Effects of short-term planting of sugar orange on soil gross nitrogen conversion in karst area
-
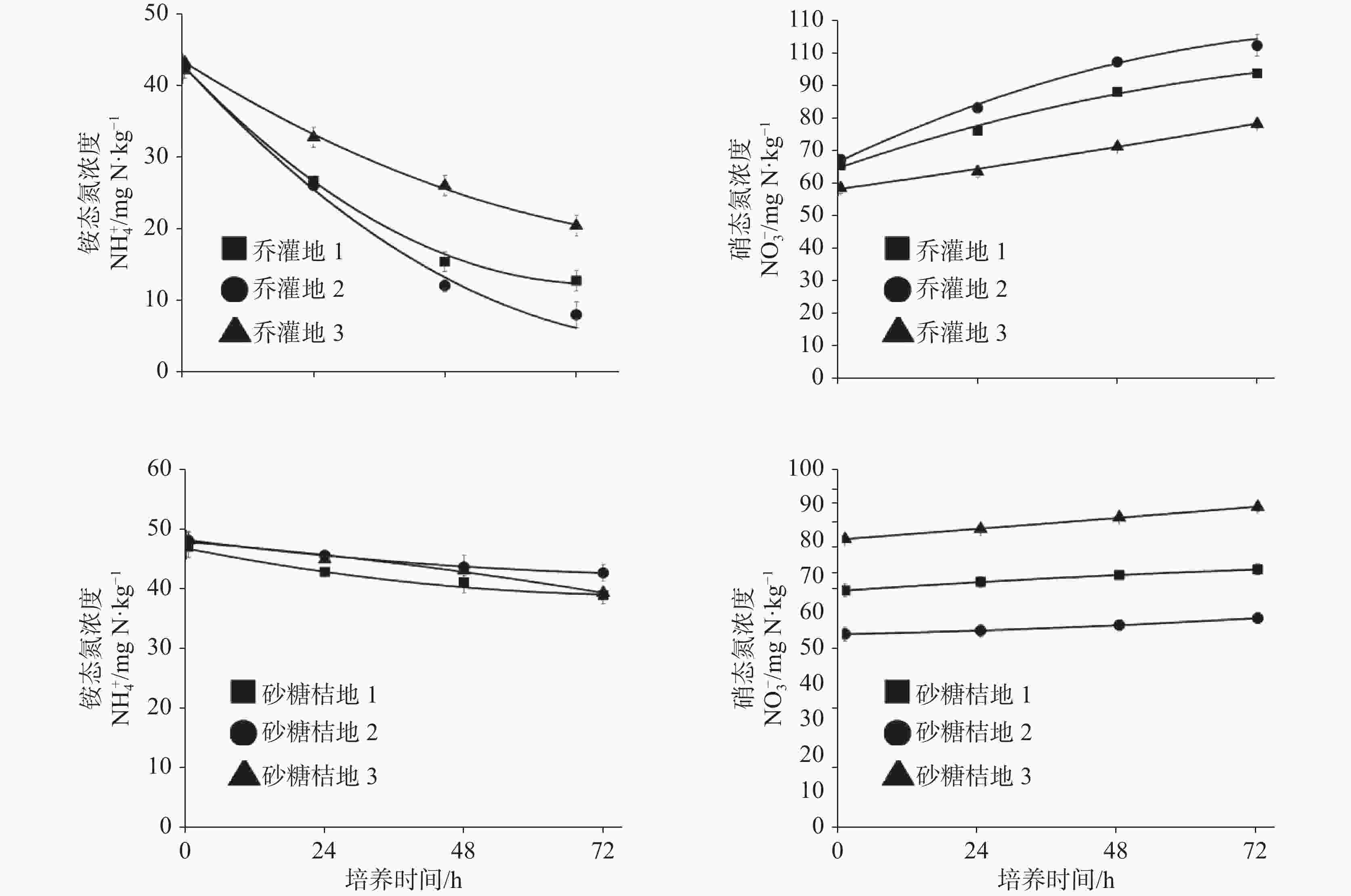
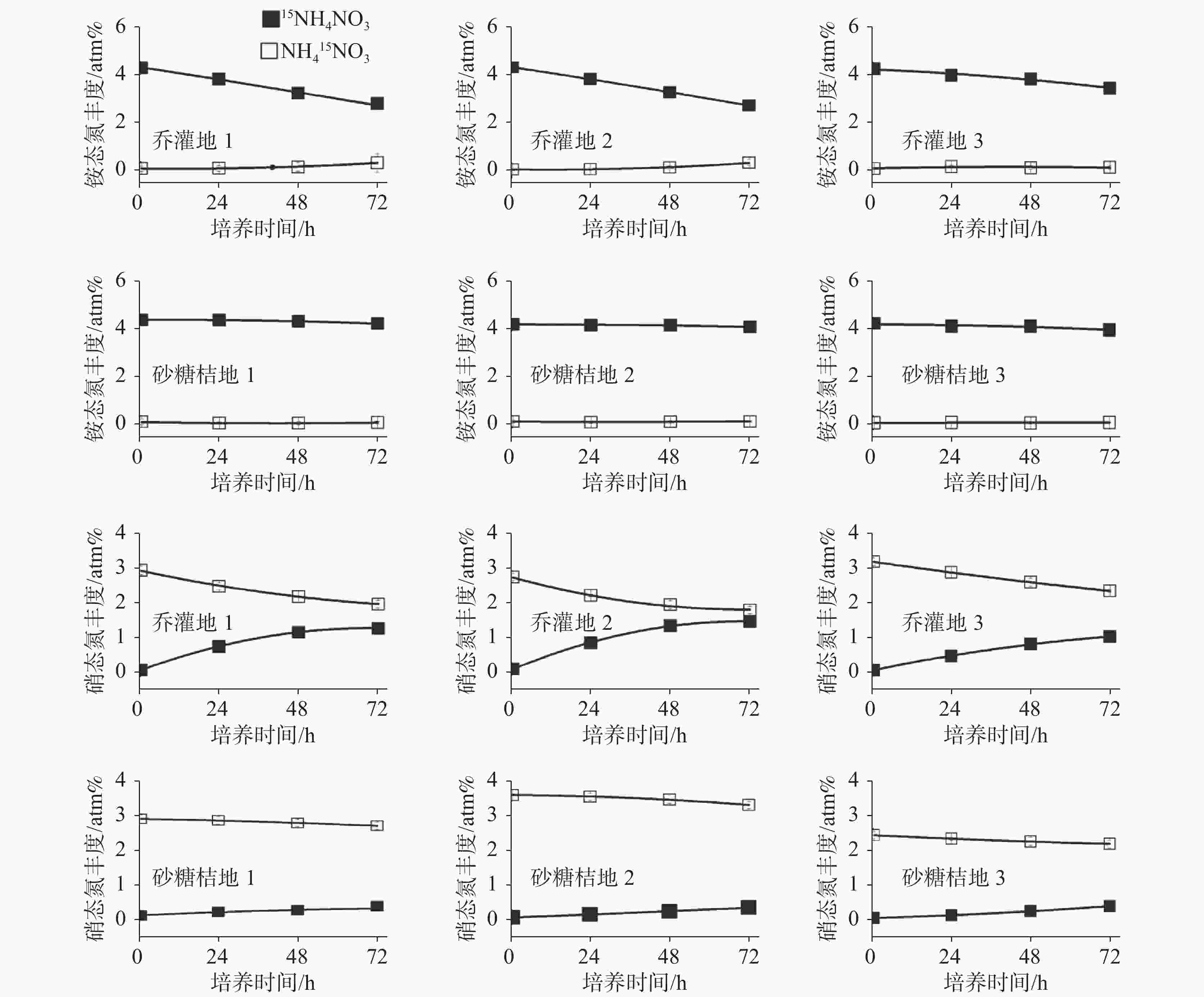
摘要: 利用15N同位素成对标记法并结合MCMC数值模型,研究岩溶区乔灌地开垦种植砂糖桔4年后土壤氮转化特征。结果显示:乔灌地开垦种植砂糖桔后,土壤有机氮矿化速率由2.93 mg N·kg−1·d−1显著下降至0.60 mg N·kg−1·d−1,土壤无机氮的供应能力降低,土壤有机氮矿化速率与土壤有机碳、全氮和全钙含量呈显著正相关性,与铁、铝、钾和黏粒比例呈显著负相关性;土壤铵态氮微生物同化速率由1.76 mg N·kg−1·d−1显著降低为0.10 mg N·kg−1· d−1,在砂糖桔地铵态氮微生物同化速率与有机氮矿化速率的比值仅为0.17。乔灌地土壤自养硝化速率高达11.06 mg N·kg−1·d−1,而硝态氮微生物同化作用微弱,硝态氮异化还原速率仅为0.64 mg N·kg−1·d−1,导致硝态氮净产生速率达到10.42 mg N·kg−1·d−1。由于土壤铵态氮浓度的降低和施肥导致土壤酸化不利于硝化细菌的活动,自养硝化速率显著降低至1.68 mg N·kg−1·d−1。岩溶区乔灌地开垦种植砂糖桔4年后土壤氮转化速率呈下降趋势。Abstract:
The soil developed from carbonatite is rich in calcium and magnesium, with high pH and heavy soil viscosity in karst area. Therefore, the nitrogen conversion process of calcareous soil in karst area is different from other zonal soil. The study area is a typical karst area. With a subtropical monsoon climate in this area, its annual temperature, precipitation and evaporation averages 19.8 ℃, 1,860 mm, and 1,038-1,566 mm, respectively. The rainy season mainly occurs from April to July. Because the study area is mainly covered with hills, thus leading to soil shortage. In order to alleviate poverty, local people reclaim hillsides to plant sugar oranges to increase economic income, during which the change of land use will affect the process of soil nitrogen conversion. The study of soil nitrogen conversion process under different land use modes is of great significance for understanding soil nitrogen cycle, evaluating soil nitrogen supply capacity and availability, and guiding crop planting. However, there are few studies on soil nitrogen conversion of sugar oranges in karst area. In this paper, the 15N tracing technique combined with MCMC numerical model was used to study the conversion of soil gross nitrogen and its influencing factors in the karst area where arbor-bush have been converted to sugar oranges for 4 years. This study aims to provide a scientific basis for soil nitrogen supply capacity and ecological environment evaluation in karst area. The results showed that the mineralization rate of organic nitrogen decreased significantly from 2.93 mg N·kg−1· d−1 to 0.60 mg N·kg−1 d−1 during the conversion of arbor-bush to sugar orange. The mineralization rate of organic nitrogen showed a significant positive correlation with soil organic carbon, total nitrogen and calcium content, and a negative correlation with iron, aluminum, potassium and the proportion of clay. The ammonium nitrogen assimilation rate by microorganism significantly reduced from 1.76 mg N·kg−1· d−1 to 0.10 mg N·kg−1· d−1, and the ratio of ammonium nitrogen assimilation rate by microorganism to the mineralization rate of organic nitrogen was 0.17 in the soil of sugar orange. The autotrophic nitrification rate was as high as 11.06 mg N·kg−1·d−1 in the soil of arbor-bush, while the rate of nitrate dissimilation reduction was only 0.64 mg N·kg−1·d−1 in which the nitrate nitrogen microbial assimilation hardly occurred, resulting in the net nitrate production rate of 10.42 mg N·kg−1·d−1. The autotrophic nitrification rate significantly reduced to 1.68 mg N·kg−1·d−1 due to the decrease of soil ammonium concentration and soil acidification caused by fertilizer application. The heterotrophic nitrification rate hardly occurs, and inorganic nitrogen supply capacity is mainly determined by organic nitrogen mineralization rate in karst area. The mineralization rate of organic nitrogen decreased significantly, and the soil inorganic nitrogen supply capacity was weakened during the conversion of arbor-bush to sugar orange. The soil organic nitrogen mineralization rate was related to the content of organic carbon and total nitrogen and agricultural management measures. Since the use of nitrogen fertilizer accelerated soil acidification, the release of iron and aluminum in soil affected the activity and quantity of microorganisms, which resulted in the decrease of soil organic nitrogen mineralization rate. The assimilation rate of ammonium nitrogen significantly decreased and the retention ability of soil nitrogen was weakened in karst area. The rate of autotrophic nitrification decreased significantly, and the net rate of nitrate nitrogen production decreased after the land use change. In general, soil nitrogen retention capacity was poor in karst area. Due to the reduction of nitrification substrate in agricultural activities, the leaching risk of soil nitrate nitrogen is weakened, which led to the weakening of soil nitrogen supply capacity. -
Key words:
- karst areas /
- land use /
- 15N tracing /
- gross nitrogen conversion
-
图 2 氮素转化模型[15]
Figure 2. 15N tracing model used for data analysis
图 5 乔灌地和砂糖桔地土壤氮初级转化速率(数据来源[16])
注:不同字母表示乔灌地和砂糖桔地土壤同一初级转化速率差异性显著(P<0.05)。
Figure 5. Gross N conversion rates in the soil of arbor-bush land and sugar orange land
表 1 乔灌地和砂糖桔地土壤的基本理化性质
Table 1. Physical and chemical properties of the soil in arbor-bush land and sugar orange land
指标 乔灌地 砂糖桔地 有机碳/g C·kg−1 89.4±10.8A 31.6±8.8B 全氮/g N·kg−1 7.28±0.75A 2.77±0.64B C/N 12.26±0.57A 11.33±0.60A 铵态氮 /mg N·kg−1 3.38±0.00A 6.47±2.68A 硝态氮/ mg N·kg−1 21.86±3.84A 24.76±10.70A WHC/% 1.25±0.09A 0.88±0.04B pH 7.18±0.25A 5.91±0.25B CEC/cmol·kg−1 41.5±2.79A 21.6±2.79B 全钙/g·kg−1 15.37±1.55A 5.11±1.24B 全铁/g·kg−1 65.8±9.4B 83.5±2.4A 全铝/g·kg−1 98.6±1.1B 151.5±0.5A 全磷/g·kg−1 0.93±0.09A 0.69±0.14A 全钾/g·kg−1 7.37±0.97B 10.97±1.50A 黏粒比例(<2 µm)/% 29.0±5.9B 46.0±1.9A 粉粒比例(2~50 µm)/% 54.8±6.1A 44.0±0.2B 砂粒比例(50~2 000 µm)/% 16.3±0.3A 10.0±1.7B 注:同行中不同大写字母表示乔灌地和砂糖桔地土壤之间各指标差异达显著水平(P<0.05)。 表 2 土壤的理化性质与氮初级转化速率的相关性
Table 2. Correlations between soil physical and chemical properties and gross N conversion rates
成分及性质 MNorg INH4 ONH4 ANH4 RNH4a DNO3 有机碳 0.91* 0.92** 0.90* 0.63 0.73 0.55 全氮 0.94** 0.90* 0.93** 0.68 0.78 0.61 C/N 0.55 0.86* 0.52 0.23 0.22 0.16 pH 0.96** 0.78 0.90* 0.86* 0.94** 0.80 CEC 0.90* 0.94** 0.87* 0.64 0.76 0.56 WHC 0.86** 0.95** 0.85* 0.55 0.70 0.46 全磷 0.77 0.67 0.67 0.77 0.54 0.75 全钾 −0.81* −0.88* −0.78 −0.49 −0.61 −0.43 全钙 0.97** 0.87* 0.95** 0.74 0.85* 0.67 全铝 −0.94** −0.92** −0.90* −0.74 −0.83* −0.67 全铁 −0.98** −0.58 −0.97** −0.88* −0.95** −0.85* 黏粒比例(<2 µm) −0.94** −0.77 −0.98** −0.72 −0.86* −0.65 粉粒比例(2~50 µm) 0.92** 0.65 0.98** 0.68 0.85* 0.62 砂粒比例(50~2 000 µm) 0.84* 0.90* 0.83* 0.69 0.75 0.61 注:*表示在0.05水平上相关性显著;**表示在0.01水平上相关性显著。 -
[1] Elser J J, Bracken M E S, Cleland E E, Gruner D S, Harpole W S, Hillebrand H, Ngai J T, Seabloom E W, Shurin J B, Smith J E. Global analysis of nitrogen and phosphorus limitation of primary producers in freshwater, marine and terrestrial ecosystems[J]. Ecology Letters, 2007, 10(12):1135-1142. doi: 10.1111/j.1461-0248.2007.01113.x [2] 肖好燕, 刘宝, 余再鹏, 万晓华, 桑昌鹏, 周富伟, 黄志群. 亚热带不同林分土壤矿质氮库及氮矿化速率的季节动态[J]. 应用生态学报, 2017, 28(3):730-738.XIAO Haoyan, LIU Bao, YU Zaipeng, WAN Xiaohua, SANG Changpeng, ZHOU Fuwei, HUANG Zhiqun. Seasonal dynamics of soil mineral nitrogen pools and nitrogen mineralization rate in different forests in subtropical China[J]. Chinese Journal of Applied Ecology, 2017, 28(3):730-738. [3] Xie Y, Yang L, Zhu T B, Yang H, Zhang J B, Yang J L, Cao J H, Bai B, Jiang Z C, Liang Y M, Lan F L, Meng L, Müller C. Rapid recovery of nitrogen retention capacity in a subtropical acidic soil following afforestation[J]. Soil Biology and Biochemistry, 2018, 120:171-180. doi: 10.1016/j.soilbio.2018.02.008 [4] 袁磊, 李文周, 陈文伟, 张金波, 蔡祖聪. 戴云山自然保护区森林土壤氮转化特点研究[J]. 土壤, 2017, 49(2):240-247.YUAN Lei, LI Wenzhou, CHEN Wenwei, ZHANG Jinbo, CAI Zucong. Nitrogen transformation of different Subtropical forest soils in Daiyun Mountain National Nature Reserve[J]. Soils, 2017, 49(2):240-247. [5] 李平, 郎漫. 开垦年限对黑土氮初级转化速率和净转化速率的影响[J]. 土壤学报, 2020, 57(1):165-173.LI Ping, LANG Man. Effect of cultivation on gross and net N transformation rates in black soil relative to duration[J]. Acta Pedologica Sinica, 2020, 57(1):165-173. [6] Booth M S, Stark J M, Rastetter E. Controls on nitrogen cycling in terrestrial ecosystems: A synthetic analysis of literature data[J]. Ecological Monographs, 2005, 75(2):139-157. doi: 10.1890/04-0988 [7] Zhang J B, Müller C, Zhu T B, Cheng Y, Cai Z C. Heterotrophic nitrification is the predominant NO3 − production mechanism in coniferous but not broad-leaf acid forest soil in subtropical China[J]. Biology and Fertility of Soils, 2011, 47(5):533-542. doi: 10.1007/s00374-011-0567-z [8] Zhu T B, Meng T Z, Zhang J B, Yin Y F, Cai Z C, Yang W Y, Zhong W H. Nitrogen mineralization, immobilization turnover, heterotrophic nitrification, and microbial groups in acid forest soils of subtropical China[J]. Biol Fertil Soils, 2013, 49(3):323-331. doi: 10.1007/s00374-012-0725-y [9] Jiang X J, Xin X P, Li S W, Zhou J C, Zhu T B, Müller C, Cai Z C, Wright A L. Effects of Fe oxide on N transformations in subtropical acid soils[J]. Scientific Reports, 2015, 5:8615. doi: 10.1038/srep08615 [10] Jiang Z C, Lian Y Q, Qin X Q. Rocky desertification in Southwest China: Impacts, causes, and restoration[J]. Earth-Science Reviews, 2014, 132:1-12. doi: 10.1016/j.earscirev.2014.01.005 [11] Zhu T B, Zeng S M, Qin H L, Zhou K X, Yang H, Lan F L, Huang F, Cao J H, Müller C. Low nitrate retention capacity in calcareous soil under woodland in the karst region of Southwestern China[J]. Soil Biology and Biochemistry, 2016, 97:99-101. doi: 10.1016/j.soilbio.2016.03.001 [12] Zhang J B, Zhu T B, Meng T Z, Zhang Y C, Yang J J, Yang W Y, Müller C, Cai Z C. Agricultural land use affects nitrate production and conservation in humid subtropical soils in China[J]. Soil Biology and Biochemistry, 2013, 62:107-114. doi: 10.1016/j.soilbio.2013.03.006 [13] Zhu T B, Zhang J B, Meng T Z, Zhang Y C, Yang J J, Müller C, Cai Z C. Tea plantation destroys soil retention of NO3 − and increases N2O emissions in subtropical China[J]. Soil Biology and Biochemistry, 2014, 73:106-114. doi: 10.1016/j.soilbio.2014.02.016 [14] Zhang J B, Cai Z C, Yang W Y, Zhu T B, Yu Y J, Yan X Y, Jia Z J. Long-term field fertilization affects soil nitrogen transformations in a rice-wheat-rotation cropping system[J]. Journal of Plant Nutrition and Soil Science, 2012, 175(6):939-946. doi: 10.1002/jpln.201200149 [15] Müller C, Rütting T, Kattge J, Laughlin R J, Stevens R J. Estimation of parameters in complex 15N tracing models by Monte Carlo sampling[J]. Soil Biology and Biochemistry, 2007, 39(3):715-726. doi: 10.1016/j.soilbio.2006.09.021 [16] 杨会, 朱同彬, 吴夏, 郝玉培, 吴华英. 岩溶区种植砂糖桔对石灰土有机氮矿化过程的影响[J]. 南方农业学报, 2020, 51(11):2665-2673. doi: 10.3969/j.issn.2095-1191.2020.11.008YANG Hui, ZHU Tongbin, WU Xia, HAO Yupei, WU Huaying. Effects of sugar orange plantation on organic nitrogen mineralization in different calcareous soils in karst region[J]. Journal of Southern Agriculture, 2020, 51(11):2665-2673. doi: 10.3969/j.issn.2095-1191.2020.11.008 [17] Li D J, Liu J, Chen H, Zheng L, Wang K L. Soil gross nitrogen transformations in responses to land use conversion in a subtropical karst region[J]. Journal of Environmental Management, 2018, 212:1-7. [18] Zhang J B, Zhu T B, Cai Z C, Müller C. Nitrogen cycling in forest soils across climate gradients in Eastern China[J]. Plant Soil, 2011, 342:419-432. doi: 10.1007/s11104-010-0706-6 [19] Barrett J E, Burke I C. Potential nitrogen immobilization in grassland soils across a soil organic matter gradient[J]. Soil Biology and Biochemistry, 2000, 32(11-12):1707-1716. doi: 10.1016/S0038-0717(00)00089-4 [20] Li D J, Li W, Yang L Q, Luo P, Xiao K C, Chen H, Zhang W, He X Y, Chen H S, Wang K L. Dynamics of soil organic carbon and nitrogen following agricultural abandonment in a karst region[J]. Journal of Geophysical Research: Biogeosciences, 2017, 122(1):230-242. doi: 10.1002/2016JG003683 [21] Ye C L, Chen D M, Hall S J, Pan S, Yan X B, Bai T S, Guo H, Zhang Y, Bai Y F, Hu S J. Reconciling multiple impacts of nitrogen enrichment on soil carbon: Plant, microbial and geochemical controls[J]. Ecology Letters, 2018, 21:1162-1173. doi: 10.1111/ele.13083 [22] 赵全桂, 卢树昌, 吴德敏, 周海燕, 陈清. 施肥投入对招远农田土壤酸化及养分变化的影响[J]. 中国农学通报, 2008, 24(1):301-306.ZHAO Quangui, LU Shuchang, WU Demin, ZHOU Haiyan, CHEN Qing. Effect on the farmland soil acidification and nutrients change in Zhaoyuan City by fertilizer application[J]. Chinese Agricultural Science Bulletin, 2008, 24(1):301-306. [23] 文冬妮, 杨程, 杨霖, 秦兴华, 孟磊, 何秋香, 朱同彬, Christoph Müller. 岩溶区农业种植对土壤有机氮矿化的影响[J]. 中国岩溶, 2020, 39(2):189-195.WEN Dongni, YANG Cheng, YANG Lin, QIN Xinghua, MENG Lei, HE Qiuxiang, ZHU Tongbin, Christoph Müller. Effects of agricultural cultivation on soil organic nitrogen mineralization in karst regions[J]. Carsologica Sinica, 2020, 39(2):189-195. [24] 王世强, 胡长玉, 程东华, 廖万有, 赵灿, 葛慧丽, 房江育. Al3+胁迫对茶园土壤微生物区系及生理群的影响[J]. 环境污染与防治, 2011, 33(6):36-39.WANG Shiqiang, HU Changyu, CHENG Donghua, LIAO Wanyou, ZHAO Can, GE Huili, FAGN Jiangyu. Effect of Al3+ on populations and major physiological groups of microbes in tea garden soils[J]. Environmental Pollution & Control, 2011, 33(6):36-39. [25] 刘亚利, 钟婷婷, 刘鹏飞, 余紫薇, 杨灿. 投加不同形态的铁对厌氧消化的影响和作用机理[J]. 应用化工, 2018, 47(10):2264-2267.LIU Yali, ZHOGN Tingting, LIU Pengfei, YU Ziwei, YANG Can. Effects and mechanisms of iron in different forms on anaerobic digestion[J]. Applied Chemical Industry, 2018, 47(10):2264-2267. [26] 吕刚, 赵宾, 赵国宣, 任明强. 贵州湄潭县茶园土壤的理化性状特征[J]. 贵州农业科学, 2016, 44(9):84-88.LV Gang, ZHAO Bin, ZHAO Guoxuan, REN Mingqiang. Physical and chemical traits and characteristics of soils in tea gardens in Meitan county of Guizhou Province[J]. Guizhou Agricultural Sciences, 2016, 44(9):84-88. [27] Zhang S S, Zheng Q, Noll L S, Hu Y T, Wanek W G. Environmental effects on soil microbial nitrogen use efficiency are controlled by allocation of organic nitrogen to microbial growth and regulate gross N mineralization[J]. Soil Biology and Biochemistry, 2019, 135:304-315. doi: 10.1016/j.soilbio.2019.05.019 [28] Weber D F, Gainey P L. Relative sensitivity of nitrifying organisms to hydrogen ions in soils and solutions[J]. Soil Science, 1962, 94(3):138-145. doi: 10.1097/00010694-196209000-00002 [29] Chu H Y, Fujii T, Morimoto S, Lin X G, Yagi K, Hu J L, Zhang J B. Community structure of ammonia-oxidizing bacteria under long-term application of mineral fertilizer and organic manure in a sandy loam soil[J]. Applied and Environmental Microbiology, 2007, 73(2):485-491. doi: 10.1128/AEM.01536-06 [30] Wan Y J, Ju X T, Ingwersen J, Schwarz U, Stange C F, Zhang F S, Streck T. Gross nitrogen transformations and related nitrous oxide emissions in an intensively used calcareous soil[J]. Soil Science Society of America Journal, 2009, 73(1):102-112. doi: 10.2136/sssaj2007.0419 [31] 赖倩倩, 杨霖, 秦兴华, 田伟, 伍延正, 汤水荣, 解钰, Christoph Müller, 孟磊. 蔗渣生物质炭对喀斯特农田石灰性土壤氮转化过程的短期影响[J]. 中国岩溶, 2019, 38(3):450-457.LAI Qianqian, YANG Lin, QIN Xinghua, TIAN Wei, WU Yanzheng, TAGN Shuirong, XIE Yu, Christoph Müller, MENG Lei. Study on short-term effects of sugarcane biochar on nitrogen transformation in calcareous soils in karst farmland[J]. Carsologica Sinica, 2019, 38(3):450-457. -
下载: