Study on karst development characteristics and water permeability of a pumped- storage upper reservoir in the Qinling Mountains, Southern Shaanxi
-
摘要: 秦岭是我国南北分界线,地形地貌、地质构造复杂,可溶岩分布广泛,岩溶是各项工程建设中无法回避的问题。岩溶发育可能造成水库渗漏,对抽蓄电站水库修建具有制约性影响。文章以陕南秦岭某抽水蓄能水库区灰岩为研究对象,采用钻探、钻孔电视成像及压水试验,对灰岩岩溶发育特征进行分析,结合岩溶发育特征,评价岩体透水性能。结果表明:研究区岩溶发育等级为强烈发育,岩溶裂隙普遍发育。溶洞呈串珠状分布,灰色鲕粒灰岩溶洞最发育,棕红色细晶灰岩次之,泥质灰岩溶洞不发育。研究区岩体透水性能为中等-极强,岩体透水性能与岩溶发育密切相关,平均透水率对数与线岩溶率呈线性关系,中等透水岩体岩溶以弱发育为主,强和极强透水岩体岩溶为中等-强烈发育为主。Abstract:
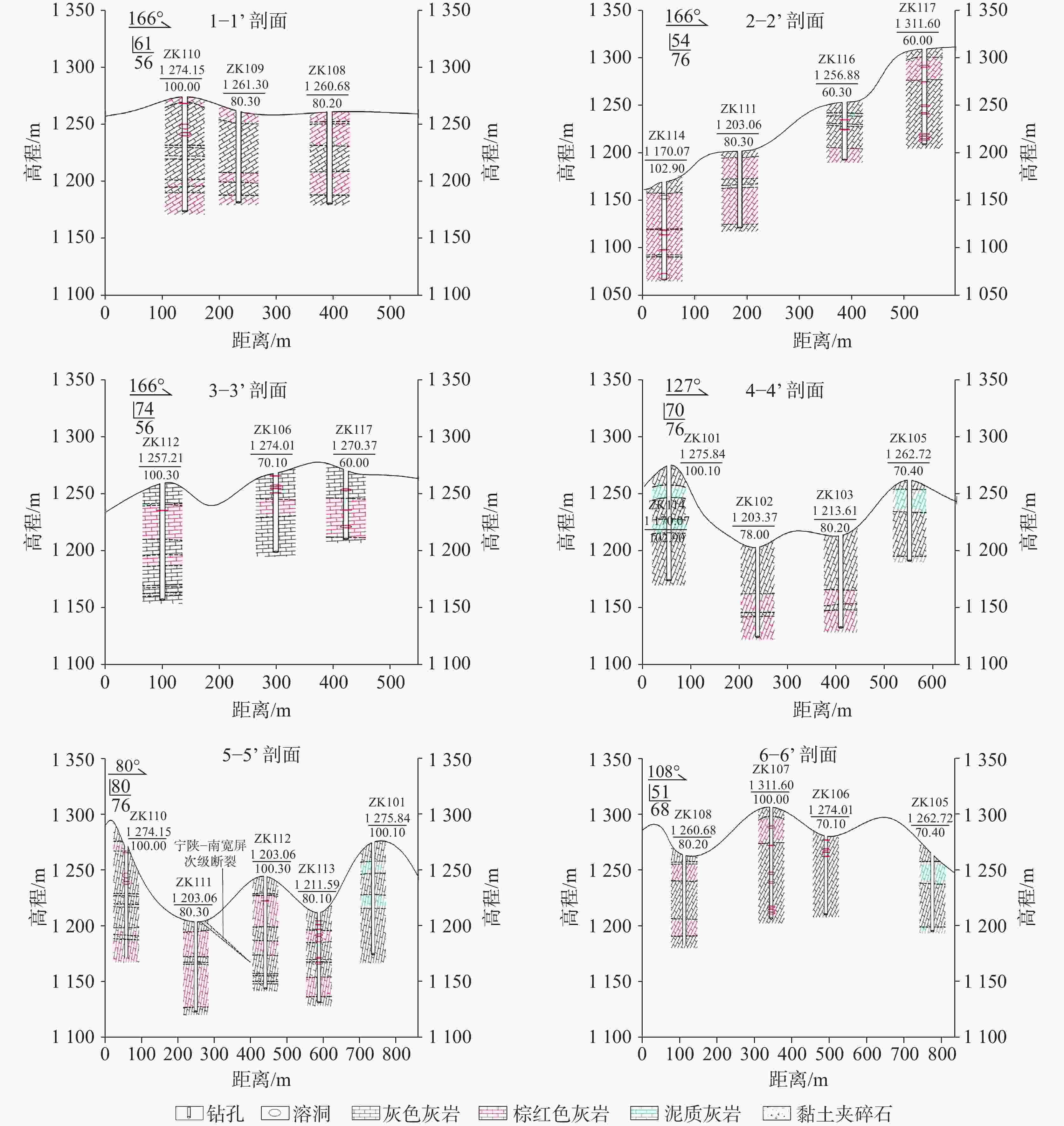
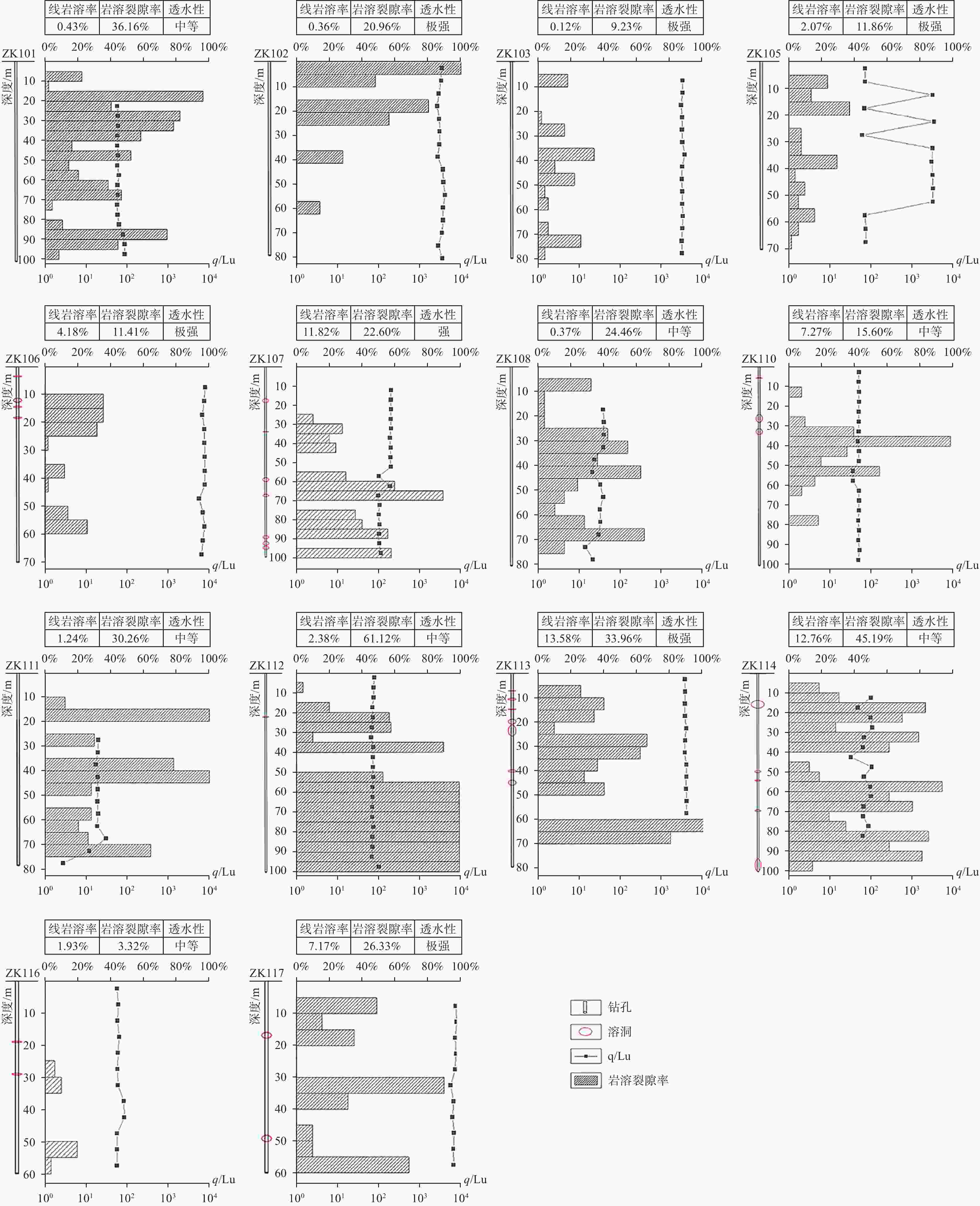
China has a vast territory, with significant differences of internal and external forces such as lithology, geological structure, and climate in different regions, resulting in distinct regional characteristics in karst development. The Qinling Mountains is the north–south demarcation line in China, with complex topography, geological structure, and widespread distribution of soluble rocks. Consequently, karst in this region is an unavoidable problem in the construction of various projects. The development of karst may lead to reservoir leakage, posing a constraining influence on the construction of pumped-storage power station reservoirs. However, the current research on the characteristics of karst development at specific engineering sites in the Qinling area is relatively limited, and there is not much research on the impact of karst development characteristics on the permeability of the rock body in the reservoir areas. To provide a valuable supplement and reference for the study of karst development in the Qinling area, and to establish a reliable foundation for the design of pumped-storage reservoirs, leakage prevention and control, and risk assessment, this study takes limestone of a pumped-storage reservoir located in the Qinling Mountains of southern Shaanxi Province as the research object. Utilizing drilling, borehole TV imaging and in-situ pressure water tests, this study comprehensively evaluates the water permeability performance of the rock body. By integrating the characteristics of karst development, the research summarizes and analyzes the distribution patterns of limestone karst development in the study area. The permeability of the rock body is evaluated in conjunction with karst development characteristics, leading to the following conclusions: The linear karstification rate of three boreholes in the study area is greater than 10%, with an encounter rate of 47.1%. This indicates a strong degree of karst development. Using the contour line of 3% karstification rate as the boundary, the study area is divided into two karst zones: Zone I and Zone II which includes Zone II-1 and Zone II-2. The karst in Zone I is strongly to moderately developed, with a relatively high concentration of caves in the borehole area. In contrast, the karst in Zone II is weakly developed, and caves are seldom found in the borehole area. The depth of the karst caves is predominantly distributed between 10 m and 60 m underground, representing a typically shallow-buried karst system. The karst caves are distributed in a moniliform shape, with ZK107 and ZK113 being the most prominent, where seven caves are vertically distributed in a single borehole area. The gray oolitic limestone caves are the most developed, followed by brownish-red fine-crystalline limestone caves, while argillaceous limestone caves are not developed. The development of karst caves is consistent with the solubility pattern of limestone. In addition, the karst fissures are generally developed in all borehole areas, and can be categorized into two types: joint-solution fissures and solution fissure zones. These fissures are commonly filled with mud, calcium and calcite. Comprehensive analysis shows that the permeability performance of the rock body in the study area is jointly influenced by the karst development characteristics, the integrity of the rock body, and the filling characteristics. The logarithm of the average permeability (lg10q) exhibits a linear relationship with the linear karstification rate, which is expressed by the equation: lg(q)=A·Rlk+B, where Rlk denotes the linear karstification rate, and A and B are constants. The ratio coefficient A indicates the influence of karst development on the permeability of the rock body, with a calculated value equal to 3.39. Overall, the rock bodies in the study area demonstrate a pattern whereby the increase of karst development correlates with greater permeability of the rock body. A comparison shows that in moderately permeable rock bodies, karst development is primarily weak. In contrast, in strongly and very strongly permeable rock bodies, karst development is predominantly strong to moderate. The permeability of the rock body exhibits a clear linear trend, correlating with an increase in the linear karstification rate. Constant B reflects the effect of the integrity degree of the rock body on the permeability performance. Specifically, relatively intact rock bodies exhibit moderate to strong permeability (Constant B=1.58), while fractured and broken rock bodies indicate extremely strong permeability (Constant B=3.46). In addition, the filling characteristics of protogenesis fissures and karst caves can cause fluctuations in permeability. When the protogenesis fissures and karst caves are not filled, permeability tends to be high; however, when they are densely filled, the permeability will significantly decrease. -
Key words:
- pumped-storage upper reservior /
- karst cave /
- karst fissure /
- water permeability /
- the Qinling Mountains
-
[1] 孟庆任. 秦岭的由来[J]. 中国科学:地球科学, 2017, 47(4):412-420. doi: 10.1360/N072016-00422MENG Qingren. Origin of the Qinling mountains[J]. Scientia Sinica Terrae, 2017, 47(4): 412-420. doi: 10.1360/N072016-00422 [2] 李大通, 罗雁. 中国碳酸盐岩分布面积测量[J]. 中国岩溶, 1983, 2(2):147-150.LI Datong, LUO Yan. Measurement of carbonate rocks distribution area in China[J]. Carsologica Sinica, 1983, 2(2): 147-150. [3] 马守林. 陕南岩溶的初步探讨[J]. 水利水电技术, 1981(8):19-25. [4] 杜朋召, 雷春荣, 高平. 东庄水库碳酸盐岩库段岩溶控制因素与发育规律研究[J]. 华北水利水电大学学报(自然科学版), 2018, 39(3):88-92.DU Pengzhao, LEI Chunrong, GAO Ping. Research on controlling factors and development rules of karst in carbonate rocks of Dongzhuang reservoir[J]. Journal of North China University of Water Resources and Electric Power (Natural Science Edition), 2018, 39(3): 88-92. [5] 段乔文, 俞富有, 张天柏, 何伟, 段春林. 滇东高原罗平湾子水库岩溶渗漏机理及库外补漏设想[J]. 中国岩溶, 2022, 41(2):287-297.DUAN Qiaowen, YU Fuyu, ZHANG Tianbai, HE Wei, DUAN Chunlin. Karst leakage and its sealing at Wanzi reservoir in Luoping county on the plateau of eastern Yunnan[J]. Carsologica Sinica, 2022, 41(2): 287-297. [6] 代志宏, 朱银红, 卢鹏, 李正顺, 赵锡荣. 非典型隐伏岩溶发育特征及渗漏研究:以大雪山水库为例[J]. 桂林理工大学学报, 2021, 41(3):518-524.DAI Zhihong, ZHU Yinhong, LU Peng, LI Zhengshun, ZHAO Xirong. Development characteristics and leakage of atypical concealed karst: Taking Daxueshan reservoir as an example[J]. Journal of Guilin University of Technology, 2021, 41(3): 518-524. [7] 刘天云, 罗锐恒, 胡顺强, 赵永宾, 潘晓东, 刘伟. 文山小河尾水库岩溶渗漏水文地质条件与管道位置识别[J]. 中国岩溶, 2022, 41(1):88-99.LIU Tianyun, LU Ruiheng, HU Shunqiang, ZHAO Yongbin, PAN Xiaodong, LIU Wei. Hydrogeological conditions of karst leakage and identification of pipeline location in Xiaohewei reservoir, Wenshan[J]. Carsologica Sinica, 2022, 41(1): 88-99. [8] 杜毓超, 李兆林, 唐健生. 湖南新田水浸窝水库渗漏分析及其治理[J]. 中国岩溶, 2003, 22(4):22-26.DU Yuchao, LI Zhaolin, TANG Jiansheng. Analysis on the leakage mechanism and the treatment method for Shuijinwo reservoir in Xintian county, Hunan Province[J]. Carsologica Sinica, 2003, 22(4): 22-26. [9] 卢海平, 张发旺, 赵春红, 夏日元, 梁永平, 陈宏峰. 我国南北方岩溶差异[J]. 中国矿业, 2018, 27(Suppl.2):317-319.LU Haiping, ZHANG Fawang, ZHAO Chunhong, XIA Riyuan, LIANG Yongping, CHEN Hongfeng. Difference between southern karst and northern karst besides scientific issues that need attention[J]. China Mining Magazine, 2018, 27(Suppl.2): 317-319. [10] 董云鹏, 杨钊, 孙圣思, 史小辉, 何登峰, 惠博, 龙晓平, 郭安林. 秦岭隆升过程及其如何控制气候环境?[J]. 地球科学, 2022, 47(10):3834-3836. [11] 孟清, 白红英, 赵婷, 郭少壮, 齐贵增. 秦岭山地气候变化的地形效应[J]. 山地学报, 2020, 38(2):180-189.MENG Qing, BAI Hongying, ZHAO Ting, GUO Shaozhuang, QI Guizeng. Topographic characteristic of climate change in the Qinling mountains, China[J]. Mountain Research, 2020, 38(2): 180-189. [12] 何军, 刘磊, 黎清华, 刘道涵, 陈标典, 张傲, 赵永波. 隐伏岩溶区地下空间探测技术方法研究:以武汉市为例[J]. 水文地质工程地质, 2020, 47(6):47-56.HE Jun, LIU Lei, LI Qinghua, LIU Daohan, CHEN Biaodian, ZHANG Ao, ZHAO Yongbo. Techniques for detecting underground space in hidden karst region: Taking Wuhan as an example[J]. Hydrogeology & Engineering Geology, 2020, 47(6): 47-56. [13] 刘动, 林沛元, 陈贤颖, 黄胜, 马保松. 深圳岩溶空间发育规律统计分析[J]. 岩土力学, 2022, 43(7):1899-1912.LIU Dong, LIN Peiyuan, CHEN Xianying, HUANG Sheng, MA Baosong. Statistical analysis of karst spatial distribution in Shenzhen[J]. Rock and Soil Mechanics, 2022, 43(7): 1899-1912. [14] 彭耀, 樊永生, 徐联泽, 刘基强, 董艳平. 钻孔电视成像在武汉地铁岩溶勘察中的应用[J]. 资源环境与工程, 2018, 32(1):134-136.PENG Yao, FAN Yongsheng, XU Lianze, LIU Jiqiang, DONG Yanping. Application of borehole TV imaging in the karst survey of Wuhan metro[J]. Resources Environment & Engineering, 2018, 32(1): 134-136. [15] 王喜迁, 孙明国, 张皓, 江玉乐. 高密度电法在岩溶探测中的应用[J]. 煤田地质与勘探, 2011, 39(5):72-75.WANG Xiqian, SUN Mingguo, ZHANG Hao, JIANG Yule. Application of high-density electrical technique in karst detection[J]. Coal Geology & Exploration, 2011, 39(5): 72-75. [16] 王亮, 李正文, 王绪本. 地质雷达探测岩溶洞穴物理模拟研究[J]. 地球物理学进展, 2008, 87(1):280-283.WANG Liang, LI Zhengwen, WANG Xuben. A study of geological radar to cavern detection and physical analogue[J]. Progress in Geophysics, 2008, 87(1): 280-283. [17] 冯涛, 蒋良文, 曹化平, 王栋. 高铁复杂岩溶“空天地”一体化综合勘察技术[J]. 铁道工程学报, 2018, 35(6):1-6.FENG Tao, JIANG Liangwen, CAO Huaping, WANG Dong. Research on the integrated survey technical system of "space-air-ground" in complex karst area of high speed railway[J]. Journal of Railway Engineering Society, 2018, 35(6): 1-6. [18] 国家能源局. NB/T 10075-2018 水电工程岩溶工程地质勘察规程[S].National Energy Administration. NB/T 10075-2018 Specification for karst engineering geological investigation of hydropower projects[S]. [19] 杨志斌, 董书宁. 压水试验定量评价单孔注浆效果影响因素分析[J]. 煤矿安全, 2018, 49(6):187-194.YANG Zhibin, DONG Shuning. Influence factors analysis of quantitative evaluation of single borehole grouting effect by water pressure test[J]. Safety in Coal Mines, 2018, 49(6): 187-194. -
下载: