Hydrological characteristics of dripping water in karst caves under different land covers
-
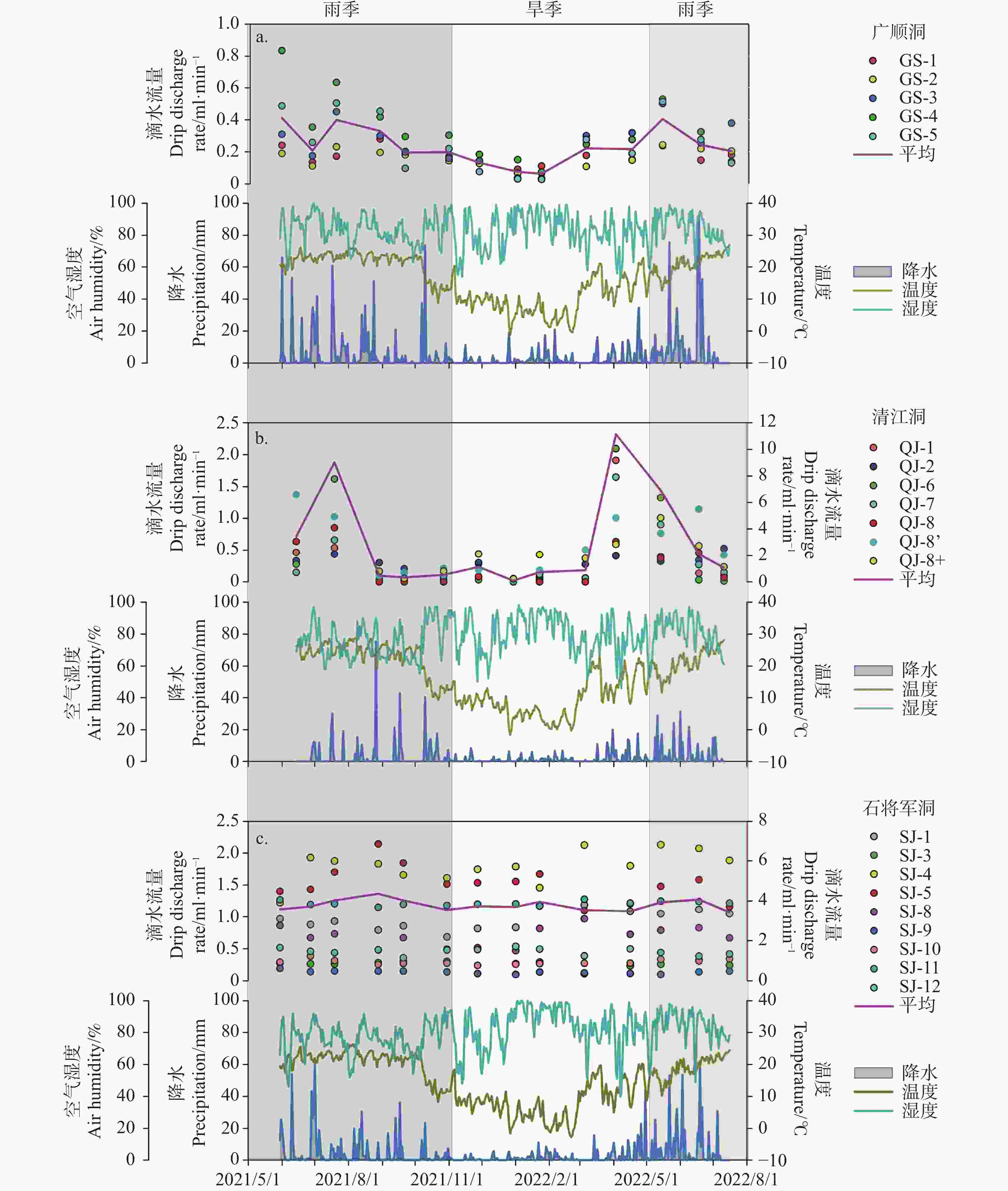
摘要: 土地覆被类型是水循环过程的重要影响因子,为探究不同土地覆被下洞穴滴水的水文特征及其影响因素,文章选取了贵州岩溶区不同土地覆被下的清江洞(土层厚,植被中等)、广顺洞(土层薄,植被好)和石将军洞(土层薄,植被差,顶板厚)3个洞穴,基于滴水流量、土壤含水量及气象数据进行研究。结果表明:(1)3个洞穴的滴水流量均存在季节性变化规律,滴水在降水输入少的旱季易发生断流;(2)由于土壤的截留和储存作用,使得洞顶土层覆盖厚的清江洞相较于广顺洞和石将军洞在雨季8月到10月期间表现出特有的流量低值现象,且全年土壤含水量的最低值也出现在此时期;(3)3个洞穴滴水流量的年均值为石将军洞(1.185 mL·min−1)>清江洞(0.600 mL·min−1)>广顺洞(0.236 mL·min−1),流量的全年稳定程度为石将军洞>广顺洞>清江洞;(4)植被对洞穴滴水水文特征的影响弱于土壤,土壤发育较好的洞穴(清江洞)比土层薄但植被覆盖高的广顺洞全年更容易断流,另外顶板厚度大的洞穴(石将军洞)全年滴水流量稳定程度最好。综上,洞穴滴水流量除受降水、气温、湿度等气象条件影响外,还受土地覆被、含水层顶板厚度的影响。Abstract:
In recent years, the deterioration of global climate has caused a series of natural environment problems, which urgently requires researchers to forecast the future climate and put forward effective management measures. Previous studies have shown that the study and reconstruction of the earth paleoclimate can help people understand the patterns of past climate change and its dominant mechanism. Therefore, as to effectively predict the future climate change and the way the contemporary ecosystem responds to the future climate change, the restoration and reconstruction of ancient climate and environment have gradually become the focus of today's research on earth sciences. At present, an increasing number of researchers have reconstructed paleoclimate and environment based on various geochemical indexes of stalagmites and secondary carbonate sediments in karst caves. Cave dripping water is the material basis for the formation of stalagmites, and it is also the main source of trace elements in stalagmites. The high frequency signal caused by the change of external climate environment will affect the ancient climate information recorded by stalagmites. Therefore, it is of great importance to establish a long-term monitoring system based on cave dripping water and to analyze the relationship between the hydrologic characteristics of cave dripping water and the changes of external environment during the study of stalagmite indication. Cave dripping water is an important part in the water cycles of karst areas, and its hydrological characteristics are closely related to the geochemical isotope indexes which carry climate information. The land cover type is an important factor affecting the regional water cycle processes. However, most of the current studies discussing the impact of land cover on water cycle processes are mainly concentrated on the watershed scale in non-karst areas, and very few studies focus on the impact of land cover on the hydrological characteristics of cave dripping water in karst areas. In order to explore the influence of different land covers on hydrological characteristics of cave dripping water in karst areas, this study selected three karst caves with different types of topsoil and vegetation in Guizhou Province, Southwest of China. These three caves are Qingjiang cave with thick soil layer and moderate vegetation cover), Guangshun cave with thin soil layer and dense vegetation cover, and Shijiangjun cave with thin soil layer, sparse vegetation cover and thick carbonate roof. This study was conducted based on drip discharge rate, soil water content and meteorological data during one hydrological year. Study results show: (1) The drip discharge rates of the three caves display obvious seasonal variations that are synchronized with the input of precipitation, i.e. high in the rainy season, low in the dry season, because they were influenced by meteorological conditions, e.g. precipitation, temperature and humidity. The dripping water flow is vulnerable to dry up in the dry season with less precipitation input. (2) Soil has a strong retention and storage effect on precipitation infiltration. Compared with Guangshun cave and Shijiangjun cave, Qingjiang cave with thick soil layer on the roof shows a unique low flow value during the rainy season from August to October, due to high external temperature and long exposure time after rain, which leads to strong evaporation effect. Besides, the lowest annual soil water content also occurs during this period. (3) The abundance of drip discharge rates of the three caves can be ranked as follows: Shijiangjun cave (1.185 mL·min−1)>Qingjiang cave (0.600 mL·min−1)>Guangshun cave (0.236 mL·min−1), according to their annual mean values. The annual stability of their drip discharge can be obtained by their Cv values, indicating that the drip discharge is the most stable in Shijiangjun cave (0.072), followed by the discharge in Guangshun cave (0.481) and Qingjiang cave (1.264). (4) The influence of vegetation on hydrological characteristics of dripping water is weaker than that of soil, and the dripping water flow in caves with better soil cover development are more likely to dry up throughout the year. For example, the dripping water flow in Qingjiang cave with thick soil cover is more likely to dry up than in Guangshun cave with thin soil layer but with dense vegetation cover. In addition, caves with thick carbonate roof would have a better regulation effect on dripping water flow, e.g. Shijiangjun cave where its dripping water flow is the most stable and abundant throughout the year. In summary, the discharge rate of dripping water is affected not only by meteorological conditions such as precipitation, temperature and humidity, but also by land cover and thickness of aquifer roof above a cave. Therefore, the results of this study could provide crucial scientific guidance for the selection of dripping water points with relatively abundant and stable flow in karst caves, and would be of great significance for the use of cave dripping water in climate research. -
Key words:
- land cover /
- dripping water /
- hydrological characteristics /
- discharge rate /
- soil water content
-
图 2 广顺洞(a)、清江洞(b)、石将军洞(c)滴水流量及当地气象数据的季节变化
注:其中,图2(b)中QJ—6的滴水流量使用右侧的纵坐标轴,图2(c)中SJ—5的滴水流量使用右侧纵坐标轴。
Figure 2. Seasonal variations of drip discharge rates and meteorological data in Guangshun cave (a), Qingjiang cave (b), and Shijiangjun cave (c)
Note: the drip discharge rates of QJ-6 in Fig. 2 (b) are shown by the vertical axis on the right, and the drip discharge rates of SJ-5 in Fig. 2 (c) are shown by the vertical axis on the left.
表 1 监测期内3个洞穴的滴水流量统计值
Table 1. Statistics of drip discharge rates in the three caves during the monitoring period
石将军 广顺 清江 日期 流量
/mL·min−1日期 流量
/mL·min−1日期 流量
/mL·min−12021/5/30 1.118 2021/5/30 0.411 2021/6/14 0.715 2021/6/27 1.163 2021/6/27 0.207 2021/7/19 1.882 2021/7/19 1.258 2021/7/19 0.399 2021/8/29 0.099 2021/8/28 1.363 2021/8/28 0.330 2021/9/21 0.074 2021/9/20 1.260 2021/9/20 0.195 2021/10/27 0.112 2021/10/30 1.109 2021/10/30 0.198 2021/11/28 0.237 2021/11/27 1.166 2021/11/27 0.132 2021/12/30 0.022 2021/12/30 1.156 2021/12/30 0.075 2022/1/23 0.156 2022/1/23 1.237 2022/1/23 0.063 2022/3/6 0.185 2022/3/5 1.105 2022/3/5 0.222 2022/4/3 2.320 2022/4/16 1.086 2022/4/16 0.216 2022/5/14 1.444 2022/5/14 1.228 2022/5/14 0.405 2022/6/18 0.440 2022/6/18 1.273 2022/6/18 0.243 2022/7/11 0.224 2022/7/16 1.073 2022/7/16 0.204 平均值 1.185 0.236 0.600 变差系数 Cv 0.072 0.481 1.264 表 2 清江洞基于土壤含水量曲线形态的分组
Table 2. Grouping based on the curve of soil water content in Qingjiang cave
分组 日期 平均温度/℃ 平均湿度/% 降水量/mm A 2021/6/14—2021/7/19 25.1 77% 108.5 B 2021/7/19—2021/10/9 24.9 72% 237.8 C 2021/10/9—2022/3/16 8.2 82% 239.8 D 2022/3/16—2022/7/11 18.9 79% 417.5 -
[1] 袁道先. 岩溶作用对环境变化的敏感性及其记录[J]. 科学通报, 1995, 40(13):1210-1213. [2] 崔古月, 杨勋林, 方默勤, 孙喜利, 史志超, 王宝艳. 全新世早期石笋灰度序列记录的气候环境信息分析:以重庆羊口洞石笋为例[J]. 中国岩溶, 2017, 36(2):171-178.CUI Guyue, YANG Xunlin, FANG Moqin, SUN Xili, SHI Zhichao, WANG Baoyan. Climatic implications of stalagmite grey scale sequence during the Early Holocene from the Yangkou cave, Chongqing[J]. Carsologica Sinica, 2017, 36(2): 171-178. [3] Baker A, Smart P L, Edwards R L, Richards D A. Annual growth banding in a cave stalagmite[J]. Nature, 1993, 364(6437): 518-520. doi: 10.1038/364518a0 [4] Baldini J U L, Mcdermott F, Fairchild I J. Structure of the 8200-year cold event revealed by a speleothem trace element record[J]. Science, 2002, 296(5576): 2203-2206. doi: 10.1126/science.1071776 [5] Carlson P E, Miller N R, Banner J L, Breecker D O, Casteel R C. The potential of near-entrance stalagmites as high-resolution terrestrial paleoclimate proxies: Application of isotope and trace-element geochemistry to seasonally-resolved chronology[J]. Geochimica et Cosmochimica Acta, 2018, 235: 55-75. doi: 10.1016/j.gca.2018.04.036 [6] 毛庆亚, 王建力, 王家录, 李文. 贵州纳朵洞洞穴滴水、现代沉积物δ18O特征及其环境意义[J]. 中国岩溶, 2018, 37(2):265-271.MAO Qingya, WANG Jianli, WANG Jialu, LI Wen. Characteristics and environmental significance of isotopes record from cave drip water and recent deposit in Naduo cave, Guizhou[J]. Carsologica Sinica, 2018, 37(2): 265-271. [7] 刘子琦, 熊康宁, 吕小溪, 张乾柱, 付超凡. 喀斯特洞穴滴水信息对地表环境响应研究进展[J]. 中国岩溶, 2015, 34(1):43-51.LIU Ziqi, XIONG Kangning, LYU Xiaoxi, ZHANG Qianzhu, FU Chaofan. Progress of research on the response of information of karst cave drip water to ground conditions[J]. Carsologica Sinica, 2015, 34(1): 43-51. [8] 彭玲莉, 李廷勇. 岩溶洞穴滴水环境监测研究进展[J]. 中国岩溶, 2012, 31(3):316-326.PENG Lingli, LI Tingyong. Research progress of monitoring for dripping water environment in karst caves[J]. Carsologica Sinica, 2012, 31(3): 316-326. [9] 吴夏, 潘谋成, 殷建军, 汪智军, 朱晓燕, 杨会, 张美良, 曹建华. 桂林凉风洞洞穴空气及滴水水化学对区域环境的响应[J]. 中国岩溶, 2021, 40(3):513-520.WU Xia, PAN Moucheng, YIN Jianjun, WANG Zhijun, ZHU Xiaoyan, YANG Hui, ZHANG Meiliang, CAO Jianhua. Response of cave air and hydrogeochemistry of drip water to local climate in the Liangfeng cave, Guilin City[J]. Carsologica Sinica, 2021, 40(3): 513-520. [10] 吴夏. 桂林洞穴滴水和现代沉积物对气候变化的响应研究[D]. 北京: 中国地质大学(北京), 2018.WU Xia. Response of cave dripping water and modern sediments in Guilin to climate change[D]. Beijing: China University of Geosciences (Beijing), 2018. [11] 马源, 殷建军, 袁道先. 洞穴滴水、石笋中元素及元素比值对气候环境变化响应的研究进展[J]. 地质论评, 2022, 68(5):1897-1911.MA Yuan, YIN Jianjun, YUAN Daoxian. Research progress on response of elements and their ratios in cave drip water and speleothems to climate and environmental change[J]. Geological Review, 2022, 68(5): 1897-1911. [12] 郑志惠. 山东半岛九天洞洞穴滴水水文化学特征及其影响因素[D]. 烟台:鲁东大学(烟台), 2019.ZHENG Zhihui. Hydrochemical characteristics and influencing factors of drip water in the Jiutian cave, Shandong Peninsula[D]. Yantai: Ludong University (Yantai), 2019. [13] Fairchild I J, Smith C L, Baker A, Fuller L, Spötl C, Mattey D, McDermott F. Modification and preservation of environmental signals in speleothems[J]. Earth-Science Reviews, 2006, 75: 105-153. [14] Fairchild I J, Baker A. Speleothem science: From process to past environments[M]. Chichester, UK: Wiley-Blackwell, 2012. [15] Ziv S, Shahar H, Maximilian H, Denis S, Itay H. The effects of drip rate and geometry on the isotopic composition of speleothems: Evaluation with an advection-diffusion-reaction model[J]. Geochimica et Cosmochimica Acta, 2022, 317. [16] Dragusin V, Mirea I C, Cruceru N, Ersek V, Tirla L. Farmed calcite delta c-13 at ascunsa cave, romania, and its relation with co2 outgassing and drip rate[J]. Quaternaire, 2020(2): 31. [17] 郭小娇, 龚晓萍, 袁道先, 殷建军, 姜光辉, 林玉石, 白冰, 汤庆佳, 陈长杰. 典型岩溶包气带洞穴滴水水文过程研究:以桂林硝盐洞为例[J]. 地球学报, 2017, 38(4):537-548.GUO Xiaojiao, GONG Xiaoping, YUAN Daoxian, YIN Jianjun, JIANG Guanghui, LIN Yushi, BAI Bing, TANG Qingjia, CHEN Changjie. Research on hydrological processes of cave dripping water in a typical karst vadose zone: A case study of Xiaoyan cave, Guilin[J]. Acta Geologica Sinica, 2017, 38(4): 537-548. [18] 向晓晶, 王建力, 李俊云. 重庆芙蓉洞岩溶系统中钡元素地球化学特征[J]. 湖北农业科学, 2011, 50(17):3510-3513, 3525.XIANG Xiaojing, WANG Jianli, LI Junyun. Geochemical characteristics of barium in Furong epikarst ecosystem in Chongqing[J]. Hubei Agricultural Sciences, 2011, 50(17): 3510-3513, 3525. [19] 胡健, 胡金娇, 吕一河. 基于黄土高原关键带类型的土地利用与年径流产沙关系空间分异研究[J]. 生态学报, 2021, 41(16):6417-6429.HU Jian, HU Jinjiao, LYU Yihe. Spatial variation of the relationship between annual runoff and sediment yield and land uses based on the regional critical zone differentiation in the Loss Plateau[J]. Acta Ecologica Sinica, 2021, 41(16): 6417-6429. [20] Zhang L, Dawes W R, Walker G R. Response of mean annual evapotranspiration to vegetation changes at catchment scale[J]. Water resources research, 2001, 37: 701-708. doi: 10.1029/2000WR900325 [21] Zhao M, Hu Y D, Zeng C, Liu Z H, Tang R, Chen B. Effects of land cover on variations in stable hydrogen and oxygen isotopes in karst groundwater: A comparative study of three karst catchments in Guizhou Province, Southwest China[J]. Journal of Hydrology, 2018, 565: 374-385. doi: 10.1016/j.jhydrol.2018.08.037 [22] 夏江宝, 杨吉华, 李红云. 不同外界条件下土壤入渗性能的研究[J]. 水土保持研究, 2004, 11(2):115-117, 191.XIA Jiangbao, YANG Jihua, LI Hongyun. The research of soil infiltration in different outside factors[J]. Research of Soil and Water Conservation, 2004, 11(2): 115-117, 191. [23] Hu Y D, Fan H D, Zhao M, Hu D Y, Bao Q, Zeng C, Li D, Zhang Y, Xia F, Cai X L, Chen J, Zhou Z F. Differences in watershed evaporation indicated by hydrogen and oxygen single and dual isotopes: Evidence from controlled simulation tests under different land uses[J]. Journal of Hydrology, 2023, 617: 129142. doi: 10.1016/j.jhydrol.2023.129142 [24] Tong X, Wang K, Yue Y, Brandt M, Liu B, Zhang C, Liao C, Fensholt R. Quantifying the effectiveness of ecological restoration projects on long-term vegetation dynamics in the karst regions of Southwest China[J]. International Journal of Applied Earth Observation and Geoinformation, 2017, 54: 105-113. doi: 10.1016/j.jag.2016.09.013 [25] 刘子琦, 李红春, 熊康宁, 袁道先, 盈斌, 徐晓梅, 李俊云. 洞穴水系氢氧同位素监测对重建古气候样品选择的指示意义[J]. 中国岩溶, 2008, 27(2):139-144.LIU Ziqi, LI Hongchun, XIONG Kangning, YUAN Daoxian, YING Bin, XU Xiaomei, LI Junyun. Implication for sampling paleo-climate indicators by monitoring seasonal variations of δD and δ18O in cave waters[J]. Carsologica Sinica, 2008, 27(2): 139-144. [26] 李渊. 喀斯特石漠化地区洞穴滴水元素特征分析[D]. 贵阳:贵州师范大学(贵阳), 2017.LI Yuan. Analysis of elemental characteristics of cave drip water in the karst rocky desertification areas[D]. Guiyang: Guizhou Normal University (Guiyang), 2017. [27] Lyu Y, Luo W, Wang Y, Zeng C, Wang S. Geochemical responses of cave drip water to vegetation restoration[J]. Journal of Hydrology, 2020, 590: 125543. doi: 10.1016/j.jhydrol.2020.125543 [28] 马婧怡, 贾宁凤, 程曼. 黄土丘陵区不同土地利用方式下土壤水分变化特征[J]. 生态学报, 2018, 38(10):3471-3481.MA Jingyi, JIA Ningfeng, CHENG Man. Water characteristics of soil under different land-use types in the Loess Plateau region[J]. Acta Ecologica Sinica, 2018, 38(10): 3471-3481. [29] Liu Z H, Li Q, Sun H L, Wang J L. Seasonal, diurnal and storm-scale hydrochemical variations of typical epikarst springs in subtropical karst areas of SW China: Soil CO2 and dilution effects[J]. Journal of Hydrology, 2007, 337: 207-223. [30] Zeng C, Liu Z H, Zhao M, Yang R. Hydrologically-driven variations in the karst-related carbon sink fluxes: Insights from high-resolution monitoring of three karst catchments in Southwest China[J]. Journal of Hydrology, 2016, 533: 74-90. doi: 10.1016/j.jhydrol.2015.11.049 [31] 郑丽, 金鑫, 金彦香, 傅笛, 翟婧雅. 高寒内陆河流域植被覆盖增加对地下水补给的影响[J]. 生态学报, 2023, 43(1):140-152.ZHENG Li, JIN Xin, JIN Yanxiang, FU Di, ZHAI Jingya. Impacts of the increasing vegetation coverage on groundwater recharge in an alpine and arid endorheic river watershed[J]. Acta Ecologica Sinica, 2023, 43(1): 140-152. -
下载: