Geochemical characteristics of spring water in Baishuitai of Yunnan and their indicative significance on climatic environment
-
摘要: 为研究岩溶地下水的水文地球化学演化特征,对云南白水台地区雨水和泉水中氢氧稳定同位素(δD、δ18O)组成和微量元素含量进行了为期近5年(2018年1月至2022年10月)以月为频率的连续监测。结果表明:(1)白水台雨水中δD、δ18O具有明显的季节性变化特征,均表现为雨季偏轻,旱季偏重,主要受到水汽来源与蒸发条件的影响;(2)白水台泉水受当地大气降水补给,其δD、δ18O经历了石灰岩基层中不同通道、裂隙网络中的新、老水混合导致的同位素调蓄平滑作用以及与深部来源CO2的氧同位素交换作用,修正性继承了雨水中δD、δ18O的部分特征;(3)泉水中Ca、Mg、Sr、Ba、Si等元素主要来源于喀斯特水体侵蚀下围岩的溶解,其含量变化可能指示了降水量的变化;而Fe、Al、Mn等元素主要来源于大气降水对上覆土壤的淋滤作用,其浓度变化可能反映了降水强度的变化。Abstract:
Understanding the geochemical characteristics and dynamic changes of groundwater (e.g., springs, etc.) is an important scientific reference for accurately interpreting the paleoclimatic and environmental information on karst deposits (e.g., stalagmites, travertine, etc.). In this study, we continuously collected local rainwater samples and S3 spring water in Baishuitai area of Yunnan Province on a monthly frequency for nearly 5 years (January 2018 to October 2022). We analyzed the temporal variations of stable isotopes of hydrogen and oxygen (δD and δ18O) compositions and trace element contents in the two types of water bodies to identify the recharge source and hydrogeochemical evolution process of Baishuitai spring water, and to reveal the source differences of trace elements in spring water and their indicative significance on climate and environment. The results showed as follows. (1) Values of stable isotope composition of rainwater in Baishuitai region of Yunnan had obvious seasonal variation characteristics—high in the dry season and low in the rainy season. This result was mainly affected by water vapor source and evaporation conditions. During the dry season, water vapor mainly came from the stable continental air mass, and the evaporation effect was strong, which resulted in the enrichment of D and 18O in the remaining water vapor mass. During the rainy season, multiple fractionation and condensation processes occurred when water vapor migrated from the sea to the land, due to the influence of the southwest monsoon and the southeast monsoon. D and 18O were severely scoured, thus making δD and δ18O light in rain during the precipitation process. (2) The stable isotopic compositions of hydrogen and oxygen in Baishuitai spring water were on or near the atmospheric precipitation line, indicating that the spring water was mainly supplied by atmospheric precipitation. During the infiltration of atmospheric precipitation into the zone of shallow circulation runoff, new and old water from different channels and fissure networks was continuously mixed to regulate and store hydrogen and oxygen isotopes in groundwater, resulting a much smaller variation amplitude of δD and δ18O in spring water than in rainfall. During the rainy season in 2018, 2019 and 2022, δD and δ18O in spring water witnessed a similar trend to δD and δ18O in rainwater with a lag of about one month, indicating that δD and δ18O in water evolved to some extent in underground runoff, so that δD and δ18O in spring water correctly inherited some of the characteristics of δD and δ18O in rainwater. The δD-δ18O scatter points of spring water in Baishuitai region all shifted to the area near the left side of the atmospheric precipitation line. This means that δ18O in spring water became lighter under the exchange of lighter oxygen isotopes with CO2 gas from deep sources, while δD basically did not change, indicating that atmospheric precipitation was fully mixed with deep source CO2 during the infiltration process. The smoothing effect of isotope regulation and storage generated by the mixing of old water, as well as the exchange of oxygen isotope with CO2 from deep sources, indicated that the Baishuitai region contains a wide spring area, numerous underground passageways and fissures, and intricate karst features. (3) The trace elements in Baishuitai spring water show two types of dynamic change characteristics. Elements such as Ca, Mg, Sr, Ba, and Si constitute one category, mainly originating from the dissolution of surrounding rocks under karst water erosion. After entering the rainy season, the water–rock interaction was weakened by the dilution of rainfall. Concentrations of these elements decreased to varying degrees in the early rainy season, and increased in the late rainy season to the transition from the rainy season to the rainy and dry season, while these concentrations stayed stable or slightly fluctuated in the dry season. The decrease in precipitation promoted the precipitation of calcium carbonate caused by degassing, which increased the values of Mg/Ca, Sr/Ca and Ba/Ca. At the same time, water within the fractures between soil and bedrock was less disturbed by fresh water inputs. This reduction in the rate of water migration enhanced the interaction between water and rock, resulting in a preferential leaching of elements such as Sr and Ba. The consequent differential changes in the concentrations of these elements suggest that variations in their levels could be indicative of shifts in precipitation patterns. Elements like Fe, Al, and Mn constitute another category, primarily originating from the leaching effects of atmospheric precipitation on the overlying soil. The occurrence of peaks in these elements during the rainy season corresponds to periods of heavy annual precipitation, while peaks observed in the dry season may be associated with the pulse-like action triggered by a single instance of heavy precipitation. -
Key words:
- hydrogen and oxygen stable isotopes /
- trace element /
- spring water /
- travertine /
- Baishuitai of Yunnan
-
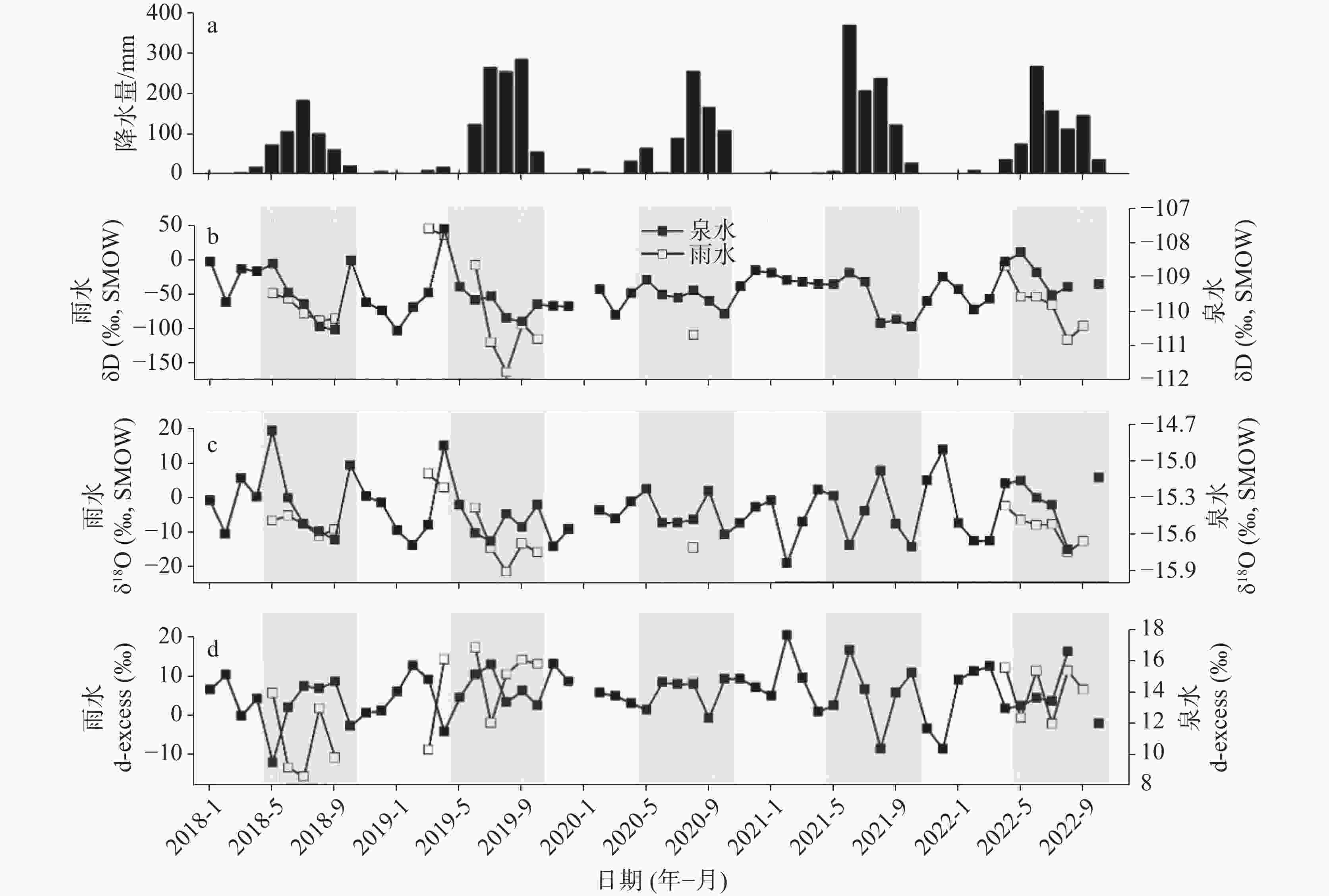
图 2 2018—2022年白水台地区雨水与S3号泉水氢氧稳定同位素动态变化趋势图
a. 丽江站站点月平均降水量 b. δD c. δ18O d. 氘盈余(d-excess)注:阴影部分代表雨季(5-10月),2020年1月数据缺失是由于该月未采样。
Figure 2. Dynamic trend of hydrogen and oxygen stable isotopes of rainwater and S3 spring water in the Baishuitai region from 2018 to 2022
a. average monthly precipitation of Lijiang station b. δD c. δ18O d. deuterium excess (d-excess). Note: Shaded portion indicates the rainy season from May to October; the date of January, 2020 is absent because samples were not collected.
图 3 云南白水台地区雨水、泉水δD-δ18O关系图
a.白水台雨水线与全球、昆明雨水线对比 b. 图(a)中方框部分放大图,箭头为泉水δD、δ18O相对于白水台雨水线的偏移方向
Figure 3. δD-δ18O relationship between rain water and spring water in Baishuitai, Yunnan Province
a. Comparison of Baishuitai rainwater line with global rainwater line and Kunming rainwater line; b is the enlarged picture of box portion in figure (a), and the arrow indicates the deviation direction of δD and δ18O of spring water relative to the rainwater line of Baishuitai.
图 4 2018-2022年云南白水台S3号泉泉水微量元素动态变化趋势图
a. 丽江站站点月平均降水量 b. Ca c. Mg d. Sr e. Ba f. Si g. Na h. K i. Fe j. Mn k. Al,注:阴影部分代表雨季(5—10月) ,2020年1月数据缺失是由于该月未采样)
Figure 4. Dynamic trend of trace elements in spring water of S3 spring, Baishuitai, Yunnan, from 2018 to 2022
a. average monthly precipitation of Lijiang station; b. Ca; c. Mg; d. Sr; e. Ba; f. Si; g. Na; h. K; i. Fe; j. Mn; k. Al. Note: Shaded portion indicates the rainy season from May to October; the date of January, 2020 is absent because samples were not collected
图 7 2018-2022年云南白水台S3号泉泉水微量元素比值动态变化趋势图
((a) Mg/Ca;(b)Sr/ Ca;(c) Ba/Ca;注:黄实线为雨/旱季平均值,阴影部分代表雨季(5-10月),2020年1月数据缺失是由于该月未采样)
Figure 7. Dynamic trend of trace element ratio in S3 spring water in Baishuitai, Yunnan Province from 2018 to 2022
((a) Mg/Ca; (b)Sr/Ca; (c) Ba/Ca; Note: The yellow solid line is the average value in the rain/dry season; the shadowed portion indicates the rainy season from May to October; the data of January, 2020 is absent because smaples were not collected)
表 1 2018-2022年云南白水台雨水和泉水中常微量元素浓度分布
Table 1. Concentration distribution of normal and trace elements in rainwater and spring water of Baishuitai, Yunnan, from 2018 to 2022
元素
种类雨水(n=21) 泉水(n=55) 极小值 极大值 均值 变异系数 极小值 极大值 均值 变异系数 Ca/mg·L−1 0.00 6.65 2.71 0.77 147.56 219.07 190.20 0.07 Mg/mg·L−1 0.32 11.32 1.13 2.74 11.74 15.79 14.29 0.06 Na/mg·L−1 0.12 10.38 0.67 3.17 4.03 6.28 5.22 0.10 Si/mg·L−1 \ \ \ \ 1.32 2.54 1.80 0.15 Sr/mg·L−1 0.00 0.06 0.01 1.16 1.46 2.16 1.95 0.07 K/μg·L−1 35.56 7 361.82 1 055.81 1.74 500.21 984.13 603.85 0.12 Fe/μg·L−1 0.00 256.47 61.54 0.99 0.79 510.88 55.27 1.42 Ba/μg·L−1 0.12 200.98 33.27 1.84 43.67 69.21 62.11 0.07 Al/μg·L−1 5.32 184.24 52.59 0.89 0.00 126.57 19.39 0.96 Mn/μg·L−1 0.42 29.31 7.27 1.05 0.28 26.73 2.55 1.57 -
[1] 程海, 张海伟, 赵景耀, 李瀚瑛, 宁有丰, Gayatri Kathayat. 中国石笋古气候研究的回顾与展望[J]. 中国科学:地球科学, 2019, 49(10):1565-1589. [2] Andrews J E, Brasier A T. Seasonal records of climatic change in annually laminated tufas: Short review and future prospects[J]. Journal of Quaternary Science, 2005, 20(5): 411-421. DOI: 10.1002/jqs.942. [3] Capezzuoli E, Gandin A, Pedley M. Decoding tufa and travertine (fresh water carbonates) in the sedimentary record: The state of the art[J]. Sedimentology, 2014, 61(1): 1-21. DOI: 10.1111/sed.12075. [4] 刘再华. 表生和内生钙华的气候环境指代意义研究进展[J]. 科学通报, 2014, 59(23):2229-2239.LIU Zaihua. Research progress in paleoclimatic interpretations of tufa and travertine[J]. Chinese Science Bulletin, 2014, 59(23): 2229-2239. [5] 汪智军, 殷建军, 袁道先. 钙华在第四纪研究中的应用:以青藏高原为例[J]. 科学通报, 2018, 63(11):1012-1023.WANG Zhijun, YIN Jianjun, YUAN Daoxian. Possibilities and problems associated with travertines and tufas in Quaternary studies: A case of the Tibetan Plateau[J]. Chinese Science Bulletin, 2018, 63(11): 1012-1023. [6] 文华国, 罗连超, 罗晓彤, 游雅贤, 杜磊. 陆地热泉钙华研究进展与展望[J]. 沉积学报, 2019, 37(6):1162-1180. DOI: 10.14027/j.issn.1000-0550.2019.066.WEN Huaguo, LUO Lianchao, LUO Xiaotong, YOU Yaxian, DU Lei. Advances and prospects of terrestrial thermal spring travertine research[J]. Acta Sedimentologica Sinica, 2019, 37(6): 1162-1180. DOI: 10.14027/j.issn.1000-0550.2019.066. [7] 杜磊, 文华国, 罗连超, 董俊玲, 温龙斌, 游雅贤, 王启宇. 陆地热泉钙华:重建古气候历史信息重要载体[J]. 中国地质, 2022, 49(3):802-821.DU Lei, WEN Huaguo, LUO Lianchao, DONG Junling, WEN Longbin, YOU Yaxian, WANG Qiyu. Terrestrial hot spring travertine: An important window into paleoclimate reconstruction[J]. Geology in China, 2022, 49(3): 802-821. [8] 高竞. 地下热水钙华沉积的水化学影响因素和热水钙华微层的气候环境指示意义[D]. 北京:中国地质大学(北京), 2013.GAO Jing. Hydrochemical control factors of travetine precipitation and the significance of laminated travetine as a rchives of climate and environment[D]. Beijing: China University of Geosciences (Beijing), 2013. [9] 刘再华, 孙海龙, 晏浩. 钙华探秘[M]. 北京:科学出版社, 2016.LIU Zaihua, SUN Hailong, YAN Hao. Travertine investigations[M]. Beijing: Science Press, 2016. [10] Liu Z H, Sun H L, Lu B Y, Liu X L, Ye W B, Zeng C. Wet-dry seasonal variations of hydrochemistry and carbonate precipitation rates in a travertine-depositing canal at Baishuitai, Yunnan, SW China: Implications for the formation of biannual laminae in travertine and for climatic reconstruction[J]. Chemical Geology, 2010, 273(3): 258-266.Liu Z H, Sun H L, Lu B Y, Liu X L, Ye W B, Zeng C. Wet-dry seasonal variations of hydrochemistry and carbonate precipitation rates in a travertine-depositing canal at Baishuitai, Yunnan, SW China: Implications for the formation of biannual laminae in travertine and for climatic reconstruction[J]. Chemical Geology, 2010, 273(3): 258-266. [11] Sun H L, Liu Z H. Wet-dry seasonal and spatial variations in the δ13C and δ18O values of the modern endogenic travertine at Baishuitai, Yunnan, SW China and their paleoclimatic and paleoenvironmental implications[J]. Geochimica et Cosmochimica Acta, 2010, 74(3): 1016-1029. [12] Yan H, Liu Z H, Sun H L. Effect of in-stream physicochemical processes on the seasonal variations in δ13C and δ18O values in laminated travertine deposits in a mountain stream channel[J]. Geochimica et Cosmochimica Acta, 2017, 202: 179-189. [13] Xu H Y, Miyahara H, Horiuchi K, Matsuzaki H. High-resolution records of 10Be in endogenic travertine from Baishuitai, China: A new proxy record of annual solar activity?[J]. Quaternary Science Reviews, 2019, 216: 34-46.Xu H Y, Miyahara H, Horiuchi K, Matsuzaki H. High-resolution records of 10Be in endogenic travertine from Baishuitai, China: A new proxy record of annual solar activity?[J]. Quaternary Science Reviews, 2019, 216: 34-46. [14] Miyahara H, Horiuchi K, Sakashita W, Matsuzaki H, Xu H Y, Zhou L M. Measurement of beryllium-10 in terrestrial carbonate deposits from South China: A pilot study[J]. Nuclear Instruments and Methods in Physics Research Section B: Beam Interactions with Materials and Atoms, 2020, 464: 36-40.Miyahara H, Horiuchi K, Sakashita W, Matsuzaki H, Xu H Y, Zhou L M. Measurement of beryllium-10 in terrestrial carbonate deposits from South China: A pilot study[J]. Nuclear Instruments and Methods in Physics Research Section B: Beam Interactions with Materials and Atoms, 2020, 464: 36-40. [15] Zhang L Y, Fang M, Sun H L, Hou X L, Cai Y J, Liu Q, Chen N, Zhang T, Li T, Zhang Z Y, Liu Y X. Analysis of iodine isotopes in travertine from Baishuitai, Yunnan Province, China[J]. Atomic Spectroscopy, 2020, 41(5): 181-187.Zhang L Y, Fang M, Sun H L, Hou X L, Cai Y J, Liu Q, Chen N, Zhang T, Li T, Zhang Z Y, Liu Y X. Analysis of iodine isotopes in travertine from Baishuitai, Yunnan Province, China[J]. Atomic Spectroscopy, 2020, 41(5): 181-187. [16] Wang F, Chen H S, Lian J J, Fu Z Y, Nie Y P. Seasonal recharge of spring and stream waters in a karst catchment revealed by isotopic and hydrochemical analyses[J]. Journal of Hydrology, 2020, 591: 125595.Wang F, Chen H S, Lian J J, Fu Z Y, Nie Y P. Seasonal recharge of spring and stream waters in a karst catchment revealed by isotopic and hydrochemical analyses[J]. Journal of Hydrology, 2020, 591: 125595. [17] Liu Z, Zhang M, Li Q, You S. Hydrochemical and isotope characteristics of spring water and travertine in the Baishuitai area (SW China) and their meaning for paleoenvironmental reconstruction[J]. Environmental Geology, 2003, 44(6): 698-704.Liu Z, Zhang M, Li Q, You S. Hydrochemical and isotope characteristics of spring water and travertine in the Baishuitai area (SW China) and their meaning for paleoenvironmental reconstruction[J]. Environmental Geology, 2003, 44(6): 698-704. [18] 孙海龙, 刘再华, 吕保樱, 叶文炳, 刘香玲, 曾成, 王海静. 云南白水台雨水线及钙华δ~(18)O的季节和空间变化特征[J]. 地球化学, 2008, 37(6):542-548.SUN Hailong, LIU Zaihua, LYU Baoying, YE Wenbing, LIU Xiangling, ZENG Cheng, WANG Haijing. Meteoric water line and spatiotemporal change in δ18O of the travertine in Baishuitai area[J]. Geochimica, 2008, 37(6): 542-548. [19] 吕保樱. 钙华沉积的地球化学指标及其环境控制因子的研究[D].桂林: 广西师范大学, 2007.LYU Baoying. Study on the geochemical variations during deposition of travertine and their controlling mechanisms[D]. Guilin:Guangxi Normal University, 2007. [20] 赵希涛, 李松林, 和尚礼. 中国白水台[M]. 北京:中国旅游出版社, 1998. [21] 程建刚, 解明恩. 近50年云南区域气候变化特征分析[J]. 地理科学进展, 2008(5):19-26.CHENG Jiangang, XIE Ming'en. The analysis of regional climate change features over Yunnan in recent 50 years[J]. Progress in Geography, 2008(5): 19-26. [22] 马涛, 刘九夫, 张建云, 王国庆, 贺瑞敏, 刘宏伟, 刘翠善. 氢氧同位素测试分析的记忆效应及标定研究[J]. 水文, 2015, 35(1):26-32, 67.MA Tao, LIU Jiufu, ZHANG Jianyun, WANG Guoqing, HE Ruimin, LIU Hongwei, LIU Cuishan. Memory effects and post-processing methods in hydrogen and oxygen isotope determination[J]. Journal of China Hydrology, 2015, 35(1): 26-32, 67. [23] 卫克勤, 林瑞芬. 论季风气候对我国雨水同位素组成的影响[J]. 地球化学, 1994, 23(1):33-41.WEI Keqin, LIN Ruifen. The influence of the monsoon climate on the isotopic composition of precipitation in China[J]. Geochimica, 1994, 23(1): 33-41. [24] 章新平, 刘晶淼, 孙维贞, 黄一民, 张剑明. 中国西南地区降水中氧稳定同位素比率与相关气象要素之间关系的研究[J]. 中国科学D辑:地球科学, 2006, 36(9):850-859. [25] Craig H. Isotopic variations in meteoric waters[J]. Science, 1961, 133(3465): 1702-1703. [26] 朱秀勤, 范弢, 官威. 昆明大气降水稳定同位素分析[J]. 云南地理环境研究, 2013, 25(5):90-95.ZHU Xiuqin, FAN Tao, GUAN Wei. The analysis of stable isotopes of precipitation in Kunming[J]. Yunnan Geographic Environment Research, 2013, 25(5): 90-95. [27] Palcsu L, Gessert A, Túri M, Kovács A, Futó I, Orsovszki J, Puskás Preszner A, Temovski M, Koltai G. Long-term time series of environmental tracers reveal recharge and discharge conditions in shallow karst aquifers in Hungary and Slovakia[J]. Journal of Hydrology: Regional Studies, 2021, 36: 100858.Palcsu L, Gessert A, Túri M, Kovács A, Futó I, Orsovszki J, Puskás Preszner A, Temovski M, Koltai G. Long-term time series of environmental tracers reveal recharge and discharge conditions in shallow karst aquifers in Hungary and Slovakia[J]. Journal of Hydrology: Regional Studies, 2021, 36: 100858. [28] 赵春红, 申豪勇, 王志恒, 梁永平, 赵一, 谢浩, 唐春雷. 汾河流域地表水水化学同位素特征及其影响因素[J]. 环境科学, 2022, 43(10):4440-4448.ZHAO Chunhong, SHEN Haoyong, WANG Zhiheng, LIANG Yongping, ZHAO Yi, XIE Hao, TANG Chunlei. Hydrochemical and isotopic characteristics in the surface water of the Fenhe river basin and influence factors[J]. Environmental Science, 2022, 43(10): 4440-4448. [29] 顾慰祖, 庞忠和, 王全九. 同位素水文学[M]. 北京:科学出版社, 2011. [30] 刘子金, 袁代江, 武兴亮, 张磊, 潘长贵. 贵州三岔河中游左岸鸡场一带岩溶地下水运移特征分析[J]. 资源环境与工程, 2015, 29(5):685-691.LIU Zijin, YUAN Daijiang, WU Xingliang, ZHANG Lei, PAN Changgui. Analysis of karst groundwater migration characteristics near the Jichang area on the left bank of mid stream within Shanchanhe, Guizhou[J]. Resources Environment & Engineering, 2015, 29(5): 685-691. [31] Trček B. How can the epikarst zone influence the karst aquifer hydraulic behaviour?[J]. Environmental Geology, 2007, 51(5): 761-765. [32] 王宇, 王梓溦. 岩溶地下水富集的地貌组合形态[J]. 中国岩溶, 2015, 34(4):314-324.WANG Yu, WANG Ziwei. Patterns of karst geomorphologic combinations in areas with rich groundwater[J]. Carsologica Sinica, 2015, 34(4): 314-324. [33] Zhang L, Guo L S, Zhou X C, Yang Y, Shi D Y, Liu Y W. Temporal variations in stable isotopes and synchronous earthquake-related changes in hot springs[J]. Journal of Hydrology, 2021, 599: 126316.Zhang L, Guo L S, Zhou X C, Yang Y, Shi D Y, Liu Y W. Temporal variations in stable isotopes and synchronous earthquake-related changes in hot springs[J]. Journal of Hydrology, 2021, 599: 126316. [34] Lang Y C, Liu C Q, Zhao Z Q, Li S L, Han G L. Geochemistry of surface and ground water in Guiyang, China: Water/rock interaction and pollution in a karst hydrological system[J]. Applied Geochemistry, 2006, 21(6): 887-903.Lang Y C, Liu C Q, Zhao Z Q, Li S L, Han G L. Geochemistry of surface and ground water in Guiyang, China: Water/rock interaction and pollution in a karst hydrological system[J]. Applied Geochemistry, 2006, 21(6): 887-903. [35] 李严, 王家乐, 靳孟贵, 马河宽, 柳浩然, 彭涛. 运用水文时间序列分析识别济南泉域岩溶发育特征[J]. 地球科学, 2021, 46(7):2583-2593.LI Yan, WANG Jiale, JIN Menggui, MA Hekuan, LIU Haoran, PENG Tao. Hydrodynamic characteristics of Jinan karst spring system identified by hydrologic time-series data[J]. Earth Science, 2021, 46(7): 2583-2593. [36] 刘再华, 游省易, 李强, 张美良. 云南白水台钙华景区的水化学和碳氧同位素特征及其在古环境重建研究中的意义[J]. 第四纪研究, 2002(5):459-467.LIU Zaihua, YOU Shengyi, LI Qiang, ZHANG Meiliang. Hydrochemical and isotopic characteristics of tufa in the Baishuitai scenic area of Yunnan and their implications for paleoenvironment reconstruction[J]. Quaternary Sciences, 2002(5): 459-467. [37] 陆求裕, 杨涛, 廖少波. 水化学特征在岩溶水系统分析中的应用:以山西晋城长河流域岩溶水系统为例[J]. 地下水, 2008(5):15-17, 24.LU Qiuyu, YANG Tao, LIAO Shaobo. Application of karstic water hydrochemical characteristics in karst water system: A case study of Changhe karst water system[J]. Ground Water, 2008(5): 15-17, 24. [38] 刘香玲, 舒丽, 何平荣, 孙海龙, 周莉. 云南白水台泉华台地土壤理化性质初步研究[J]. 江西农业学报, 2007(9):91-93, 99.LIU Xiangling, SHU Li, HE Pingrong, SUN Hailong, ZHOU Li. Preliminary study on physical and chemical properties of soil in Baishuitai Sinter platform of northwestern Yunnan[J]. Acta Agriculturae Jiangxi, 2007(9): 91-93, 99. [39] 王宇. 岩溶高原地下水径流系统垂向分带[J]. 中国岩溶, 2018, 37(1):1-8. doi: 10.11932/karst20180101WANG Yu. Vertical zoning of groundwater runoff system in karst plateau[J]. Carsologica Sinica, 2018, 37(1): 1-8. doi: 10.11932/karst20180101 [40] Facchinelli A, Sacchi E, Mallen L. Multivariate statistical and GIS-based approach to identify heavy metal sources in soils[J]. Environmental Pollution, 2001, 114(3): 313-324. [41] Huang Y, Li T Q, Wu C X, He Z L, Japenga J, Deng M, Yang X. An integrated approach to assess heavy metal source apportionment in peri-urban agricultural soils[J]. Journal of Hazardous Materials, 2015, 299: 540-549.Huang Y, Li T Q, Wu C X, He Z L, Japenga J, Deng M, Yang X. An integrated approach to assess heavy metal source apportionment in peri-urban agricultural soils[J]. Journal of Hazardous Materials, 2015, 299: 540-549. [42] Li F, Huang J H, Zeng G M, Yuan X Z, Li X D, Liang J, Wang X Y, Tang X J, Bai B. Spatial risk assessment and sources identification of heavy metals in surface sediments from the Dongting lake, Middle China[J]. Journal of Geochemical Exploration, 2013, 132: 75-83.Li F, Huang J H, Zeng G M, Yuan X Z, Li X D, Liang J, Wang X Y, Tang X J, Bai B. Spatial risk assessment and sources identification of heavy metals in surface sediments from the Dongting lake, Middle China[J]. Journal of Geochemical Exploration, 2013, 132: 75-83. [43] 杨平恒, 袁道先, 袁文昊, 旷颖仑, 贾鹏, 贺秋芳. 以PCA揭示降雨期间岩溶地下水文地球化学的形成[J]. 科学通报, 2010, 55(9):788-797. [44] Claes H, Huysmans M, Soete J, Dirix K, Vassilieva E, Erthal M M, Vandewijngaerde W, Hamaekers H, Aratman C, Özkul M, Swennen R. Elemental geochemistry to complement stable isotope data of fossil travertine: Importance of digestion method and statistics[J]. Sedimentary Geology, 2019, 386: 118-131.Claes H, Huysmans M, Soete J, Dirix K, Vassilieva E, Erthal M M, Vandewijngaerde W, Hamaekers H, Aratman C, Özkul M, Swennen R. Elemental geochemistry to complement stable isotope data of fossil travertine: Importance of digestion method and statistics[J]. Sedimentary Geology, 2019, 386: 118-131. [45] Fairchild I J, Treble P C. Trace elements in speleothems as recorders of environmental change[J]. Quaternary Science Reviews, 2009, 28(5-6): 449-468. [46] Gaillardet J, Dupre B, Allegre C J, Négrel P. Chemical and physical denudation in the Amazon River Basin[J]. Chemical Geology, 1997, 142(3): 141-173.Gaillardet J, Dupre B, Allegre C J, Négrel P. Chemical and physical denudation in the Amazon River Basin[J]. Chemical Geology, 1997, 142(3): 141-173. [47] Riechelmann D F C, Riechelmann S, Schröder Ritzrau A. Long-term elemental trends in drip waters from monitoring Bunker Cave: New insights for past precipitation variability[J]. Chemical Geology, 2022, 590: 120704. [48] Riechelmann S, Schröder Ritzrau A, Wassenburg J A, Schreuer J, Richter D K, Riechelmann D F C, Terente M, Constantin S, Mangini A, Immenhauser A. Physicochemical characteristics of drip waters: Influence on mineralogy and crystal morphology of recent cave carbonate precipitates[J/OL]. Geochimica et Cosmochimica Acta, 2014, 145: 13-29. DOI: 10.1016/j.gca.2014.09.019.Riechelmann S, Schröder Ritzrau A, Wassenburg J A, Schreuer J, Richter D K, Riechelmann D F C, Terente M, Constantin S, Mangini A, Immenhauser A. Physicochemical characteristics of drip waters: Influence on mineralogy and crystal morphology of recent cave carbonate precipitates[J/OL]. Geochimica et Cosmochimica Acta, 2014, 145: 13-29. DOI: 10.1016/j.gca.2014.09.019. [49] Xu S, Lang Y C, Zhong J, Xiao M, Ding H. Coupled controls of climate, lithology and land use on dissolved trace elements in a karst river system[J]. Journal of Hydrology, 2020, 591: 125328.Xu S, Lang Y C, Zhong J, Xiao M, Ding H. Coupled controls of climate, lithology and land use on dissolved trace elements in a karst river system[J]. Journal of Hydrology, 2020, 591: 125328. [50] 彭玲莉, 李廷勇. 岩溶洞穴滴水环境监测研究进展[J]. 中国岩溶, 2012, 31(3):316-326.PENG Lingli, LI Tingyong. Research progress of monitoring for dripping water environment in karst caves[J]. Carsologica Sinica, 2012, 31(3): 316-326. [51] 李渊, 刘子琦, 吕小溪. 喀斯特洞穴体系元素迁移及环境指示研究进展[J]. 中国岩溶, 2016, 35(3):322-331.LI Yuan, LIU Ziqi, LYU Xiaoxi. Review of research on element migration and environmental indicators in karst cave systems[J]. Carsologica Sinica, 2016, 35(3): 322-331. [52] 马源, 殷建军, 袁道先. 洞穴滴水、石笋中元素及元素比值对气候环境变化响应的研究进展[J]. 地质论评, 2022, 68(5):1897-1911.MA Yuan, YIN Jianjun, YUAN Daoxian. Research progress on response of elements and their ratios in cave drip water and speleothems to climate and environmental change[J]. Geological Review, 2022, 68(5): 1897-1911. [53] Mcdonald J, Drysdale R, Hill D, Chisari R, Wong H. The hydrochemical response of cave drip waters to sub-annual and inter-annual climate variability, Wombeyan Caves, SE Australia[J]. Chemical Geology, 2007, 244(3): 605-623.Mcdonald J, Drysdale R, Hill D, Chisari R, Wong H. The hydrochemical response of cave drip waters to sub-annual and inter-annual climate variability, Wombeyan Caves, SE Australia[J]. Chemical Geology, 2007, 244(3): 605-623. [54] Day C C, Henderson G M. Controls on trace-element partitioning in cave-analogue calcite[J]. Geochimica et Cosmochimica Acta, 2013, 120: 612-627. [55] 张彧齐. 云南思茅盆地泉水水文地球化学特征及成因研究[D]. 北京:中国地质大学(北京), 2020.ZHANG Yuqi. Hydrogeochemical characteristics and genesis of the springs in the Simao basin of Yunnan[D]. Beijing: China University of Geosciences (Beijing), 2020. [56] 陈雪彬, 杨平恒, 蓝家程, 莫雪, 师阳. 降雨条件下岩溶地下水微量元素变化特征及其环境意义[J]. 环境科学, 2014, 35(1):123-130.CHEN Xuebin, YANG Pingheng, LAN Jiacheng, MO Xue, SHI Yang. Variation characteristics and environmental significant of trace elements under rainfall condition in karst groundwater[J]. Environmental Science, 2014, 35(1): 123-130. [57] Zhou H Y, Greig A, Tang J, You C F, Yuan D X, Tong X N, Huang Y. Rare earth element patterns in a Chinese stalagmite controlled by sources and scavenging from karst groundwater[J]. Geochimica et Cosmochimica Acta, 2012, 83: 1-18.Zhou H Y, Greig A, Tang J, You C F, Yuan D X, Tong X N, Huang Y. Rare earth element patterns in a Chinese stalagmite controlled by sources and scavenging from karst groundwater[J]. Geochimica et Cosmochimica Acta, 2012, 83: 1-18. [58] Hartland A, Fairchild I J, Lead J R, Borsato A, Bake A, Frisia S, Baalousha M. From soil to cave: Transport of trace metals by natural organic matter in karst dripwaters[J]. Chemical Geology, 2012, 304-305: 68-82.Hartland A, Fairchild I J, Lead J R, Borsato A, Bake A, Frisia S, Baalousha M. From soil to cave: Transport of trace metals by natural organic matter in karst dripwaters[J]. Chemical Geology, 2012, 304-305: 68-82. -
下载: