Evaluation system for the suitability of reservoir construction for pumped storage and optimization of its site selection in karst depressions
-
摘要: 为解决岩溶洼地修建抽水蓄能电站选址的实际工程问题,利用DEM数据和ArcGIS平台自动提取岩溶洼地并进行属性分析和计算,开展岩溶洼地建库资源评价及上库库址优选研究。提出洼地坡度、库容、岩组类型、断层、水文地质、上下库竖直距离和距高比7个建库决策关键性影响因子,构建模糊综合评判模型和偏最小二乘通径模型,以生态保护红线和自热保护区为限制性因素,对研究区488个候选洼地进行初步筛选排序。研究结果表明,竖直距离、库容、距高比三个因素对选址决策起到关键性作用;应用GIS地图叠加技术能很好排除因环境因素限制的不可行站点。通过两种模型普选出的前10个优选洼地中共有6个吻合,一致性较好说明评价模型适用性强、评价结果可靠性高;优选出的洼地与指标体系的量化标准基本一致,在工程实例中得到了很好的验证,其中白水塘1#洼地最适合建设抽水蓄能电站。Abstract:
In the planning policy on modern energy system in China's "14th Five-Year Plan", it is proposed to accelerate the improvement of system for energy production, supply, storage and marketing, and to promote the large-scale and high-proportion development of renewable energy, so as to achieve the goal of "carbon peaking and carbon neutralization". Pumped storage is currently recognized as the most mature, reliable, clean and economical means of energy storage. However, the site selection is imminent in order to construct power stations for pumped storage. Taking Guizhou Province as an example, the current planning of site selection and the construction technology of power stations for pumped storage are seldom studied. Karst is distributed in more than 77% of Guizhou's land area, with the peak-cluster depression as the main geomorphological type. As a kind of natural negative terrain, the peak-cluster depression has hardly been excavated. But its excellent surrounding sealing, and wonderful geometric and engineering characteristics can save much investment in excavation support. Thus, the peak-cluster depression is an ideal place for building a reservoir. Taking the karst depression as a research object, this study focuses on the practical engineering problem of building a power station for pumped storage in the karst depression. The factors and their degrees affecting the suitability of reservoir construction in the depression are obviously different in different regions; therefore, some typical factors can only be selected as the evaluation indicators. These factors involve those having an important impact on the stability of the reservoir area, the leakage problem and the benefit of reservoir construction. In this study, samples of karst depressions were automatically extracted, and the attribute analysis and calculation were carried out based on DEM data and ArcGIS platform. According to the engineering practice, experts were organized to discuss and score so as to determine the influence factors of the evaluation model. Then the evaluation was conducted respectively in terms of terrain conditions, geological conditions, engineering conditions, environmental conditions, etc. The model of fuzzy comprehensive evaluation and the model of partial least square path have been constructed based on the seven key influencing factors of the decision-making of reservoir construction, including slope, reservoir capacity, petrofabric type, fault, hydrogeology, vertical distance between the upper and lower reservoirs and the ratio of distance to height. Taking the red line of ecological protection and the autothermal protection area as controlling variables, 488 candidate depressions in the study area were preliminarily screened and sorted in combination with the geological conditions of the supporting site. The results show that vertical distance, storage capacity and distance-height ratio play key roles in site selection. The application of GIS map overlay technology can eliminate the infeasible sites limited by environmental factors and the candidate depressions in the eco-environmental protection area. The geological conditions of the proposed lower reservoir and water conveyance power house were considered in the selection of the optimal candidate depressions, which effectively avoided the subjectivity and limitations of decision makers. A total of 6 of the top 10 selected depressions by the two models are consistent. Their good topographic conditions, suitable geological conditions, superior engineering conditions and good consistency indicate strong applicability and high reliability of the evaluation model. The two models are mutually matched. The depression selected is basically consistent with the quantitative standard of the index system, which has been well verified in engineering practice. No.1 depression of Baishui pond is the most suitable for the construction of power station for pumped storage. The research methods and results can further promote the resource utilization of karst depressions. -
表 1 数据收集详细信息表
Table 1. Detail information of the data collection
数据类型 名称 时间 空间参考系 比例尺/空间分辨率 数据格式 数据用途 图形数据 地质图 1974年 北京54 1∶20万 JPG 地层岩性、地质构造因子分析 水文地质图 2007年 北京54 1∶5万 JPG 获取岩溶大泉、岩溶泉群、地下暗河、
分散排泄系统等数据生态保护红线 2018年 / 1∶140万 JPG 获取生态保护红线分布区域 矢量数据 基础地理数据库 2017年 CGCS2000
Gauss_Kruger1∶25万 SHP 获取水系、交通、居民地及设施等信息 自然保护区 2018年 CGCS2000
Gauss_Kruger/ SHP 获取自然保护区核心区、缓冲区、边界 栅格数据 数字高程模型(DEM) 2015年 WGS_1984
UTM_Zone_49N12.5 m TIF 提取洼地及其洼地属性分析 表 2 抽水蓄能电站选址的决策指标及工程实例
Table 2. Decision indexes of site selection of the power station for pumped storage and engineering example
指标/实例 内容 决策指标 环境约束 排除居住区、永久耕作区、交通基础设施、保护区、国家公园和遗址遗迹等敏感区域[21]
避让水源保护区、森林公园、自然保护区、风景名胜区、地质公园等环境保护区[22]经济效益 上下水库、建筑物、地下厂房、水道、隧道等的修建难易程度[15]
拟建站址到国家电网和公路网的距离、土地的适宜性、静态投资、动态回收[23]
动力部件(涡轮机、发电机、变压器和开关站等)和存储组件(水坝、土方开挖和衬砌)[24]
征地、安置和补偿、土石供应、施工作业空间、外部交通状况[25]地形地质 提出七种PHES潜力的场地类型,对站点的水源潜力进行估计[26]
现有水库、发电站和水道所需的土建工程稳定性取决于地层岩性,考虑潜在断层、地震振动时产生的附加影响[3]
研究流域有关的地形、土壤、水文等可用数据,建立一个评分系统确定潜在的位置[27]
以自然水头、径流量、径流补偿区等地形和水文因素作为选址标准,按照优先级选择最终位置[28]
用距离、总水头、库容、深度、海拔等计算抽蓄电站的能量转化效率[21]工程实例 仙游抽水蓄能电站 上库为山间溪源谷地,库区基岩以凝灰熔岩为主,断层规模小,上下库落差448.5 m,距高比4.52,下库为河流[29] 洪屏抽水蓄能电站 上库为高山盆地,库区地质条件复杂,断层发育,上下库平均水头552.5 m,库容1 033万m3,距高比3.88,下库为河流[30] 泰安抽水蓄能电站 上库为天然库盆,有一条大断层穿过,坡度宽缓,岩性主要为混合花岗岩,上下库最大水头256 m,距高比6.71,库容898万m3[31] 遥桥峪抽水蓄能电站 上库为自然谷盆,库容550万m3,主要出露岩层为凝灰岩,岩石致密坚硬,机组设计水头535 m,距高比6.3,下库利用已建水库[32] Crete 抽水蓄能电站 上库为闭合盆地,主要岩性为薄层石灰岩,最大坡度为 45°,库容192万m3,水头约为520 m,距高比3.85,将海洋作为下库 [33] 表 3 岩溶洼地抽水蓄能建库选址评价指标及分级标准
Table 3. Evaluation indexes and classification standards of site selection of the reservoir for pumped storage in karst depressions
指标 评价指标 适宜性等级 类型 一级因子 二级因子 好(Ⅰ) 较好(Ⅱ) 一般(Ⅲ) 差(Ⅳ) 决策
因素地形条件 坡度/° [25,35) [15,25) [35,45) <15,≥5 库容/万m3 [450,600) [300,450) [150,300) <150,≥600 地质条件 地层岩性 玄武岩、厚层白云岩 灰岩白云岩互层 厚层灰岩 煤系地层、泥岩 断层 0条 1条 2条 >2条 水文地质条件 分散排泄系统 岩溶大泉 岩溶泉群 地下暗河 工程条件 距高比/L·H−1 [2.5,3.5) [2.0,2.5) [3.5,5.0) <2.0,≥5.0 竖直距离/m [600,800) [400,600) [200,400) <200,≥800 限制
因素环境条件 生态保护红线 可行/不可行 自然保护区 可行/不可行 表 4 判断矩阵及权重
Table 4. Judgment matrix and weight
评价因子 A1 A2 A3 A4 A5 A6 A7 权重ai 备注 坡度A1 1.00 0.33 0.33 0.50 0.33 0.25 0.20 4.4% CI=0.0459
RI=1.32
CR=0.0348
(CR≤0.1一致性检验通过)库容A2 3.00 1.00 3.03 5.00 2.00 0.83 0.77 21.2% 地层岩性A3 3.00 0.33 1.00 4.00 1.25 0.50 0.33 11.6% 断层A4 2.00 0.20 0.25 1.00 0.50 0.33 0.25 5.4% 水文地质条件A5 3.00 0.50 0.80 2.00 1.00 0.43 0.50 10.8% 距高比A6 4.00 1.20 2.00 3.00 2.30 1.00 0.50 19.6% 竖直距离A7 5.00 1.30 3.00 4.00 2.00 2.00 1.00 27.0% 表 5 PLS Path Model 法岩溶洼地建库适宜性评价显变量与隐变量
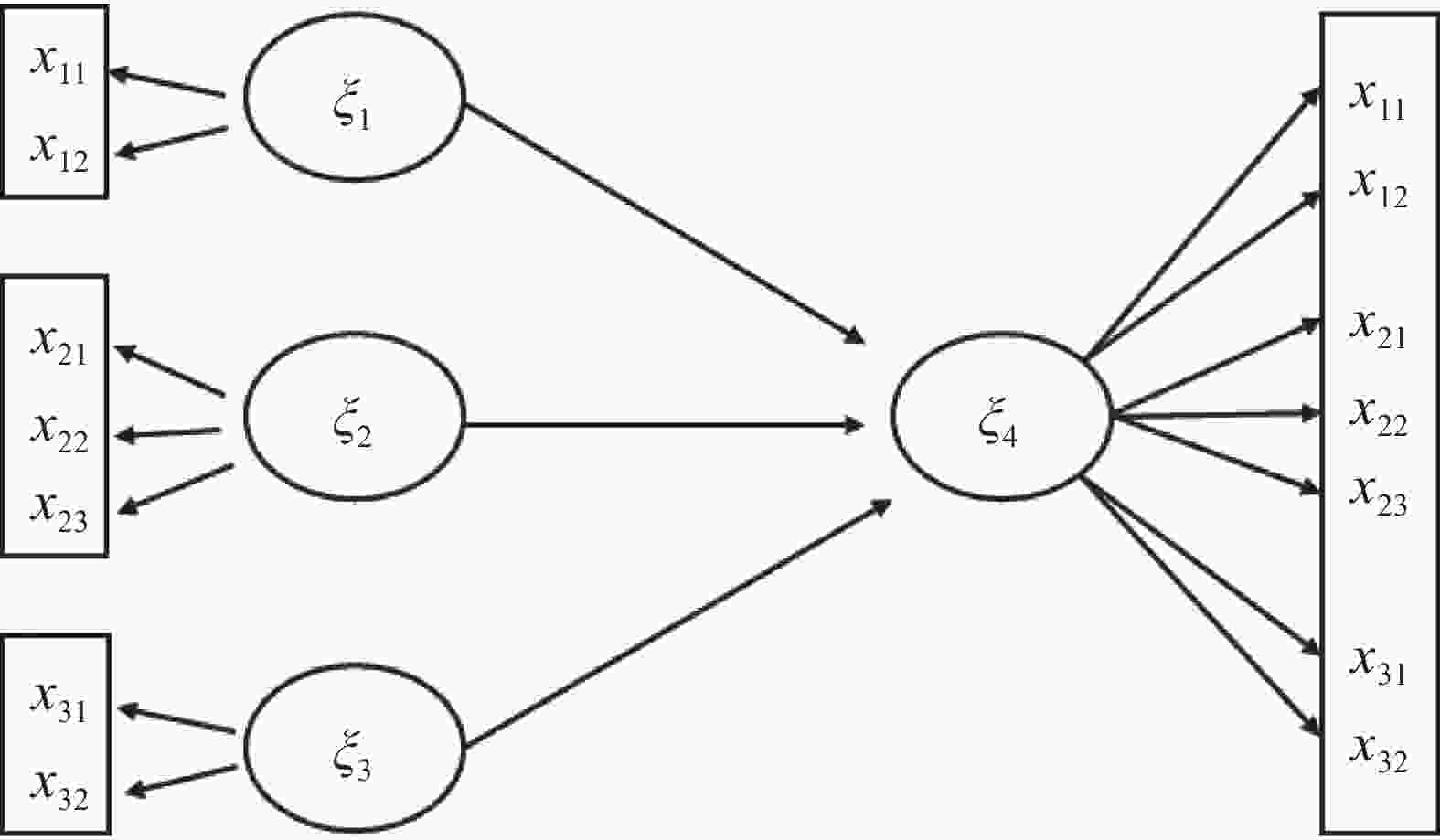
Table 5. Manifest variables and latent variables in the suitability evaluation of reservoir construction in karst depressions by PLS Path Model
隐变量 地形条件(ξ1) 地质条件(ξ2) 工程条件(ξ3) 显变量 库容(x11)
坡度(x12)地层岩性(x21)
断层(x22)
水文地质条件(x23)距高比(x31)
竖直距离(x32)表 6 两种方法洼地建库适宜性优选排序
Table 6. Sequence of suitability of reservoir construction and optimization of its site selection in karst depressions by two different methods
洼地
名称竖直距离
m库容
万m3距高比 地层岩性 水文地质
条件断层
条坡度
°排序 FCE法 PLS法 白水塘1# 663 269.19 2.72 灰岩白云岩互层 分散排泄 0 52.53 1 1 罗家弯子 665 111.00 2.48 厚层白云岩 分散排泄 0 40.34 2 7 鸭坝田 656 318.60 6.63 灰岩白云岩互层 分散排泄 1 62.17 3 8 白水塘2# 462 117.49 2.93 灰岩白云岩互层 分散排泄 0 43.56 4 4 云南寨 696 250.12 3.94 灰岩白云岩互层 分散排泄 0 60.93 5 3 石刚井 699 135.96 5.43 灰岩白云岩互层 分散排泄 0 54.42 6 13 风岩 654 177.82 7.64 灰岩白云岩互层 分散排泄 0 57.19 7 11 肖家寨 664 146.03 7.90 灰岩白云岩互层 分散排泄 0 60.17 8 14 后朝子 554 252.01 6.54 厚层白云岩 分散排泄 2 30.59 9 22 冉家窝凼 541 404.02 9.14 灰岩白云岩互层 分散排泄 0 60.33 10 10 发舍 331 302.92 3.55 灰岩白云岩互层 分散排泄 0 47.78 16 2 飞龙洞 245 116.38 3.62 灰岩白云岩互层 分散排泄 0 60.52 24 5 高坪子 259 119.37 4.15 厚层白云岩 分散排泄 2 44.66 19 6 小洪地 307 235.72 6.21 厚层灰岩 分散排泄 0 50.61 26 9 表 7 适宜性优选洼地配套场地条件
Table 7. Conditions of support site in karst depressions in terms of suitability of reservoir construction and optimization of its site selection
洼地名称 下库 输水发电厂房 水源类型 地层岩性 断层/条 地层岩性 断层/条 白水塘1# 自然径流 厚层灰岩 0 灰岩白云岩互层、厚层灰岩 0 罗家弯子 自然径流 灰岩白云岩互层 0 厚层白云岩、灰岩白云岩互层 0 鸭坝田 自然径流 灰岩白云岩互层 0 灰岩白云岩互层 0 白水塘2# 自然径流 厚层灰岩、泥岩 0 厚层灰岩 0 云南寨 自然径流 灰岩白云岩互层 0 灰岩白云岩互层 0 石刚井 自然径流 厚层白云岩 0 厚层白云岩、灰岩白云岩互层、厚层灰岩 1 风岩 自然径流 灰岩白云岩互层 0 厚层白云岩、灰岩白云岩互层 0 肖家寨 自然径流 厚层白云岩 0 厚层白云岩、厚层灰岩、灰岩白云岩互层 2 后朝子 自然径流 煤系地层 0 厚层白云岩、煤系地层、泥岩 2 冉家窝凼 自然径流 厚层白云岩 0 厚层灰岩、灰岩白云岩互层、泥岩 2 发舍 已建水库 玄武岩 0 厚层白云岩、灰岩白云岩互层 0 飞龙洞 已建水库 灰岩白云岩互层 0 灰岩白云岩互层 0 高坪子 已建水库 玄武岩 0 玄武岩、厚层白云岩 0 小洪地 自然径流 厚层灰岩 0 厚层灰岩 0 -
[1] Thang Ngoc Cong. Progress in electrical energy storage system: A critical review[J]. Progress in Natural Science, 2009, 19(3): 291-312. [2] 李长健. 抽水蓄能电站减碳效益研究[J]. 水电与抽水蓄能, 2021, 7(6):45-48, 80.LI Changjian. Study on carbon reduction benefit of pumped storage power station[J]. Hydropower and Pumped Storage, 2021, 7(6):45-48, 80. [3] Nzotcha U, Kenfack J, Blanche Manjia M. Integrated multi-criteria decision making methodology for pumped hydro-energy storage plant site selection from a sustainable development perspective with an application[J]. Renewable & Sustainable Energy Reviews, 2019, 112:930-947. [4] 姜光辉, 刘凡, 王奇岗, 郭芳. 基于表层岩溶带调控的峰丛洼地低影响开发构建[J]. 中国岩溶, 2022, 41(2): 165-173.JIANG Guanghui, LIU Fan, WANG Qigang, GUO Fang. Low impact development construction of peak cluster depression based on regulation of epikarst zone[J]. Carsologica Sinica, 2022, 41(2): 165-173. [5] 苏维词, 潘真真, 郭晓娜, 杨吉, 易武英, 李艳丽, 杨振华, 谢砫军. 黔南FAST周边典型喀斯特峰丛洼地石漠化生态修复模式研究:以平塘县克度镇刘家湾周边为例[J]. 中国岩溶, 2016, 35(5):503-512.SU Weici, PAN Zhenzhen, GUO Xiaona, YANG Ji, YI Wuying, LI Yanli, YANG Zhenhua, XIE Zhujun. Study of ecological remediation modes for rocky desertification in typical karst peak-cluster depression surrounding south Guizhou FAST: An example of the periphery of Liujiawan, Kedu town, Pingtang county[J]. Carsologica Sinica, 2016, 35(5):503-512. [6] 李新根, 徐敏, 周清平. 贵州省抽水蓄能电站合理规模分析[J]. 水利水电技术, 2013, 44(8):69-72. doi: 10.3969/j.issn.1000-0860.2013.08.019LI Xingen, XU Min, ZHOU Qingping. Reasonable scale analysis of pumped storage power station in Guizhou Province[J]. Water Resources and Hydropower Engineering, 2013, 44(8):69-72. doi: 10.3969/j.issn.1000-0860.2013.08.019 [7] 蒲楠楠, 顾文钰. 乌江流域抽水蓄能电站开发形势分析[J]. 江苏科技信息, 2018, 35(21):74-77. doi: 10.3969/j.issn.1004-7530.2018.21.023PU Nannan, GU Wenyu. Analysis of the development situation of pumped storage power station in Wujiang river basin[J]. Jiangsu Science & Technology Information, 2018, 35(21):74-77. doi: 10.3969/j.issn.1004-7530.2018.21.023 [8] 张娜, 董化宏, 何学铭. 我国抽水蓄能电站建设必要性和前景[J]. 中国三峡, 2010(11):16-20. [9] 王兵, 刘朋帅, 邓凯磊. 基于模糊多准则决策模型的废弃矿井抽水蓄能电站选址研究[J]. 矿业科学学报, 2021, 6(6):667-677. doi: 10.19606/j.cnki.jmst.2021.06.005WANG Bing, LIU Pengshuai, DENG Kailei. Site selection of pumped storage power station in abandoned mines: Results from fuzzy-based multi criteria decision model[J]. Journal of Mining Science and Technology, 2021, 6(6):667-677. doi: 10.19606/j.cnki.jmst.2021.06.005 [10] 程春田. 碳中和下的水电角色重塑及其关键问题[J]. 电力系统自动化, 2021, 45(16):29-36. doi: 10.7500/AEPS20201220003CHENG Chuntian. Function remolding of hydropower systems for carbon neutral and its key problems[J]. Automation of Electric Power Systems, 2021, 45(16):29-36. doi: 10.7500/AEPS20201220003 [11] 任岩, 侯尚辰. 基于多能互补的抽水蓄能电站站址选择的研究[J]. 水电与抽水蓄能, 2021, 7(6):37-39.REN Yan, HOU Shangchen. Study on site selection of pumped storage power station based on multiple complementarity[J]. Hydropower and Pumped Storage, 2021, 7(6):37-39. [12] 赵会林, 鲁新蕊. 抽水蓄能电站的选点原则[J]. 东北水利水电, 2012, 30(4):1-2, 71. doi: 10.3969/j.issn.1002-0624.2012.04.001ZHAO Huilin, LU Xinrui. Selection principle of pumped storage power station[J]. Water Resources & Hydropower of Northeast China, 2012, 30(4):1-2, 71. doi: 10.3969/j.issn.1002-0624.2012.04.001 [13] 吕优. 风–光–抽水蓄能联合发电系统优化调度研究[D]. 西安: 西安理工大学, 2018.LV You. Study on the optimal scheduling of a hybrid wind-solar-pumped storage power generation system[D]. Xi'an: Xi'an University of Technology, 2018. [14] 卢开放, 侯正猛, 孙伟, 张盛友, 方琰藜, 高通. 云南省矿井抽水蓄能电站潜力评估与建设关键技术[J]. 工程科学与技术, 2022, 54(1):136-144.LU Kaifang, HOU Zhengmeng, SUN Wei, ZHANG Shengyou, FANG Yanli, GAO Tong. Potential evaluation and construction key technologies of pumped-storage power stations in mines of Yunnan Province[J]. Advanced Engineering Sciences, 2022, 54(1):136-144. [15] 庞伟, 王帆. 抽水蓄能电站在电网运行中的地位与作用[J]. 水电与抽水蓄能, 2015, 1(6):1-4. doi: 10.3969/j.issn.1671-3893.2015.06.001PANG Wei, WANG Fan. The position and function of the pumped storage power station in power grid operation[J]. Hydropower and Pumped Storage, 2015, 1(6):1-4. doi: 10.3969/j.issn.1671-3893.2015.06.001 [16] 魏乐, 李思莹. 基于加权模糊 TOPSIS 和灰色关联度的风电场选址研究[ J]. 可再生能源, 2019, 37(12): 1869-1874.WEI Le, LI Siying. Site selection for wind power plants based on weighted fuzzy TOPSIS and grey correlation degree[J]. Renewable Energy Resources, 2019, 37(12): 1869-1874. [17] 娜仁花. 基于模糊综合评价模型的风电场选址研究[D]. 北京: 华北电力大学, 2015.NA Renhua. Researching on location of wind power farm based on fuzzy comprehensive evaluation model[D]. Beijing: North China Electric Power University, 2015. [18] Tan Q, Wei T, Peng W, Yu Z, Wu C. Comprehensive evaluation model of wind farm site selection based on ideal matter element and grey clustering[J]. Journal of Cleaner Production, 2020, 272:122658. doi: 10.1016/j.jclepro.2020.122658 [19] Wu Y, Liu L, Gao J, Chu H, Xu C. An extended VIKOR-based approach for pumped hydro energy storage plant site selection with heterogeneous information[J]. Information, 2017, 8(3):106. doi: 10.3390/info8030106 [20] 赵勇. 滇东山原区水库岩溶渗漏系统工程地质研究[D]. 成都: 成都理工大学, 2015.ZHAO Yong. Systematic engineering geological research of reservior leakage in karst in mountain plateau of eastern Yunnan[D]. Chengdu: Chengdu University of Technology, 2015. [21] Rogeau A, Girard R, Kariniotakis G. A generic GIS-based method for small Pumped Hydro Energy Storage (PHES) potential evaluation at large scale[J]. Applied Energy, 2017, 197:241-253. doi: 10.1016/j.apenergy.2017.03.103 [22] 陈宏宇, 陈同法, 秦晓宇, 卢锟明. 混合式抽水蓄能电站选点条件分析[J]. 水电与抽水蓄能, 2017, 3(4):28-31, 44.CHEN Hongyu, CHEN Tongfa, QIN Xiaoyu, LU Kunming. Analysis of selected conditions of mixed pumped storage power station[J]. Hydropower and Pumped Storage, 2017, 3(4):28-31, 44. [23] Ahmed H G I, Mohamed M H, Saleh S S. A GIS model for exploring the water pumped storage locations using remote sensing data[J]. The Egyptian Journal of Remote Sensing and Space Science, 2021, 24(3):515-523. doi: 10.1016/j.ejrs.2021.09.006 [24] Lu B, Stocks M, Blakers A, Anderson K. Geographic information system algorithms to locate prospective sites for pumped hydro energy storage[J]. Applied Energy, 2018, 222:300-312. doi: 10.1016/j.apenergy.2018.03.177 [25] Ji L, Li C, Li X, Li P, Zhu H, Zhang Z. Multi-method combination site selection of pumped storage power station considering power structure optimization[J]. Sustainable Energy Technologies and Assessments, 2022, 49:101680. doi: 10.1016/j.seta.2021.101680 [26] R Lacal, N Fitzgerald, P Leahy. Pumped-hydro energy storage: Potential for transformation from single dams[M]. Luxembourg: Publications Office of the European Union, 2012: 1-55. [27] Kusre B C, Baruah D C, Bordoloi P K, Patra S C. Assessment of hydropower potential using GIS and hydrological modeling technique in Kopili river basin in Assam (India)[J]. Applied Energy, 2010, 87(1):298-309. doi: 10.1016/j.apenergy.2009.07.019 [28] Yi C S, Lee J H, Shim M P. Site location analysis for small hydropower using geo-spatial information system[J]. Renewable Energy, 2010, 35(4):852-861. doi: 10.1016/j.renene.2009.08.003 [29] 陈德建. 仙游西苑抽水蓄能电站工程区主要工程地质问题分析[J]. 水利科技, 2008, 121(4):26-29.CHEN Dejian. Analysis on the main engineering geology problems at project area of Xianyou Xiyuan pumped storage power station[J]. Hydraulic Science and Technology, 2008, 121(4):26-29. [30] 林金洪, 黄运龙. 洪屏抽水蓄能电站工程区主要工程地质问题及处理措施[C]//中国地质学会. 2018年全国工程地质学术年会论文集. 北京: 科学出版社, 2018: 572-580.LIN Jinhong, HUANG Yunlong. Main engineering geological problems and treatment measures in Hongping pumped storage power station project area[C]//Geological Society of China. Proceedings of National Engineering Geology Conference 2018. Beijing: Science Press, 2018: 572-580. [31] 蔡鹤鸣. 泰安一级抽水蓄能电站工程简介[J]. 山东电力技术, 1995(4):1-3, 7.CAI Heming. The project of Taian pumped storage power station[J]. Shandong Electric Power, 1995(4):1-3, 7. [32] 唐文华. 高水头调节性能较好的遥桥峪和抚宁抽水蓄能电站[C]//中国水力发电工程学会2003年抽水蓄能学术年会论文集, 2003. [33] Katsaprakakis D A, Christakis D G, Stefanakis I, Spanos P, Stefanakis N. Technical details regarding the design, the construction and the operation of seawater pumped storage systems[J]. Energy, 2013, 55:619-630. doi: 10.1016/j.energy.2013.01.031 [34] Jiang Z G, Zhang H. Sutherland J W. Development of multi-criteria decision making model for remanufacturing technology portfolio selection[J]. Journal of Cleaner Production, 2011, 19(17-18): 1939–1945. [35] 梁海波, 谷兆祺. 抽水蓄能电站站址选择的探讨[J]. 红水河, 1996, 15(1):10-12.LIANG Haibo, GU Zhaoqi. Research on selection of project site for pumped storage power plant[J]. Hongshui River, 1996, 15(1):10-12. [36] 洪增林, 徐通, 薛旭平. 基于AHP的地质遗迹旅游资源评价:以汉中天坑群为例[J]. 中国岩溶, 2019, 38(2):276-280.HONG Zenglin, XU Tong, XUE Xuping. Evaluation of geological relics tourism resources based on AHP: An example of the Hanzhong Tiankeng group[J]. Carsologica Sinica, 2019, 38(2):276-280. [37] 王惠文, 付凌晖. PLS路径模型在建立综合评价指数中的应用[J]. 系统工程理论与实践, 2004, 24(10):80-85. doi: 10.3321/j.issn:1000-6788.2004.10.014WANG Huiwen, FU Linghui. The application research of partial least square path modeling on establishing synthesis evaluation index[J]. Systems Engineering-Theory & Practice, 2004, 24(10):80-85. doi: 10.3321/j.issn:1000-6788.2004.10.014 -
下载: