Research, 2025, 61(11): e2024WR039588. [21] Schwinning S. The ecohydrology of roots in rocks[J]. Ecohydrology, 2010, 3(2): 238-245. [22] Zhang Z, Chen X, Cheng Q, Soulsby C. Storage dynamics, hydrological connectivity and flux ages in a karst catchment: Conceptual modelling using stable isotopes[J]. Hydrology and Earth System Sciences, 2019, 23: 51-71. doi: 10.5194/hess-23-51-2019 [23] 廖春来, 罗明明, 周宏. 鄂西岩溶槽谷区洼地的水位响应特征及产流阈值估算[J]. 中国岩溶, 2020, 39(6): 802-809. doi: 10.11932/karst20200602LIAO Chunlai, LUO Mingming, ZHOU Hong. Water level response characteristics and runoff threshold estimation of karst depressions in a valley region, western Hubei Province[J]. Carsologica Sinica, 2020, 39(6): 802-809. doi: 10.11932/karst20200602 [24] 王娴, 张志才, 陈喜, 谢永玉, 程勤波, 彭韬, 陈波. 南方喀斯特地区径流系数时空变化特征及其驱动因素[J]. 水文, 2024, 44(6): 93-100, 117.WANG Xian, ZHANG Zhicai, CHEN Xi, XIE Yongyu, CHENG Qinbo, PENG Tao, CHEN Bo. Spatiotemporal variation and influential driving factors of runoff coefficient in southern karst area[J]. Journal of China Hydrology, 2024, 44(6): 93-100, 117. [25] Jiménez-Rodríguez C D, Sulis M, Schymanski S. Exploring the role of bedrock representation on plant transpiration response during dry periods at four forested sites in Europe[J]. Biogeosciences, 2022, 19(14): 3395-3423. doi: 10.5194/bg-19-3395-2022 [26] 杨静, 王升, 丁亚丽, 陈洪松. 喀斯特白云岩地区不同土体构型土壤剖面持水导水性能研究[J]. 中国岩溶, 2020, 39(5): 697-704. doi: 10.11932/karst20200507YANG Jing, WANG Sheng, DING Yali, CHEN Hongsong. Moisture-retaining and transmissibility properties of soil profiles with different architectures in dolomite karst areas[J]. Carsologica Sinica, 2020, 39(5): 697-704. doi: 10.11932/karst20200507 [27] 王佳敏, 成应杰, 陈金艺, 刘俊婷, 李金明, 李素慧, 刘锦春. 模拟不同降雨时间格局下喀斯特垂直异质生境对桢楠幼苗光合和生长的影响[J]. 生态学报, 2021, 41(18): 7348-7356.WANG Jiamin, CHENG Yingjie, CHEN Jinyi, LIU Junting, LI Jinming, LI Suhui, LIU Jinchun. Effects of simulated karst vertical heterogeneous habitat on photosynthesis and growth of Phoebe zhennan S. Lee seedlings under different rainfall temporal pattern[J]. Acta Ecologica Sinica, 2021, 41(18): 7348-7356. [28] Ding F J, Yuan C J, Zhou T, Cheng J, Wu P, Ye Y Y. Water-Use Strategies and Habitat Adaptation of Four Tree Species in Karstic Climax Forest in Maolan[J]. Water, 2023, 15(1): 203. doi: 10.3390/w15010203 -
下载: