Study on the dynamics response characterstics of covered soil-cave type karst collapse under train vibration environment
-
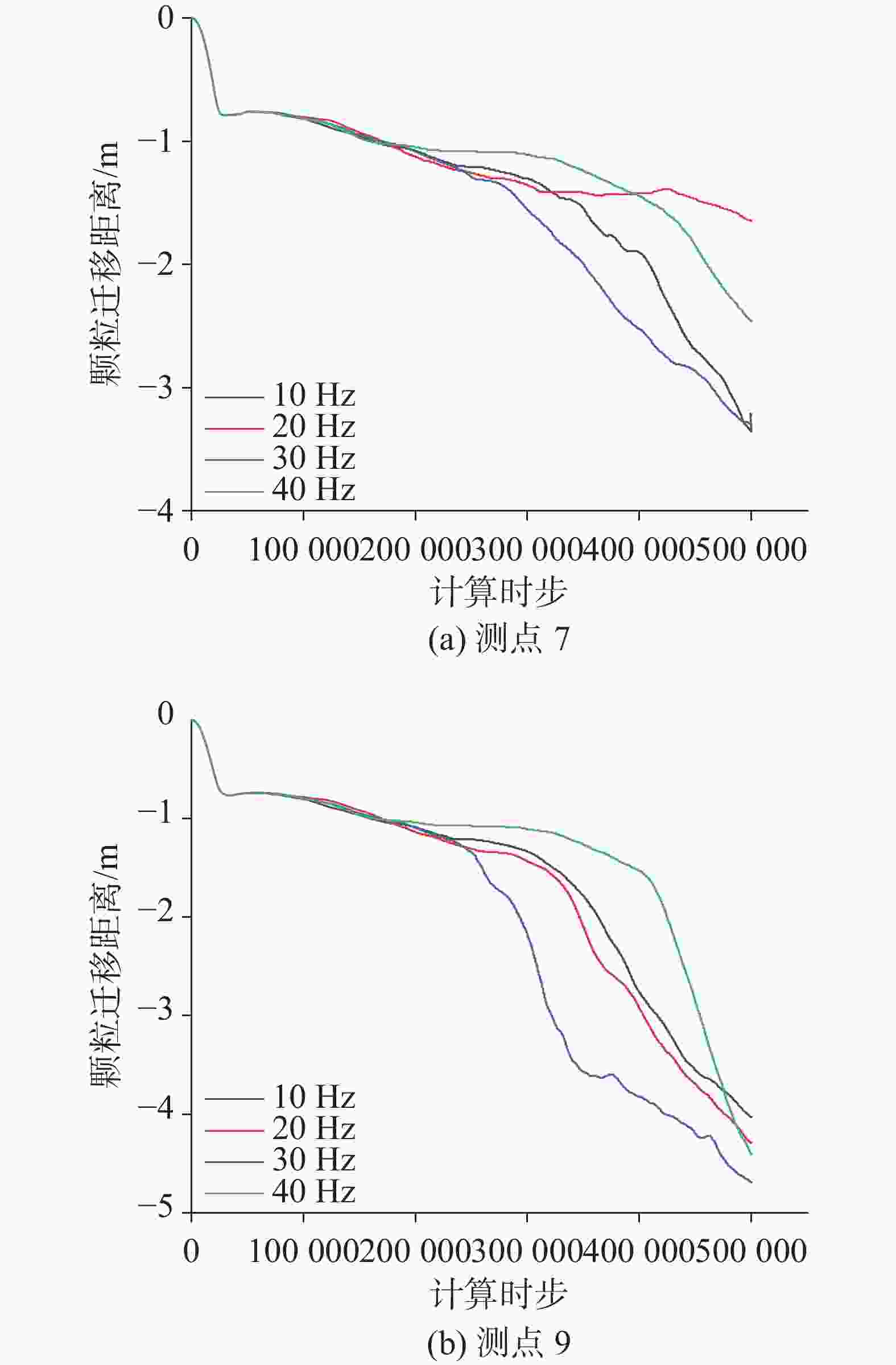
摘要: 为揭示列车振动荷载作用下铁路周边覆盖型岩溶土洞动力响应特性,以京沪高铁(江西段)某潜在岩溶塌陷点为研究对象,通过离散元压缩试验对塌陷土体的强度参数进行标定,引入接触黏结模型,建立列车振动环境场覆盖型下伏岩溶土洞的地面流固耦合模型,从细观角度分析了不同振动荷载频率下塌陷区土体变形特征,研究了列车振动环境场土体的动力响应过程。研究表明:塌陷区土体颗粒的竖向速度、竖向位移、土体孔隙率与振动荷载频率之间的关系不明显,土体应变率随振动频率增加而增大;受列车振动环境场的影响,塌陷区土体颗粒的竖向速度、竖向位移变化量相对更大,动力特征更明显;确定了残坡积层粉质黏土覆盖层区域列车运行引起的振动在土层中的影响范围,当土洞距路基3 m时,列车动荷载影响深度在5.25 m范围内。研究成果对揭示列车环境振动扰动下浅层地表岩溶塌陷的动力学机制有重要意义,可为岩溶区铁路的运营安全和岩溶塌陷的防灾减灾提供科学依据。Abstract:
Karst collapse represents a significant geological hazard, predominantly occurring in regions characterised by the presence of soluble rock formations, including carbonate rocks, calcareous clastic rocks and salt rocks, among others. Karst collapse are characterised by three key features, a hidden spatial distribution, a sudden onset and periodic recurrence over time. These attributes collectively pose a considerable challenge for the construction of major infrastructure projects in karst areas. The karst collapse disaster along the railway has the potential to pose a significant threat to the safe construction and sustained operation of the high-speed railway project. The extraction and discharge of groundwater, along with the alteration of hydrodynamic conditions during both the construction and operational phases of the railway in the karst area, have been identified as key factors contributing to the karst collapse. The most prevalent numerical simulation method is the Finite Element Method (FEM), which is predicated on the assumption of a continuous medium. The FEM involves replacing a complex problem with a simpler one and then solving it. It views the solution domain as consisting of a number of small interconnected sub-domains called finite elements, assumes a suitable (simpler) approximate solution for each element, and then deduces the conditions that are satisfied for solving the domain in general. However, soil is not a continuous medium, and a model based on the FEM is unable to simulate the local instability of a collapsed soil body, the mesoscopic-scale damage process, and other phenomena. In light of the dearth of sufficient attention to the temporal effects and fine-scale mechanisms of the karst collapse process in current studies, this paper aims to elucidate the dynamic evolution laws and mesoscopic-scale collapse mechanisms of the expansion of overlying karst soil cavities around the railway. A typical karst collapse site, namely the Beijing-Shanghai high-speed railway (Jiangxi section), was selected as the basis for calibrating the strength parameters of the collapsed soil body. This was achieved through a particle flow (PFC2D) compression test, which also introduced a contact bonding model. This model assumed that the filler in the cavern is entirely washed away due to the erosive effect of groundwater seepage. Additionally, the vacuum suction and erosion effect inside the cavern were not considered during the simulation period. The effect of groundwater on soil strength is simulated by reducing the contact strength between particles below the modelled water level. In conclusion, a coupled flow-solid model of overlying karst collapse has been established, which elucidates the dynamic evolution process and deformation characteristics of karst collapse from a mesoscopic view. Furthermore, the influence of varying cavern opening sizes, overburden layer thickness and water table height on the deformation characteristics of the overlying karst collapse has been investigated, as well as the migration law of soil particles under the influence of different factors. The study demonstrates that during the evolution of overlying karst collapse, the contact force between particles undergoes a series of changes, which can be described approximately as follows, 'stress equilibrium–stress arch formation–stress arch destruction-stress equilibrium again-…-stress arch fracture '. The internal stress of the soil body demonstrates a pattern of 'compressive stress gradually decreasing, tensile stress gradually increasing, and tensile stress disappearing'. Additionally, the surface subsidence and porosity of the soil body tend to increase in conjunction with the collapse evolution process. It can be observed that the larger the opening of the cavern, the greater the depth and range of ground subsidence, which in turn increases the likelihood of collapse. A reduction in the thickness of the cover layer results in a more pronounced surface subsidence, thereby increasing the likelihood of collapse. Similarly, an elevated water table leads to a more rapid expansion of the soil hole, which in turn causes a more pronounced surface subsidence and an increased propensity for collapse. The relationship between surface settlement and cover layer thickness is not significant when the latter is of greater thickness. The study provides a comprehensive account of the karst collapse evolution process from a mesoscopic perspective, offering insights that can inform disaster prevention and the mitigation of surrounding karst collapse risks during the construction and operation of high-speed railway projects. -
Key words:
- karst collapse /
- geological hazard /
- train vibration /
- numerical simulation /
- dynamics response
-
表 1 地层岩土体物理力学参数
Table 1. Physical and mechanical parameters of stratum
名称 黏聚力/
kPa弹性模量/
GPa内摩擦角/
°干密度/
g·cm−3残坡积层粉质黏土 12 24 1.75 坡洪积层粉质黏土 10 25 1.82 灰岩 52 35 2.52 表 2 平行粘结模型细观参数标定
Table 2. Microscopic parameters of parallel bond model
平行粘结模型
细观参数符号 单位 数值 颗粒密度 density kg·m−3 1800 颗粒最小半径 rdmin m 0.06 最大最小半径比 Kratio 3.0 湿度 damp 0.7 孔隙率 porosity 0.28 有效模量 emod Pa 1e8 刚度比 Kratio 1.25 凝聚力 pb_coh Pa 1e4 抗拉强度 pb_ten Pa 1e5 内摩擦角 pb_fa ° 25 粘结间隙 bond gap m 0.0012 摩擦系数 fric 0.5 -
[1] Bai Haibo, Ma Dan, Chen Zhanqing. Mechanical behavior of groundwater seepage in karst collapse pillars[J]. Engineering Geology, 2013, 3: 103-124. [2] 李海涛, 陈邦松, 杨雪, 胡伏生, 房浩. 岩溶塌陷监测内容及方法概述[J]. 工程地质学报, 2015, 23(1):126-134.LI Haitao, CHEN Bangsong, YANG Xue, HU Fusheng. Review on monitoring contents and methods for karst collapse[J]. Journal of Engineering Geology, 2015, 23(1): 126-134. [3] 张严, 朱武, 赵超英, 韩炳权. 佛山地铁塌陷InSAR时序监测及机理分析[J]. 工程地质学报, 2021, 29(4):1167-1177.ZHANG Yan, ZHU Wu, ZHAO Chaoying, HAN Bingquan. Moniting and inversion of Foshan metro collapse with multi temporal InSAR and field investigation[J]. Journal of Engineering Geology, 2021, 29(4): 1167-1177. [4] 宋章, 王科, 蒋良文, 王茂靖. 岩溶区铁路勘察防治技术研究现状及发展趋势[J]. 高速铁路技术, 2018, 9(5):38-43. doi: 10.12098/j.issn.1674-8247.2018.05.008SONG Zhang, WANG Ke, JIANG Liangwen, WANG Maojing. Research status and developing trends of reconnaissance and control technology of railway in karst area[J]. High Speed Railway Technology, 2018, 9(5): 38-43. doi: 10.12098/j.issn.1674-8247.2018.05.008 [5] 唐万春, 许模, 于贺艳. 武广客运专线英德段岩溶塌陷发育规律研究[J]. 地质与勘探, 2011, 47(4):699-704.TANG Wancun, XU Mo, YU Heyan. Study on karst collapse developing regularity of the Yingde section on the Wuhan-Guangzhou passenger special line[J]. Geology and Exploration, 2011, 47(4): 699-704. [6] 蒙彦, 雷明堂. 岩溶塌陷研究现状及趋势分析[J]. 中国岩溶, 2019, 38(3):411-417. doi: 10.11932/karst20190311MENG Yan, LEI Mingtang. Analysis of situation and trend of sinkhole collapse[J]. Carsologica Sinica, 2019, 38(3): 411-417. doi: 10.11932/karst20190311 [7] 时刚, 王宇虓, 武天仪, 刘忠玉. 交通荷载下城市路面塌陷问题的试验研究[J]. 地下空间与工程学报, 2020, 16(4):1202-1209.SHI Gang, WANG Yuxiao, WU Tianyi, LIU Zhongyu. Model experiments on ground collapse under traffic roads[J]. Chinese Journal of Underground Space and Engineering, 2020, 16(4): 1202-1209. [8] 王涛, 施斌, 马龙祥, 张超, 邓永锋. 粉细砂地层对地铁列车荷载的动力响应及长期变形研究[J]. 工程地质学报, 2020, 28(6):1411-1418.WANG Tao, SHI Bin, MA Longxiang, ZHANG Chao, DENG Yongfeng. Dynamic response and long term cumulative deformation of silty sand stratum induced by metro train vibration loads[J]. Journal of Engineering Geology, 2020, 28(6): 1411-1418. [9] 罗小杰, 罗程. 岩溶地面塌陷三机理理论及其应用[J]. 中国岩溶, 2021, 40(2):171-188. doi: 10.11932/karst2021y001LUO Xiaojie, LUO Cheng. Three-mechanism theory(TMT) of karst ground collapse and its application[J]. Carsologica Sinica, 2021, 40(2): 171-188. doi: 10.11932/karst2021y001 [10] F Gutiérrez,M Parise,J D Waele,H Jourde. A review on natural and human-induced geohazards and impacts in karst[J]. Earth Science Reviews, 2014, 138: 61-88. doi: 10.1016/j.earscirev.2014.08.002 [11] Anchuela Ó P, Miguel G S, Bádenas B, et al. Evaluation of pinnacle reef distribution at shallow subsurface using integrated geophysical methods: A case study from the upper Kimmeridgian (Spain)[J]. Marine and Petroleum Geology, 2016, 76: 329-334. doi: 10.1016/j.marpetgeo.2016.05.027 [12] Kaufmann G, Romanov D. Structure and evolution of collapse sinkholes: combined interpretation from physico-chemical modelling and geophysical field work[J]. Journal of Hydrology, 2016, 9: 688-698. [13] 蒋小珍, 雷明堂, 管振德. 单层土体结构岩溶土洞的形成机理[J]. 中国岩溶, 2012, 31(4):426-432. doi: 10.3969/j.issn.1001-4810.2012.04.012JIANG Xiaozhen, LEI Mingtang, GUAN Zhende. Formation mechanism of karst soil-void in single-layer soil structure condition[J]. Carsologica Sinica, 2012, 31(4): 426-432. doi: 10.3969/j.issn.1001-4810.2012.04.012 [14] 肖先煊. 覆盖型岩溶区水气相互驱动盖层变形演化及塌陷机理研究[D]. 成都: 成都理工大学, 2018.XIAO Xianxuan. Deformation behavior evolution and collapse mechanism of karst covers under water-air interaction in karst area [D]. Chengdu: Chengdu University of Technology, 2018. [15] 罗小杰. 也论覆盖型岩溶地面塌陷机理[J]. 工程地质学报, 2015, 23(5):886-895.LUO Xiaojie. Further discussion on mechanism of covered karst ground collapse[J]. Journal of Engineering Geology, 2015, 23(5): 886-895. [16] 程星, 黄润秋. 铁路振动及其在岩溶塌陷中的致塌力研究[J]. 岩石力学与工程学报, 2003, 12:2062-2066. doi: 10.3321/j.issn:1000-6915.2003.12.021CHENG Xing, HUANG Runqiu. Study on train-induced vibration and its influence on karst collapse[J]. Chinese Journal of Rock Mechanics and Engineering, 2003, 12: 2062-2066. doi: 10.3321/j.issn:1000-6915.2003.12.021 [17] 陈学军, 余思喆, 宋宇, 李佳明, 陈议城, 陈李洁, 赵志永, 杨越. 采矿爆破振动波在岩溶区的传播影响因素分析[J]. 地质力学学报, 2018, 24(5):692-698. doi: 10.12090/j.issn.1006-6616.2018.24.05.070CHEN Xuejun, YU Sizhe, SONG Yu, LI Jiaming, CHEN Yicheng, CHEN Lijie, ZHAO Zhiyong, YANG Yue. Analysis of factors influencing the propagation of mining blasting vibration wave in karst area[J]. Journal of Geomechanics, 2018, 24(5): 692-698. doi: 10.12090/j.issn.1006-6616.2018.24.05.070 [18] Xia K Z, Chen C X, et al. Engineering geology and ground collapse mechanism in the Chengchao Iron-ore Mine in China[J]. Engineering Geology, 2019, 249: 129-147. doi: 10.1016/j.enggeo.2018.12.028 [19] 熊志涛, 刘鹏瑞, 杨涛, 邵勇. 江夏法泗岩溶塌陷区冲孔桩施工引发岩溶塌陷的成因机理[J]. 中国岩溶, 2018, 37(1):120-129. doi: 10.11932/karst20180108XIONG Zhitao, LIU Pengrui, YANG Tao, SHAO Yong. Mechanism of karst collapse caused of punching pile construction in Jiangxia fasi karst collapse area[J]. Carsologica Sinica, 2018, 37(1): 120-129. doi: 10.11932/karst20180108 [20] 贾继成, 孟宪洲, 白平. 滕州荆泉水源地岩溶塌陷特征与成因分析[J]. 山东国土资源, 2018, 34: 41-46.JIA Jicheng, MENG Xianzhou, BAI Ping. Analysis and characteristics and orings of karst collapse in Jingquan water source in Tengzhou[J]. Shangdong Land and Resources, 2018, 34(6): 41-46. [21] 余政兴, 金福喜, 段选亮. 河床透-阻型岩溶塌陷形成机理[J]. 中国地质灾害与防治学报, 2020, 31(2):57-66.YU Zhengxing, JIN Xuxi, DUAN Xuanliang. Formation mechanism of karst collapse with unconfined aquifer-aquitaed system in riverbed[J]. The Chinese Journal of Geological Hazard and Control, 2020, 31(2): 57-66. [22] 李卓俊, 蒙彦, 董志明, 贾龙, 潘宗源, 管振德, 周富彪. 土洞型岩溶塌陷发育过程气体示踪试验研究: 以广州金沙洲为例[J]. 中国岩溶, 2021, 40(2):238-245. doi: 10.11932/karst2021y18LI Zhuojun, MENG Yan, DONG Zhiming, JIA Long, PAN Zongyuan, GUAN Zhende, ZHOU Fubiao. Experimental study of gas tracer simulation of karst collapse development process: An example of Jinshazhou, Guangzhou[J]. Carsologica Sinica, 2021, 40(2): 238-245. doi: 10.11932/karst2021y18 [23] 李才华, 窦鹏冲. 岩溶地面塌陷致塌机理的物理模型试验分析[J]. 武汉大学学报(工学版), 2021, 54(增2):239-242.LI Chaihua, DOU Pengchong. Physical model test analysis of the collapse mechanism of karst ground[J]. Engineering Journal of Wuhan University, 2021, 54(Sup.2): 239-242. [24] 王飞, 柴波, 徐贵来, 陈龙, 熊志涛. 武汉市岩溶塌陷的演化机理研究[J]. 工程地质学报, 2017, 25(3):824-832.WANG Fei, CHAI Bo, XU Guilai, CHEN Long, XIONG Zhitao. Evolution mechanism of karst sinkholes in Wuhan city[J]. Journal of Engineering Geology, 2017, 25(3): 824-832. [25] 魏子钧. 动静荷载作用下岩溶塌陷易发区高速铁路路基稳定性分析[D], 北京: 北京交通大学. 2021.WEI Zijun. Stability analysis of high-speed railway subgrade in karst col1pse prone area under dynamic and static load[D]. Beijing: Beijing Jiaotong University. 2021. [26] 陈凯, 葛颖, 张全, 陈砺锋, 刘智奇. 基于离散元模拟的巨厚煤层分层开采覆岩裂隙演化分形特征[J]. 工程地质学报, 2021, 29(4):1113-1120.CHEN Kai, GE Ying, ZHANG Quan, CHEN Lifeng, LIU Zhiqi. Discrete element simulation for crack fractal evolution laws associated with slicing mining in super thick coal stratum[J]. Journal of Engineering Geology, 2021, 29(4): 1113-1120. [27] 何树江. 基于颗粒流的灰岩细观力学参数标定方法及其敏感性分析[D]. 济南: 山东大学, 2018.HE Shujiang. Calibration method and sensitivity analysis of micromechanic parameters for limestone based on particle flow[D]. Jinan: Shandong University, 2018. [28] 周剑, 王彦兵, 张路青, 金永军, 涂新斌. 基于离散颗粒模型的岩体结构面动-静态刚度系数对比的数值模拟研究[J]. 工程地质学报, 2021, 29(1):25-33.ZHOU Jian, WANG Yanbing, ZHANG Luqing, JIN Yongjun, TU Xinbin. Numerical study on dynamic static stiffness coefficient of rock fractures based on discrete particle model[J]. Journal of Engineering Geology, 2021, 29(1): 25-33. [29] 许江波, 曹宝花, 余洋林, 骆永震. 基于PFC3D的黄土三轴试验细观参数敏感性分析[J]. 工程地质学报, 2021, 29(5):1342-1353.XU Jiangbo, CAO Baohua, YU Yanglin, LUO Yongzhen. Sensitivity analysis of meso parameters in loess triaxial test based on PFC3D[J]. Journal of Engineering Geology, 2021, 29(5): 1342-1353. [30] 周建, 张映钱, 方亿刚, 刘宇. 水位变动及降雨入渗联合作用对岩溶地面塌陷的影响分析[J]. 水利与建筑工程学报, 2016, 14(1):218-222. doi: 10.3969/j.issn.1672-1144.2016.01.041ZHOU Jian, ZHANG Yingqian, FANG Yigang, LIU Yu. Analysis of joint action of water level fluctuation and rainfall on the influence of karst[J]. Journal of Water Resources and Architectural Engineering, 2016, 14(1): 218-222. doi: 10.3969/j.issn.1672-1144.2016.01.041 [31] 朱遥, 刘春, 刘辉, 黄靥欢, 秦岩, 邓尚. 颗粒形态对砂土抗剪强度影响的试验和离散元数值模拟[J]. 工程地质学报, 2020, 28(3):490-499.ZHU Yao, LIU Chun, LIU Hui, HUANG Yehuan, QIN Yan, DENG Shang. Experiment and discrete element numerical simulation for influence of particle morphology on shear strength of sand[J]. Journal of Engineering Geology, 2020, 28(3): 490-499. [32] 雷晓丹, 杨忠平, 翟航, 胡元鑫. 土石混合体块石破碎影响因素的颗粒流数值研究[J]. 工程地质学报, 2020, 28(6):1193-1204.LEI Xiaodan, YANG Zhongping, ZHAI Hang, HU Yuanxin. Particle flow numerical research on factors influencing rock block breakage characteristics of soil rock mixtures[J]. Journal of Engineering Geology, 2020, 28(6): 1193-1204. [33] 姚玉相. 基于离散单元法的高填黄土减载明洞土拱效应细观数值模拟研究[D]. 兰州:兰州交通大学, 2020.YAO Yuxiang. Analysis on meso-mechanism of soil srching for unloading structure of high-filled cut-and-cover tunnel based on DEM[D].Lanzhou: Lanzhou Jiaotong University, 2020. [34] 王祥秋, 杨林德, 高文华. 铁路隧道提速列车振动测试与荷载模拟[J]. 振动与冲击, 2005, 24(3):99-102, 107, 10. doi: 10.3969/j.issn.1000-3835.2005.03.029WANG Xiangqiu, YANG Linde, GAO Wenhua. In site vibration measurement and load simulation of the raising speed train in railway tunnel[J]. Journal of Vibration and Shock, 2005,24(3): 99-102, 107, 10. doi: 10.3969/j.issn.1000-3835.2005.03.029 [35] 白明洲, 宋雷鸣. 高速铁路环境保护[M]. 北京: 中国铁道出版社, 2021.BAI Mingzhou, SONG Leiming. Environmental protection of high-speed railway[M]. Beijing: China Railway Publishing House, 2021 -
下载: