Effects of land use patterns on the limitation of soil microbial resources in the karst areas of Southwest China
- 
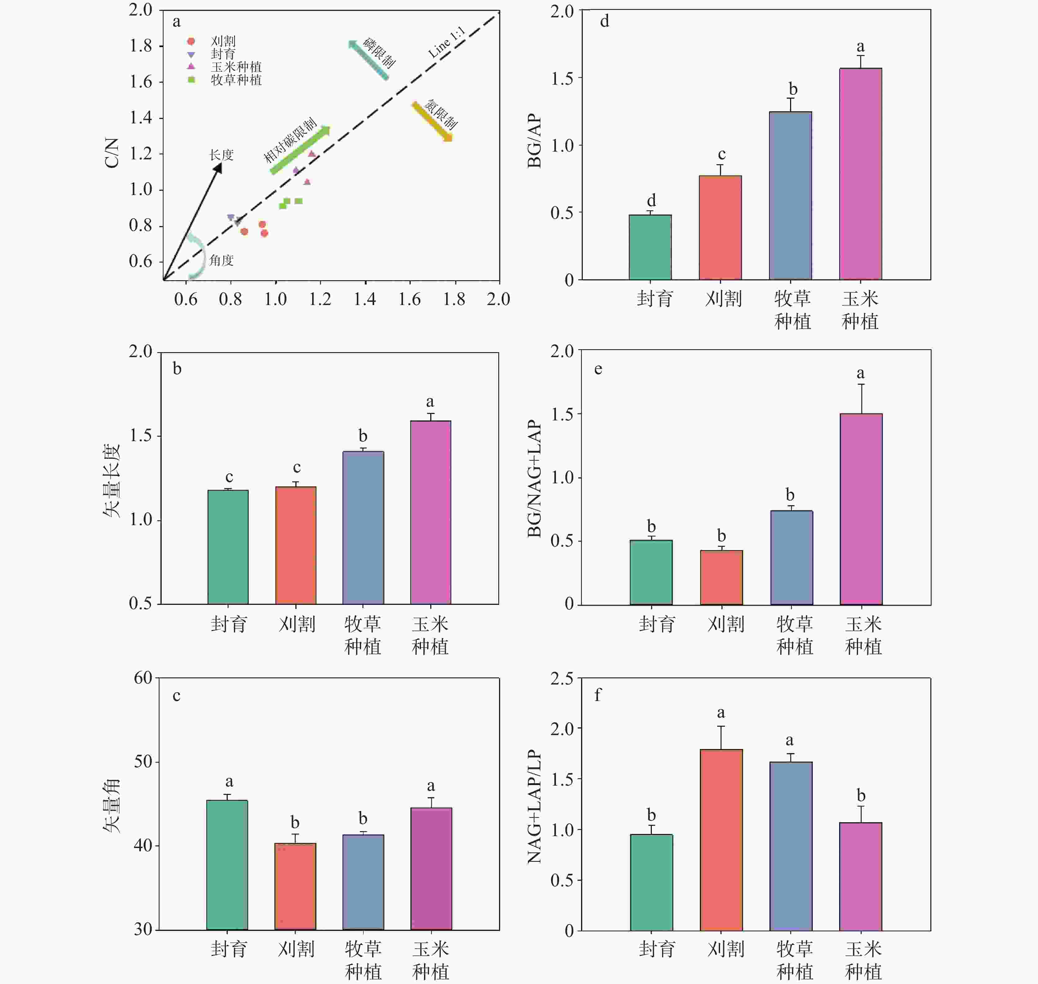
					    摘要: 文章选取广西喀斯特地区4种常见土地利用方式(封育、刈割、牧草、玉米种植)为研究对象,分析土壤养分碳(C)、氮(N)、磷(P)相关酶的活性,并基于酶化学计量学方法揭示土壤微生物受何种养分资源限制,以探讨不同土地利用方式对土壤微生物养分资源限制的作用规律。结果表明:不同土地利用方式下土壤的4种酶活性发生显著变化,其与土壤的可利用性养分紧密相关。通过酶化学计量学发现,种植玉米和牧草均显著加剧土壤微生物的C资源限制,这主要由土壤有机碳及微生物生物量碳的减少导致。4种土地利用方式的土壤微生物均受到N的限制,而非P的限制,且刈割和牧草种植会加剧微生物的N限制。相关性分析表明,N资源限制与微生物生物量碳的增加有关,因为微生物同化碳可能需要土壤中更多的可利用氮素。此外,微生物生物量C、N、P与酶化学计量有较强的相关性,很好地解释了不同土地利用方式下微生物资源限制的变化,可作为评估喀斯特土壤微生物资源限制的有效指标。Abstract:The experimental area is situated in the Mulian comprehensive experimental demonstration zone of Karst Ecosystem Observation and Research Station of Chinese Academy of Sciences, located in Huanjiang Maonan Autonomous County, Guangxi Zhuang Autonomous Region. This region falls within the subtropical monsoon climate zone. The average annual temperature is 19.9℃, with an extreme high of 38.7℃ and an extreme low of -5.2℃. The average annual rainfall is 1,380 mm, characterized by abundant precipitation that is unevenly distributed throughout the seasons; the rainy season accounts for more than 70% of the total annual rainfall. The study area is characterized by a typical karst peak-cluster depression with an elevation of 272.0–647.2 m. The average bedrock exposure in the depression and the sloping land is 15% and 30%, respectively, and their soil depths are 20–160 cm and 10–50 cm, respectively. The soil primarily consists of yellow-brown lime soil and brown lime soil, which have been developed from dolomite. The volume fraction of topsoil gravel can reach 10%–40%. The soil texture is composed of clay loam and clay, with the mass fraction of silt ranging from 25% to 50% and that of clay from 30% to 60%, respectively. Soil microbial growth and activity are often limited by nutrient resources, and understanding which nutrients limit microbial activities is crucial for assessing ecosystem function and developing effective management strategies. Previous studies have shown that soil microorganisms are mainly limited by nutrient carbon (C) and phosphorus (P) during natural succession after the land has been left uncultivated in karst areas. However, measures such as fertilization in agricultural activities may change microbial resource limitations. In order to investigate nutrient resource limitations of soil microorganisms in agricultural land, this experiment selected four common land use patterns in Huanjiang, Guangxi, including enclosure, mowing, grass planting and corn planting, and analyzed enzyme activities related to C, nitrogen (N) and P in soil. Based on enzyme stoichiometry, the nutrient limitations of soil microorganisms were identified, and the influence of different land use patterns on the changes in microbial resource limitations in soil was clarified. This study could provide valuable guidance for the evaluation and management of different land use ecosystems. The results showed that soil enzyme activities changed significantly under different land use patterns, which was closely related to nutrients available in soil. Through enzyme stoichiometry, it was found that planting maize and grass significantly increased the nutrient C resource limitation of soil microorganisms, which was mainly caused by the reduction of soil organic carbon and microbial biomass carbon. The soil microorganisms of the four land use patterns were limited by N, but not by P. In addition, mowing and grass planting exacerbated the N limitation of microorganisms. Correlation analysis suggested that N resource limitation was associated with an increase in microbial biomass carbon, as microbial assimilation of carbon may require more nitrogen available in soil. In addition, microbial biomass C, N and P were significantly correlated with enzyme stoichiometry, which well explained the changes of microbial resource limitations under different land use patterns, and could be used as an effective index to assess microbial resource limitations in karst soil. In summary, this study indicates that changes in microbial resource limitations in soil should be fully considered in the evaluation and management of different ecosystems in karst areas, which was conducive to formulating more accurate and effective soil management strategies to promote the health and sustainable development of ecosystems. It is suggested to apply organic fertilizer such as manure or straw to alleviate the nutrient C resource limitation of soil microorganisms in karst areas where corn and forage are planted. In karst mowing areas, nitrogen fertilizer needs to be applied moderately to alleviate nutrient N resource limitation of microorganisms and to increase plant productivity. - 
									Key words:
									
- land use /
- karst ecosystem /
- microbial resource limitation /
- enzyme activity /
- enzyme stoichiometry
 
- 
						
    
图 1 不同利用方式下土壤酶活性 注:相同字母表示不同处理差异不显著(P>0.05);不同字母表示不同处理差异显著(P<0.05)。 Figure 1. Soil enzyme activities under different land use patterns Note: The same letters indicate no significant difference between different treatments (P>0.05), while different letters indicate significant difference between different treatments (P<0.05). 图 3 土壤性质与酶活性、酶化学计量学相关性 注:蓝色表示两因子间呈负相关关系,红色表示两因子间呈正相关关系,数字表示相关性大小。*表示关系显著(P < 0.05),**表示关系极显著(P < 0.01)。 Figure 3. Correlations among soil properties, enzyme activity and enzymatic stoichiometry Note: Blue indicates a negative correlation between the two factors; red indicates a positive correlation, and the number indicates the size of the correlation. * indicates significance at the level of 0.05, and ** indicates significance at the level of 0.01. 图 4 酶化学计量学矢量长度与SOC、MBC及矢量角与MBC的关系 注:实线和阴影区域分别表示线性模型拟合和95%置信区间。 Figure 4. Relationship between vector length of enzyme stoichiometry and SOC and MBC, and relationship between vector angle and MBC Note: The solid lines and shaded areas represent linear model fit and 95% confidence intervals, respectively. 表 1 各利用方式的详细处理及施肥水平 Table 1. Treatment and fertilization level of each land use pattern 利用方式 相应处理及施肥措施 封育 保留原植被,作为参照;植物优势种为圆叶乌桕(Triadica rotundifolia (Hemsley) Esser)、黄荆(Vitex negundo L.)、楤木(Aralia elata (Miq.) Seem.)、臭蒿(Artemisia annua L.)等 刈割 每年12月施加处理一次,地上植被完全移除,根系保留 牧草种植 牧草每3个月收割一次,免耕,每年于牧草返青后施用底肥,氮(N)、磷(P2O5)、钾(K2O)施用量均为45 kg·hm−2,每次收割后施用N和K2O肥各50 kg·hm−2,P2O5肥15 kg·hm−2 玉米种植 施用的N、P2O5、K2O肥分别为160 kg·hm−2、90 kg·hm−2和90 kg·hm−2,其中100%的P肥、70%的N肥和K肥作基肥,30%的 
 N肥和K肥作追肥表 2 土壤酶的类群、功能、名称及缩写 Table 2. Groups, functions, names, and abbreviations of soil enzymes 类群 功能 酶名称 缩写 C获取 水解纤维素二糖 β-葡萄糖苷酶 BG N获取 水解几丁质 N-乙酰氨基葡萄糖苷酶 NAG 水解蛋白质和多肽 亮氨酸氨基肽酶 LAP P获取 水解磷酸多糖和磷脂 酸性磷酸酶 AP 表 3 不同利用方式下土壤理化性质 Table 3. Soil physical and chemical properties under different land use patterns 封育 刈割 牧草种植 玉米种植 有机碳 /g·kg−1 52.96 (1.98) a 45.37 (3.14) a 44.96 (3.76) a 31.74 (5.50) b 全氮/g·kg−1 4.20 (0.37) a 3.99 (0.80) a 3.12 (0.13) ab 2.45 (0.05) b 全磷/g·kg−1 1.24 (0.16) a 1.17 (0.12) a 1.09 (0.12) a 1.02 (0.02) a C/N 12.72(0.88) a 11.86 (1.80) a 14.43(1.02) a 12.95(2.26) a C/P 43.37(3.97) a 39.05(2.74) ab 41.47(1.72) ab 31.18 (5.61) b N/P 3.40 (0.14) a 3.36(0.32) a 2.90(0.22) ab 2.40 (0.02) b DOC /mg·kg−1 47.18 (7.77) a 37.66 (6.25) a 42.36 (5.69) a 37.94 (6.04) a TIN /mg·kg−1 24.49 (0.96) a 18.48 (2.76) b 24.04 (1.45) a 17.52 (1.09) b SAP /mg·kg−1 4.97 (0.21) b 5.60 (0.67) b 9.20 (0.77) a 6.03 (0.67) b MBC /mg·kg−1 718.07 (55.35) a 836.74 (40.76) a 817.69 (132.99) a 274.01 (36.26) b MBN /mg·kg−1 78.10 (8.37) a 75.80 (1.85) a 52.11 (10.58) b 12.39 (2.66) c MBP /mg·kg−1 11.17 (2.42) a 7.88 (0.95) ab 7.58 (1.24) ab 4.38 (0.68) b Soil pH 7.57 (0.16) a 7.75 (0.07) a 7.12 (0.03) b 7.45 (0.12) a 
- 
						[1] Fanin N, Moorhead D, Bertrand I. Eco-enzymatic stoichiometry and enzymatic vectors reveal differential C, N, P dynamics in decaying litter along a land-use gradient[J]. Biogeochemistry, 2016, 129(1-2): 21-36. doi: 10.1007/s10533-016-0217-5 [2] Chen H, Zheng M H, Mao Q G, Xiao K C, Wang K L, Li D J. Cropland conversion changes the status of microbial resource limitation in degraded karst soil[J]. Geoderma, 2019, 352: 197-203. doi: 10.1016/j.geoderma.2019.06.018 [3] Sinsabaugh R L, Hill B H, Follstad Shah J J. Ecoenzymatic stoichiometry of microbial organic nutrient acquisition in soil and sediment[J]. Nature, 2009, 462(7274): 795-798. doi: 10.1038/nature08632 [4] 李雅男, 李邵宇, 史世斌, 王占海, 张彬, 陈恒, 赵萌莉. 荒漠草原不同放牧强度下土壤酶化学计量特征的研究[J]. 草地学报, 2022, 30(9):2239-2248.LI Ya'nan, LI Shaoyu, SHI Shibin, WANG Zhanhai, ZHANG Bin, CHEN Heng, ZHAO Mengli. Study on soil enzyme stoichiometric characteristics of different grazing intensities in desert steppe[J]. Acta Agrestia Sinica, 2022, 30(9): 2239-2248. [5] Moorhead D L, Sinsabaugh R L, Hill B H, Weintraub M N. Vector analysis of ecoenzyme activities reveal constraints on coupled C, N and P dynamics[J]. Soil Biology and Biochemistry, 2016, 93: 1-7. doi: 10.1016/j.soilbio.2015.10.019 [6] 钟泽坤, 杨改河, 任成杰, 韩新辉. 黄土丘陵区撂荒农田土壤酶活性及酶化学计量变化特征[J]. 环境科学, 2021, 42(1):411-421.ZHONG Zekun, YANG Gaihe, REN Chengjie, HAN Xinhui. Effects of farmland abandonment on soil enzymatic activity and enzymatic stoichiometry in the loess hilly region, China[J]. Environmental Science, 2021, 42(1): 411-421. [7] 崔继文, 徐新朋, 何萍, 周卫, 朱平. 氮素有机替代对东北黑土区土壤微生物碳磷资源限制的影响[J]. 植物营养与肥料学报, 2020, 26(11):1953-1966. doi: 10.11674/zwyf.20317CUI Jiwen, XU Xinpeng, HE Ping, ZHOU Wei, ZHU Ping. Effect of organic nitrogen substitution on soil microbial resources limitation by carbon and phosphorus in black soil of Northeast China[J]. Journal of Plant Nutrition and Fertilizers, 2020, 26(11): 1953-1966. doi: 10.11674/zwyf.20317 [8] Xu Z W, Yu G R, Zhang X Y, He N P, Wang Q F, Wang S Z, Wang R L, Zhao N, Jia Y L, Wang C Y. Soil enzyme activity and stoichiometry in forest ecosystems along the North-South Transect in Eastern China (NSTEC)[J]. Soil Biology and Biochemistry, 2017, 104: 152-163. doi: 10.1016/j.soilbio.2016.10.020 [9] Cui Y X, Fang L C, Deng L, Guo X B, Han F, Ju W L, Wang X, Chen H S, Tan W F, Zhang X C. Patterns of soil microbial nutrient limitations and their roles in the variation of soil organic carbon across a precipitation gradient in an arid and semi-arid region[J]. Science of the Total Environment, 2019, 658: 1440-1451. doi: 10.1016/j.scitotenv.2018.12.289 [10] 刘丛强. 生物地球化学过程与地表物质循环[M]. 北京:科学出版社, 2009.LIU Congqiang. Biogeochemical processes and surface material circulation[M]. Beijing: Science Press, 2009. [11] 罗美, 周运超, 唐凤华. 不同植被下碳酸盐岩石发育形成土壤属性研究[J]. 中国岩溶, 2023, 42(2):277-289. doi: 10.11932/karst2022y17LUO Mei, ZHOU Yunchao, TANG Fenghua. Soil properties of carbonate rocks under different vegetation types[J]. Carsologica Sinica, 2023, 42(2): 277-289. doi: 10.11932/karst2022y17 [12] 王克林, 岳跃民, 陈洪松, 吴协保, 肖峻, 祁向坤, 张伟, 杜虎. 喀斯特石漠化综合治理及其区域恢复效应[J]. 生态学报, 2019, 39(20):7432-7440.WANG Kelin, YUE Yuemin, CHEN Hongsong, WU Xiebao, XIAO Jun, QI Xiangkun, ZHANG Wei, DU Hu. The comprehensive treatment of karst rocky desertification and its regional restoration effects[J]. Acta Ecologica Sinica, 2019, 39(20): 7432-7440. [13] 蒋忠诚, 罗为群, 童立强, 程洋, 杨奇勇, 吴泽燕, 梁建宏. 21世纪西南岩溶石漠化演变特点及影响因素[J]. 中国岩溶, 2016, 35(5):461-468.JIANG Zhongcheng, LUO Weiqun, TONG Liqiang, CHENG Yang, YANG Qiyong, WU Zeyan, LIANG Jianhong. Evolution features of rocky desertification and influence factors in karst areas of Southwest China in the 21st century[J]. Carsologica Sinica, 2016, 35(5): 461-468. [14] 张伟, 陈洪松, 苏以荣, 王克林, 林海飞, 刘坤平. 不同作物和施肥方式对新垦石灰土土壤肥力的影响[J]. 土壤通报, 2013, 44(4):925-930.ZHANG Wei, CHEN Hongsong, SU Yirong, WANG Kelin, LIN Haifei, LIU Kunping. Effects of reclamation and fertilization on calcareous soil fertility in the initial period of cultivation[J]. Chinese Journal of Soil Science, 2013, 44(4): 925-930. [15] Xiao S S, Zhang W, Ye Y Y, Zhao J, Wang K L. Soil aggregate mediates the impacts of land uses on organic carbon, total nitrogen, and microbial activity in a karst ecosystem[J]. Scientific Reports, 2017, 7: 41402. doi: 10.1038/srep41402 [16] 苏同庆, 崔婷婷, 张建兵, 罗为群, 胡宝清. 土地利用方式对广西平果喀斯特土壤碳氮磷全量与易利用组分的影响[J]. 中国岩溶, 2023, 42(2):311-320. doi: 10.11932/karst20230205SU Tongqing, CUI Tingting, ZHANG Jianbing, LUO Weiqun, HU Baoqing. Effect of land utilization patterns on total and easy-to-use components of soil carbon, nitrogen and phosphorus in the karst area of Pingguo, Guangxi[J]. Carsologica Sinica, 2023, 42(2): 311-320. doi: 10.11932/karst20230205 [17] 岳祥飞, 李衍青, 刘鹏. 广西岩溶区灌木林地凋落物–土壤碳、氮、磷化学计量特征[J]. 中国岩溶, 2023, 42(5):1106-1116. doi: 10.11932/karst2023y032YUE Xiangfei, LI Yanqing, LIU Peng. Stoichiometric characteristics of C, N and P in soil and litter of shrublands in karst areas of Guangxi[J]. Carsologica Sinica, 2023, 42(5): 1106-1116. doi: 10.11932/karst2023y032 [18] Wen L, Li D J, Yang L Q, Luo P, Chen H, Xiao K C, Song T Q, Zhang W, He X Y, Chen H S. Rapid recuperation of soil nitrogen following agricultural abandonment in a karst area, Southwest China[J]. Biogeochemistry, 2016, 129(3): 1-14. [19] 巢林, 曾鑫, 欧梦菲, 黄忻婷, 张建兵, 刘艳艳. 喀斯特山区不同土地利用方式对土壤微生物生物量、酶活性及其化学计量的影响[J]. 山地学报, 2023, 41(1):28-40.CHAO Lin, ZENG Xin, OU Mengfei, HUANG Xinting, ZHANG Jianbing, LIU Yanyan. Effects of different land use patterns on soil microbial biomass, enzyme activity and stoichiometry in the mountainous karst areas of China[J]. Mountain Research, 2023, 41(1): 28-40. [20] Chen H, Liu J W, Wang K L, Zhang W. Spatial distribution of rock fragments on steep hillslopes in karst region of northwest Guangxi, China[J]. Catena, 2011, 84(1): 21-28. [21] Yang J, Nie Y P, Chen H S, Wang S, Wang K L. Hydraulic properties of karst fractures filled with soils and regolith materials: Implication for their ecohydrological functions[J]. Geoderma, 2016, 276: 93-101. doi: 10.1016/j.geoderma.2016.04.024 [22] 肖霜霜, 叶莹莹, 张伟, 吴敏, 王克林. 干扰/利用方式对喀斯特石灰土团聚体分布及其碳氮含量的影响[J]. 生态学杂志, 2016, 35(5):1140-1146.XIAO Shuangshuang, YE Yingying, ZHANG Wei, WU Min, WANG Kelin. Carbon and nitrogen contents in calcareous soil aggregates affected by disturbance and land use in karst region, China[J]. Chinese Journal of Ecology, 2016, 35(5): 1140-1146. [23] 刘艳, 宋同清, 蔡德所, 曾馥平, 彭晚霞, 杜虎, 刘炀. 抛荒土地不同处理及利用方式对喀斯特地区土壤微生物的影响[J]. 农业工程学报, 2013, 29(23):202-210. doi: 10.3969/j.issn.1002-6819.2013.23.028LIU Yan, SONG Tongqing, CAI Desuo, ZENG Fuping, PENG Wanxia, DU Hu, LIU Yang. Effects of different treatment and utilization types after land leaving unused on soil microbial properties in karst region[J]. Transactions of the Chinese Society of Agricultural Engineering, 2013, 29(23): 202-210. doi: 10.3969/j.issn.1002-6819.2013.23.028 [24] Carter M R, Gregorich E G. Soil sampling and methods of analysis[M]. Boca Raton, USA: CRC Press, 2007. [25] Vance E D, Brookes P C, Jenkinson D S. An extraction method for measuring soil microbial biomass C[J]. Soil Biology and Biochemistry, 1987, 19(6): 703-707. doi: 10.1016/0038-0717(87)90052-6 [26] Brookes P C, Landman A, Pruden G, Jenkinson D S. Chloroform fumigation and the release of soil nitrogen: A rapid direct extraction method to measure microbial biomass nitrogen in soil[J]. Soil Biology and Biochemistry, 1985, 17(6): 837-842. doi: 10.1016/0038-0717(85)90144-0 [27] Brookes P, Powlson D, Jenkinson D. Measurement of microbial biomass phosphorus in soil[J]. Soil biology and biochemistry, 1982, 14(4): 319-329. doi: 10.1016/0038-0717(82)90001-3 [28] Chen H, Li D J, Zhao J, Zhang W, Xiao K C, Wang K L. Nitrogen addition aggravates microbial carbon limitation: Evidence from ecoenzymatic stoichiometry[J]. Geoderma, 2018, 329: 61-64. doi: 10.1016/j.geoderma.2018.05.019 [29] Allison S D, Weintraub M N, Gartner T B, Waldrop M P. Evolutionary-economic principles as regulators of soil enzyme production and ecosystem function[C]//Shukla G, Varma A. Soil enzymology. Berlin, Heidelberg: Springer Berlin Heidelberg, 2011: 229-243. [30] 李强, 漆昊, 何国兴, 张德罡, 韩天虎, 孙斌, 潘冬荣, 柳小妮. 东祁连山高寒草甸土壤酶活性及其化学计量特征对海拔和坡向的响应[J]. 水土保持学报, 2022, 36(4):357-364.LI Qiang, QI Hao, HE Guoxing, ZHANG Degang, HAN Tianhu, SUN Bin, PAN Dongrong, LIU Xiaoni. Response of soil enzymes activities and their stoichiometric characteristics to altitude and aspect of alpine meadow in eastern Qilian mountains[J]. Journal of Soil and Water Conservation, 2022, 36(4): 357-364. [31] Allison S D, Wallenstein M D, Bradford M A. Soil-carbon response to warming dependent on microbial physiology[J]. Nature Geoscience, 2010, 3(5): 336-340. doi: 10.1038/ngeo846 [32] Chen H, Li D J, Mao Q G, Xiao K C, Wang K L. Resource limitation of soil microbes in karst ecosystems[J]. Science of the Total Environment, 2019, 650: 241-248. doi: 10.1016/j.scitotenv.2018.09.036 [33] Moorhead D, Rinkes Z, Sinsabaugh R, Weintraub M. Dynamic relationships between microbial biomass, respiration, inorganic nutrients and enzyme activities: Informing enzyme-based decomposition models[J]. Frontiers in Microbiology, 2013, 4: 56126. [34] Waring B G, Weintraub S R, Sinsabaugh R L. Ecoenzymatic stoichiometry of microbial nutrient acquisition in tropical soils[J]. Biogeochemistry, 2014, 117(1): 101-113. doi: 10.1007/s10533-013-9849-x [35] Cleveland C C, Townsend A R, Schmidt S K. Phosphorus limitation of microbial processes in moist tropical forests: Evidence from short-term laboratory incubations and field studies[J]. Ecosystems, 2002, 5(7): 0680-0691. doi: 10.1007/s10021-002-0202-9 
- 
						
						  
 
			 
  
					 
							 
							 下载:
下载: 
				 
							 
							 
							 
  
												