Characteristics of soil carbon, nitrogen and their components under different vegetation types in the karst reservoir area: A case study of Huaxi reservoir in Guiyang
-
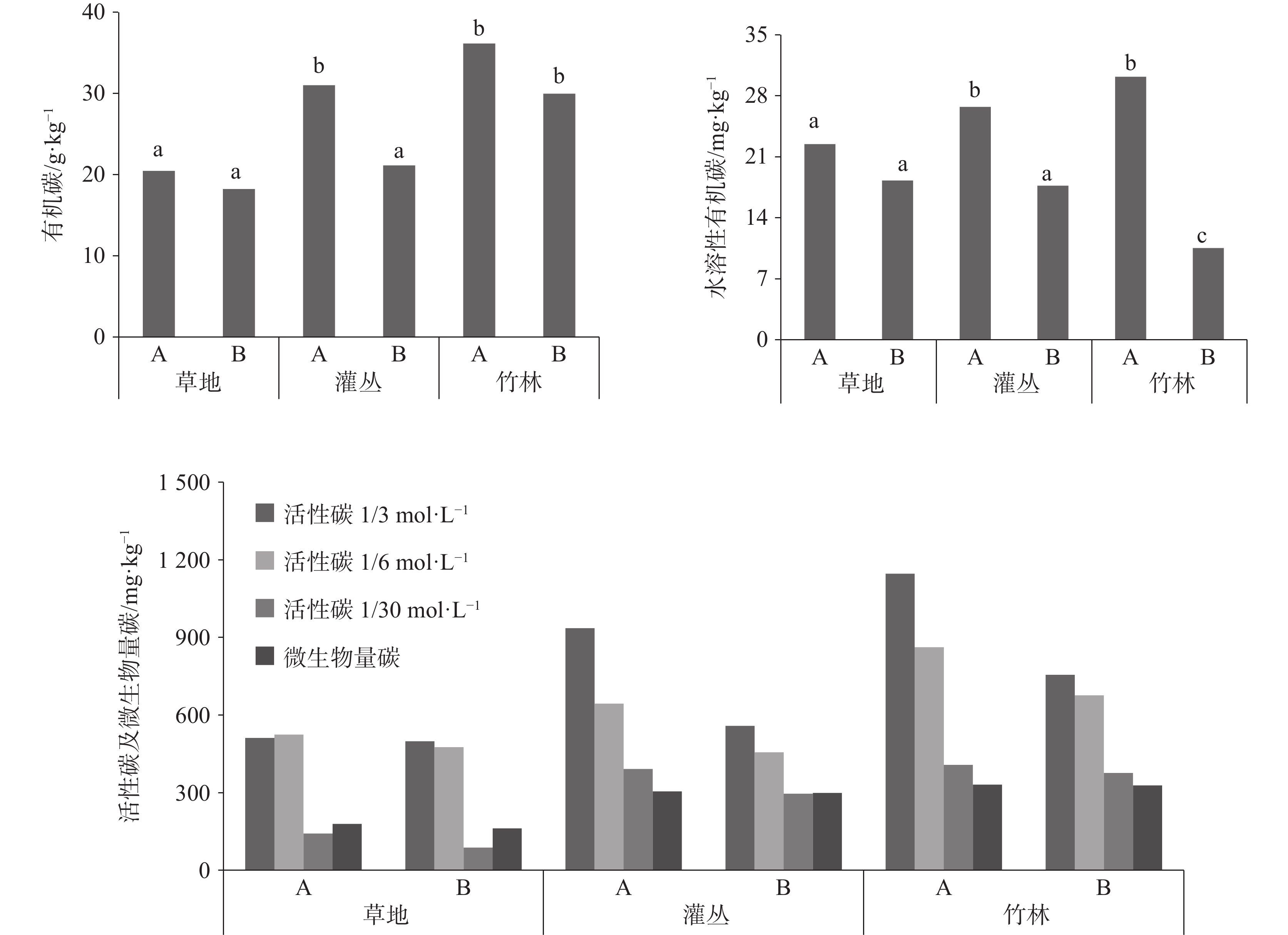
摘要: 在贵阳市花溪水库附近选择3种植被类型(草地、灌丛、竹林)作为研究对象,探究3种植被类型下不同土层中土壤碳、氮含量及其不同活性组分的特征。结果表明:植被对碳、氮及其组分(除铵态氮外)影响显著,随植被类型变化(草地→灌丛→竹林)有机碳及其各活性组分含量逐渐增加,A层>B层;竹林中有机碳含量为36.16 g·kg−1、29.68 g·kg−1,明显高于草地中的20.48 g·kg−1、18.24 g·kg−1;草地中微生物碳含量仅占竹林的54%及49%,水溶性碳在有机碳中的比例最小(0.04%~0.11%),其次是微生物量碳;微生物量氮所占比例最少,仅占全氮中的0.02%~0.20%,随植被变化(草地→灌丛→竹林)微生物量氮含量逐渐增加,硝态氮含量逐渐降低,铵态氮的含量远高于硝态氮的含量,微生物量氮与碱解氮的含量随土层加深含量降低,全氮含量增加。土壤的C/ N在8.49~21.52之间,在A层中表现为草地<灌丛<竹林,A层>B层。因此,植被类型对岩溶地区的土壤质量及附近水域均会产生影响,在岩溶水源涵养区,竹林及灌丛更有利于保持水土及附近水域的水质,草地不适合作为岩溶地区生态修复的植被类型。Abstract:
The study area is located in the water conservation area of Huaxi reservoir in Guiyang City, Guizhou Province. Soil in this area is developed from limestone with the soil thickness varying greatly from 0 cm to 103.5 cm. Rocks are exposed in some parts of the area. Because the study area has been closed off to prevent deterioration, the vegetation is well protected. The main vegetation types are grassland, shrubs and bamboo forest. In order to understand the relationship between soil nitrogen and phosphorus contents and their components in the karst reservoir area, we analyzed the decomposition characteristics of soil organic matter in the karst area. The result can provide theoretical support for ecological restoration and conservation of water supply in the karst area. In Huaxi reservoir, we chose three typical vegetation types—grassland, shrubbery and bamboo forest—as the research objects. We selected 3–5 duplicates from every different vegetation plot, and studied the soil carbon and nitrogen contents and active components of these three vegetation types in two layers (Layer A and Layer B). The results showed that there were significant effects for different vegetation on carbon and nitrogen and their components (except for AN). With the change of vegetation types (grassland→shrubbery→bamboo forest), the content of organic carbon and its active components gradually increased (Layer A>Layer B). TOC contents in bamboo forest (36.16 g·kg−1 and 29.68 g·kg−1) were higher than those in grassland (20.48 g·kg−1 and 18.24 g·kg−1). MBC contents in grassland was 54 percent and 49 percent of that in bamboo forest. The proportion of WSOC in total organic carbon was the smallest (0.04%–0.11%), among which the content of WSOC in bamboo forest accounted for a relatively high proportion (0.11%). The proportion of microbial biomass nitrogen was the second, which accounted for a relatively higher proportion in shrubbery (0.99% in layer A and 1.42% in layer B), but the lowest in bamboo forest (0.88% in Layer A and 0.89% in Layer B). The proportion of microbial biomass nitrogen was the least, accounting for only 0.02%–0.20% of total nitrogen. With the restoration (grassland→shrubbery→bamboo forest), MBN contents increased gradually, and the content of ${\rm{NO}}_3^{-}$−N in Layer A gradually reduced. The contents of microbial biomass nitrogen in bamboo forest (3.48 mg·kg−1 and 3.12 mg· kg−1) were significantly higher than those in shrubbery and grassland. The content of ${\rm{NO}}_3^{-}$−N in grassland was higher than that in bamboo forest (2.24 mg·kg−1). The content of NH$_4^{+}$−N was much higher than that of ${\rm{NO}}_3^{-}$−N. The content of nitrate nitrogen was more than 10 times that of NH$_4^{+}$−N. With the layer deepening, the contents of MBN and AN reduced, but the TN content increased. Among the ratios of different nitrogen components to total nitrogen, the ratio of AN to TN was the highest (3.38%–6.93%). The ratio of NH$_4^{+}$−N to TN was higher than that of ${\rm{NO}}_3^{-}$−N to TN, and the ratio of microbial nitrogen was the lowest, accounting for only 0.03% in shrubbery and grassland. In Layer A, the ratio of C to N was from 8.49 to 21.52, showing as grassland<shrubbery<bamboo forest, and layer A>layer B. In layer B, the ratio was between 8.49 to 11.06, showing as shrubbery<grassland<bamboo forest. The results indicate that the vegetation types can affect the contents of carbon and nitrogen and their components. The vegetation of bamboo forest and shrubbery is conducive to the decomposition and absorption of soil carbon and nitrogen and can reduce the loss of soil and water. Therefore, the vegetation of bamboo forest and shrubbery can maintain water quality in the reservoir. Grassland is not suitable for ecological restoration in the karst area. However, this study only analyzes carbon and nitrogen and their components in different vegetation types, but does not explore changes of soil phosphorus content, microorganism content and plant root exudate, which needs further research. -
表 1 样地基本情况
Table 1. Basic situations of the sampling plots
植被类型 主要植物 坡位 pH 含水量/% 草地 白蒿(Herba Artimisiae Sieversianae)
蚊子草(Filipendula palmata Maxim.)
黑蒿(Artemisia palustris Linn)
蛇莓(Du- chesnea indica)
野地瓜藤(Caulis Fici Tikouae)
鬼针草(Herba Bidentis Bi- pinnatae)
附地菜(Trigonotis peduncularis)中上部 7.2 16.8 灌丛 火棘(Pyracantha fortuneana)
野蔷薇(Rosa multiflora Thunb)
荚迷(Viburnum dilatatum Thunb)
鼠李(Rhamnus avurica Pall)
小叶女贞(Ligustru- mquihoui Carr.)中部 7.1 18.0 竹林 黔竹(Dendrocalamus tsiangii (McClure) Chia et H. L. Fung)
女贞(Ligustrum lucidum)
油桐(Vernicia fordii (Hemsl.) Airy Shaw)
楸树(Catalpa bungei C. A. Mey.)
梓木(Sassafras tzumu (Hemsl.) Hemsl.)
朴树(Celtis sinensis Pers.)
构树(Broussonetia papyrifera)中下部 7.1 18.3 表 2 不同植被类型下土壤氮素及其组分含量
Table 2. Contents of TN, AN, ${\rm{NO}}_3^{-}$-N, NH$_4^{+}$-N and MBN under different vegetation types
植被类型 层次 全氮(TN)/
g·kg−1碱解氮(AN) /
mg·kg−1硝态氮
(${\rm{NO}}_3^{-}$-N )/mg·kg−1铵态氮
(NH$_4^{+}$-N) /mg·kg−1微生物量氮(MBN )/
mg·kg−1竹林 A 1.68a 116.13a 2.46a 67.15a 3.48a B 2.71b 99.54b 1.51b 68.10a 3.12a 灌丛 A 2.12b 97.9b 3.35a 77.19a 0.74b B 2.49b 84.18c 6.00c 68.04a 0.68b 草地 A 1.56a 108.08a 4.70a 71.93a 0.66b B 1.68a 99.79b 1.97b 79.32a 0.54b 表 3 不同植被下碳组分与总有机碳的比值(%)
Table 3. Ratios of component C to TOC under different vegetation types
植被类型 层次 AOC1/3/TOC AOC1/6/TOC AOC1/30/TOC WSOC/TOC MBC/TOC 竹林 A 2.50 2.56 0.70 0.11 0.88 B 2.74 2.61 0.48 0.10 0.89 灌丛 A 3.02 2.08 1.26 0.09 0.99 B 2.64 2.16 1.40 0.08 1.42 草地 A 3.17 2.39 1.13 0.08 0.92 B 2.52 2.26 1.26 0.04 1.10 表 4 不同植被下土壤氮组分与全氮的比值(%)
Table 4. Ratios of component N to TN under different vegetation types
植被类型 层次 AN/TN ${\rm{NO}}_3^{-}$-N/TN NH$_4^{+}$-N/TN MBN/TN 竹林 A 6.91 0.15 4.00 0.21 B 3.67 0.06 2.51 0.12 灌丛 A 4.62 0.16 3.64 0.03 B 3.38 0.24 2.73 0.03 草地 A 6.93 0.30 4.61 0.04 B 5.94 0.12 4.72 0.03 -
[1] 李明峰, 董云社, 齐玉春, 耿元波. 温带草原土地利用变化对土壤碳氮含量的影响[J]. 中国草地, 2005, 27(1):1-6.LI Mingfeng, DONG Yunshe, QI Yuchun, GENG Yuanbo. Effect of land-use change on the contents of C & N in temperate grassland soils[J]. Grassland of China, 2005, 27(1): 1-6. [2] Kooch Y, Sanji R, Tabari M. The effect of vegetation chang in C and N contents in litter and soil organic fractions of a Northern Iran temperate forest[J]. Catena, 2019, 178(9): 32-39. [3] Achat D L, Bakker M R, Augusto L, Derrien D, Barsukov P. Phosphorus status of soils from contrasting forested ecosystems in Southwestern Siberia: Combined effects of plant species and climate[J]. Biogeosciences Discussions, 2012, 9(6): 6365-6408. [4] 周玮, 严敏, 苏春花, 李玲, 雷章琴. 不同碳酸盐岩和土层厚度下土壤微生物数量及生物量的研究:以贵阳市花溪区为例[J]. 中国岩溶, 2018, 37(2):168-174. doi: 10.11932/karst20180202ZHOU Wei, YAN Min, SU Chunhua, LI Ling, LEI Zhangqin. Study on soil microbial quantity and biomass developed from different carbonate-rock and soil thickness: A case study of Huaxi district in Guiyang[J]. Carsologica Sinica, 2018, 37(2): 168-174. doi: 10.11932/karst20180202 [5] 鲍勇, 高颖, 曾晓敏, 袁萍, 司友涛, 陈岳民, 陈滢伊, 中亚热带3种典型森林土壤碳氮含量和酶活性的关系[J]. 植物生态学报, 2018, 42(4):508-516.BAO Yong, GAO Ying, ZENG Xiaomin, YUAN Ping, SI Youtao, CHEN Yuemin, CHEN Yingyi. Relationships between carbon and nitrogen contents and enzyme activities in soil of three typical subtropical forests in China[J]. Chinese Journal of Plant Ecology, 2018, 42(4): 508-516. [6] Wang Yong, Liu Xiongsheng, Chen Fangfeng, Huang Ronglin, Deng Xiaojun, Jiang Yi. Seasonal dynamics of soil microbial biomass C and N of Keteleeria fortunei var. Cyclolepis forests with different ages[J]. Journal of Forestry Research, 2020, 31(6): 2377-2384. [7] Liu Yulin, Zhu Guangyu, Hai Xuying, Li Jun, Deng Zhiqin. Long-term forest successions improves plant diversity and soil quality but not significantly increase soil microbial diversity: Evidence form the Loess Plateau[J]. Ecological Engineering, 2019, 142: 105631. [8] 胡宗达, 刘世荣, 刘兴良, 罗明霞, 胡璟, 李亚非, 余昊, 欧定华, 吴德勇. 川西亚高山3种天然次生林土壤有机碳氮组分特征[J]. 林业科学, 2020, 56(11):1-11. doi: 10.11707/j.1001-7488.20201101HU Zongda, LIU Shirong, LIU Xingliang, LUO Mingxia, HU Jing, LI Yafei, YU Hao, OU Dinghua, WU Deyong. Characterization of soil organic carbon and nitrogen components in three natural secondary forests in subalpine regions of western Sichuan, China[J]. Scientia Silvae Sinicae, 2020, 56(11): 1-11. doi: 10.11707/j.1001-7488.20201101 [9] 贺美, 王迎春, 王立刚, 李成全, 王利民, 李玉红, 刘平奇. 深松施肥对黑土活性有机碳氮组分及酶活性的影响[J]. 土壤学报, 2020, 57(2):446-456. doi: 10.11766/trxb201810180282HE Mei, WANG Yingchun, WANG Ligang, LI Chengquan, WANG Limin, LI Yuhong, LIU Pingqi. Effects of subsoiling combined with fertilization on the fractions of soil active organic carbon and soil active nitrogen, and enzyme activities in black soil in Northeast China[J]. Acta Pedologica Sinica, 2020, 57(2): 446-456. doi: 10.11766/trxb201810180282 [10] 陈洁, 梁国庆, 周卫, 王秀斌, 孙静文, 刘东海, 胡诚. 长期施用有机肥对稻麦轮作体系土壤有机碳氮组分的影响[J]. 植物营养与肥料学报, 2019, 25(1):36-44.CHEN Jie, LIANG Guoqing, ZHOU Wei, WANG Xiubin, SUN Jingwen, LIU Donghai, HU Cheng. Responses of soil organic carbon and nitrogen fractions to long-term organic fertilization under rice-wheat rotation[J]. Journal of Plant Nutrition and Fertilizers, 2019, 25(1): 36-44. [11] 孟繁华, 李桂花, 卢昌艾, 于维水, 武红亮, 长期不同施肥黑土碳氮库组分特征[J]. 中国土壤与肥料, 2015, 3(2):12-16.MENG Fanhua, LI Guihua, LU Chang'ai, YU Weishui, WU Hongliang. Component characteristics of carbon and nitrogen pools in black soil under long term fertilization[J]. Soil and fertilization of China, 2015, 3(2): 12-16. [12] 胡尧, 李懿, 侯雨乐. 岷江流域不同土地利用方式对土壤有机碳组分及酶活性的影响[J]. 生态环境学报, 2018, 27(9):1617-1624.HU Yao, LI Yi, HOU Yule. The variation of soil organic carbon fractions and soil enzyme activity of different land use types in Minjiang river valley [J]. Ecology and Environmental Sciences, 2018, 27(9): 1617-1624. [13] 杨光, 邸雪颖, 舒立福. 近40a 大兴安岭漠河县林火行为指标变化特征[J]. 东北林业大学学报, 2012, 40(12):76-80, 98. doi: 10.3969/j.issn.1000-5382.2012.12.018YANG Guang, DI Xueying, SHU Lifu. Variation characteristics of forest fire behavior indexes in Mohe county of Great Xing'an Mountains in recent 40 years[J]. Journal of Northeast Forestry University, 2012, 40(12): 76-80, 98. doi: 10.3969/j.issn.1000-5382.2012.12.018 [14] 周玮, 周琛, 苏春花, 严敏. 黔中喀斯特地区不同土层厚度生物学特性研究[J]. 西南林业大学学报, 2017, 27(4):91-96ZHOU Wei, ZHOU Chen, SU Chunhua, YAN Min. Response of soil biological properties to soil layer-depth of karst area in the center of Guizhou Province[J]. Journal of Southwest Forestry University, 2017, 27(4): 91-96. [15] 姜培坤. 不同林分下土壤活性有机碳库研究[J]. 林业科学, 2005, 41(1):10-13. doi: 10.3321/j.issn:1001-7488.2005.01.003JIANG Peikun. Soil active carbon pool under different types of vegetation[J]. Scientia Silvae Sinicae, 2005, 41(1): 10-13. doi: 10.3321/j.issn:1001-7488.2005.01.003 [16] 鲍士旦. 土壤农化分析[M]. 北京:中国农业出版社, 2000. [17] 路翔, 项文化, 刘聪. 中亚热带 4 种森林类型土壤有机碳氮贮量及分布特征[J]. 水土保持科学, 2012, 26(3):169-173.LU Xiang, XIANG Wenhua, LIU Chong. Storage and distributiong of soil organic carbon and nitrogen in four subtropical forests in Central Southern China[J]. Journal of Soil and Water Conservation, 2012, 26(3): 169-173. [18] 王邵军, 曹子林, 李小英, 廖周瑜, 胡兵辉, 倪杰. 滇池湖滨带不同植被类型土壤碳氮时空分布特征[J]. 南京林业大学学报(自然科学版), 2013, 37(9):55-59.WANG Shaojun, CAO Zilin, LI Xiaoying, LIAO Zhouyu, HU Binghui, NI Jie. Spatiotemporal distributions of soil carbon and nitrogen under the four riparian zones in the Dianchi lake[J]. Joural of Nangjing Forestry Universtry (Natural Sciences Edtion), 2013, 37(9): 55-59. [19] 韩新辉, 杨改河, 佟小刚, 冯永忠, 任广鑫, 赵发珠, 杜约翰. 黄土丘陵区几种退耕还林地土壤固存碳氮效应[J]. 农业环境科学学报, 2012, 31(6):1172-1179.HAN Xinhui, YANG Gaihe, TONG Xiaogang, FENG Yongzhong, REN Guangxin, ZHAO Fazhu, DU Yuehan. Soil carbon and nitrogen sequestration under several different forest lands converted by farmland in loess hilly area[J]. Journal of Agro-environment Science, 2012, 31(6): 1172-1179. [20] 张婷, 代群威, 邓远明, 李琼芳, 董发勤, Bowen Li, Bruce W Fouke, 李相邑. 九寨沟优势植物凋落物叶片淋溶的碳氮磷释放特征[J]. 中国岩溶, 2021, 40 (1):133-139.ZHANG Ting, DAI Qunwei, DENG Yuanming, LI Qiongfang, DONG Faqin, Bowen Li, Bruce W Fouke, LI Xiangyi. Release characteristics of carbon, nitrogen and phosphorus from withered leaves of dominant plants in Jiuzhaigou valley[J]. Carsologica Sinica, 2021, 40(1): 133-139. [21] 李斌, 方晰, 李岩, 项文化, 田大伦, 谌小勇, 闫文德, 邓东华. 湖南省森林土壤有机碳密度及碳库储量动态[J]. 生态学报, 2015, 35(13):4265-4278.LI Bin, FANG Xi, LI Yan, XIANG Wenhua, TIAN Dalun, CHEN Xiaoyong, YAN Wende, DENG Donghua. Dynamic properties of soil organic carbon in Hunan's forests[J]. Acta Ecologica Sinica, 2015, 35(13): 4265-4278. [22] 曹娟, 闫文德, 项文化, 谌晓勇, 雷丕锋. 湖南会同 3 个林龄杉木人工林土壤碳、氮、磷化学计量特征[J]. 林业科学, 2015, 51(7):1-8.CAO Juan, YAN Wende, XIANG Wenhua, CHEN Xiaoyong, LEI Pifeng. Stoichiometry characterization of soil C, N and P of Chinese fir plantation at three different ages in Huitong, Hunan Province, China[J]. Scientia Silvae Sincae, 2015, 51(7): 1-8. [23] 周正虎, 王传宽, 张全智. 土地利用变化对东北温带幼龄林土壤碳氮磷含量及其化学计量特征的影响[J]. 生态学报, 2015, 35(20):6694-6702.ZHOU Zhenghu, WANG Chuankuan, ZHANG Quanzhi. The effect of land use change on soil carbon, nitrogen, and phosphorus contents and their stoichiometry in temperate sapling stands in Northeastern China[J]. Acta Ecologica Sinica, 2015, 35(20): 6694-6702. [24] 周玮, 苏春花, 严敏. 喀斯特地区不同土层厚度下土壤微生物数量与植物多样性的关系[J]. 广东农业科学, 2017, 44(2):112-117.ZHOU Wei, SU Chunhua, YAN Min. Relationship between plant diversity and soil microbial underquantity different soil layer-depths in karst area[J]. Guangdong Agriculutural Sciences, 2017, 44(2): 112-117. [25] Wood Stephen A, Bradford Mark A. Leveraging a new understanding of how belowground food webs stabilize soil organic matter to promote ecological intensification of agriculture[J]. Soil Carbon Storage, 2018, 5(4): 117-136. [26] Yuan Ye, Zhao Zhongqiu, Li Xuezhen, Bai Zhongke. Characteristics of labile organic carbon fractions in reclaimed mine soils: Evidence from three reclaimed forests in the Pingshuo opencast coal mine, China[J]. Science of the Total Environment, 2018, 613-614(2): 1196-1206. [27] 张昊楠, 陈鑫, 董鹏, 魏婉, 李朝, 关庆伟. 石灰岩山地不同植被类型土壤活性有机碳变化研究[J]. 广东农业科学, 2012, 39(2):4-8.ZHANG Haonan, CHEN Xin, DONG Peng, WEI Wan, LI Chao, GUAN Qingwei. Soil active carbon in soils under different vegetation communities in the limestone mountain[J]. Guangdong Agriculutural Sciences, 2012, 39(2): 4-8. [28] Gundersen P, Emmett B A, Kionaas O J, Koopmans C J, Tietema A. Impact of nitrogen deposition on nitrogen cycling in forests: Asynthesis of NITREX data[J]. Forest Ecology and Management, 1998, 101(1-3): 37-55. [29] Chang Ruiying, Li Na, Sun Xianyang, Hu Zhaoyong, Bai Xuesong, Wang Genxu. Nitrogen addition reduces dissolved organic carbon leaching in a montane forest[J]. Soil Biology and Biochemistry, 2018, 127(9): 31-38. [30] 张维理, Koilbe H, 张认连. 土壤有机碳作用及转化机制研究进展[J]. 中国农业科学, 2020, 53(2):317-331.ZHANG Weili, Koilbe H, ZHANG Renlian. Research progress of SOC functions and transformation mechanisms[J]. Scientia Agricultura Sinica, 2020, 53(2): 317-331. [31] 蔡晓布, 张永青, 邵伟. 不同退化程度高寒草原土壤肥力变化特征[J]. 生态学报, 2008, 28(3):1034-1044.CAI Xiaobu, ZHANG Yongqing, SHAO Wei. Characteristics of soil fertility in alpine steppes at different degradation grades[J]. Acta Ecologrca Sinica, 2008, 28(3): 1034-1044. [32] 张社奇, 王国栋, 田鹏, 郭满才. 黄土高原刺槐林地土壤微生物的分布特征[J]. 水土保持学报, 2004, 18(6):128-132.ZHANG Sheqi, WANG Guodong, TIAN Peng, GUO Mancai. Distributive feature of soil microorganism of Robinia pseudoacacia L. plantation forestland in Loess Plateau[J]. Joural of Soil and Water Conservation, 2004, 18(6): 128-132. [33] 陈效民, 邓建才, 柯用春, 张佳宝, 朱安宁. 硝态氮垂直运移过程中的影响因素研究[J]. 水土保持学报, 2003, 17(2):12-15. doi: 10.3321/j.issn:1009-2242.2003.02.004CHEN Xiaomin, DENG Jiancai, KE Yongchun, ZHANG Jiabao, ZHU Anning. Study on influence factors in process of nitrate vertical transport[J]. Joural of Soil and Water Conservation, 2003, 17(2): 12-15. doi: 10.3321/j.issn:1009-2242.2003.02.004 [34] 李珊珊, 耿增超, 姜林, 佘雕, 罗志伟. 秦岭火地塘林区土壤剖面碳氮垂直分布规律的研究[J]. 西北林学院学报, 2011, 26(4):1-6.LI Shanshan, GENG Zengchao, JIANG Lin, SHE Diao, LUO Zhiwei. Vertical distribution of carbon and nitrogen at Huoditang forest region in the Qinling Mountains[J]. Journal of Northwest Forestry University, 2011, 26(4): 1-6. [35] 文冬妮, 杨 程, 杨 霖, 秦兴华, 孟磊, 何秋香, 朱同彬, Christoph Müller. 岩溶区农业种植对土壤有机氮矿化的影响[J]. 中国岩溶, 2020, 39(2):189-195.WEN Dongni, YANG Cheng, YANG Lin, QIN Xinghua, MENG Lei, HE Qiuxiang, ZHU Tongbin, Christoph Müller. Effects of agricultural cultivation on soil organic nitrogen mineralization in karst regions[J]. Carsologica Sinica, 2020, 39(2): 189-195. [36] 党亚爱, 李世清, 王国栋, 邵明安. 黄土高原典型土壤全氮和微生物氮剖面分布特征研究[J]. 植物营养与肥料学报, 2007, 13(6):1020-1027.DANG Yaai, LI Shiqing, WANG Guodong, SHAO Ming'an. Distribution characteristics of soil total nitrogen and soil microbial biomass nitrogen for the typical types of soils on the Loess Plateau[J]. Plant Nutrition and Fertiliaer Science, 2007, 13(6): 1020-1027. [37] 苗蕾, 孙玉军, 杨喜田, 董斌. 太行山南麓 3 种典型人工林土壤碳氮分布特征[J]. 河南农业科学, 2015, 44(1):52-56.MIAO Lei, SUN Yujun, YANG Xitian, DONG Bin. Distribution characteristics of carbon and nitrogen in soil of three typical artificial forests in southern foot of Taihang mountains[J]. Journal of Henan Agricultural Sciences, 2015, 44(1): 52-56. [38] 习丹, 旷远文. 广州城郊森林公园常绿阔叶林土壤有机碳及组分特征[J]. 生态科学, 2019, 38(1):226-232.XI Dan, KUANG Yuanwen. Characteristics of soil organic carbon and its components in evergreen broadleaved forests of suburban forest parks in Guangzhou[J]. Ecological Science, 2019, 38(1): 226-232. [39] 林狄显. 闽南山地 3 种典型植被类型土壤分形与养分特征[J]. 水土保持通报, 2017, 37(3):48-52.LIN Dixian. Characteristics of soil fractal and nutrient under three typical vegetation types in mountainous region of southern Fujian Province[J]. Bulletin of Soil and Water Conservation, 2017, 37(3): 48-52. [40] 张启明, 赵学强, 陈荣府, 董晓英, 沈仁芳. 铵态氮/硝态氮对水稻铝毒害的影响[J]. 江苏农业学报, 2010, 26(5):976-981.ZHANG Qiming, ZHAO Xueqiang, CHEN Rongfu, DONG Xiaoying, SHEN Renfang. Effect of ammonium nitrogen/nitric nitrogen on Al toxicity in rice[J]. Jiangsu Journal of Agricultural Sciences, 2010, 26(5): 976-981. [41] 王绍强, 于贵瑞. 生态系统碳氮磷元素的生态化学计量学特征[J]. 生态学报, 2008, 28(8):3937-3947.WANG Shaoqiang, YU Guirui. Ecological stoichiometry characteristics of ecosystem carbon, nitrogen and phosphorus elements[J]. Acta Ecologia Sinca, 2008, 28(8): 3937-3947. [42] 曾全超, 李鑫, 董扬红, 安韶山. 黄土高原延河流域不同植被类型下土壤生态化学计量学特征[J]. 自然资源学报, 2016, 31(11):1881-1891.ZENG Quanchao, LI Xin, DONG Yanghong, AN Shaoshan. Ecological stoichiometry of soils in the Yanhe watershed in the Loess Plateau: The influence of different vegetation zones[J]. Journal of Natural Resources, 2016, 31(11): 1881-1891. [43] 张剑, 宿力, 王利平, 包雅兰, 陆静雯, 高雪莉, 陈涛, 曹建军. 植被盖度对土壤碳、氮、磷生态化学计量比的影响:以敦煌阳关湿地为例[J]. 生态学报, 2019, 39(2):580-589.ZHANG Jian, SU Li, WANG Liping, BAO Yalan, LU Jingwen, GAO Xueli, CHEN Tao, CAO Jianjun. The effect of vegetation cover on ecological stoichiometric ratios of soil carbon, nitrogen and phosphorus: A case study of the Dunhuang Yangguan wetland[J]. Acta Ecologica Sinica, 2019, 39(2): 580-589. [44] 胡斌. 黄土高原旱作农田地膜覆盖下土壤磷素转化、有机质矿化及土壤生态化学计量学特征[D]. 兰州:兰州大学, 2013.HU Bin. Effects of plastic mulching on soil phosphorus transformation, organic matter decomposition and soil ecological stoichiometry in rainfed fields of Loess Plateau[D]. Lanzhou: Lanzhou University, 2013. [45] 刘颖茹, 杨持, 朱志梅, 刘美玲. 我国北方草原沙漠化过程中土壤碳、氮变化规律研究[J]. 应用生态学报, 2004, 15(9):1604-1606.LIU Yingru, YANG Chi, ZHU Zhimei, LIU Meiling. Soil C and N dynamics during desertification of grassland in Northern China[J]. Chinese Journal of Applied Ecology, 2004, 15(9): 1604-1606. -
下载: