Hydrological driving characteristics of soil carbon and nitrogen losses under different land use modes on karst slopes
-
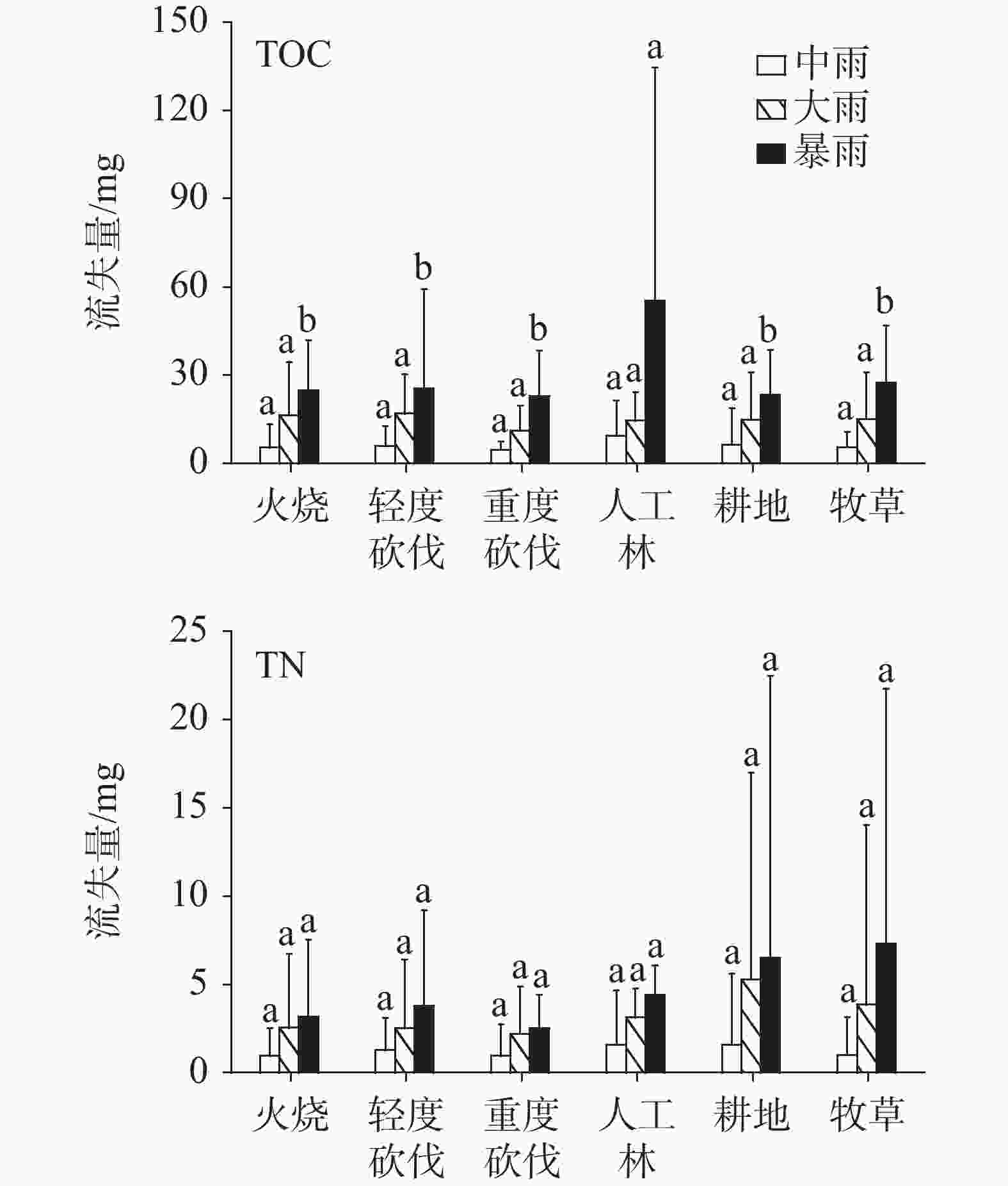
摘要: 喀斯特坡地壤中流与地表径流并存,共同驱动了土壤关键生源物质的迁移,造成该区土壤生产力下降、地下水污染。为揭示喀斯特坡地土壤碳氮流失途径及其水文驱动机制,本研究以喀斯特坡地径流微区(2 m×1.2 m)为研究对象,分析了火烧、轻度砍伐、重度砍伐、人工林、耕地、牧草6种不同土地利用方式对土壤碳氮流失途径、形态及通量的影响。结果表明:降雨是土壤碳氮流失的主要驱动因子,降雨产流阈值为16 mm,55 mm时达到产流峰值。各土地利用方式仅在暴雨下有显著差异,其中,人工林的土壤碳氮流失量较大,而重度砍伐的流失量较小。土地利用方式不改变土壤碳氮的流失途径,各土地利用方式均以地表流失为主(51.29%~75.15%),壤中流为辅,其中壤中流主要通过A层流失(65.20%~89.12%)。氮素流失形态以
${\rm{NO}}_3^{-}$ -N为主(45.84%~56.49%)。研究结果可为揭示喀斯特坡地生源物质流失过程及其水文驱动机制、研发水土流失与面源污染阻控技术提供参考。Abstract:There is no direct contact between shallow soil and underlying carbonate rock in karst slope. Due to the unique karst processes in the karst hillslopes, in the process of secondary rainfall, overland flow and subsurface flow jointly drive the migration of key biogenic materials in the soil rock profile, resulting in the decrease of soil productivity and groundwater pollution in this area. However, the main migration pathways and driving mechanisms of soil carbon and nitrogen loss under different land use modes remain unclear. Based on a complete hydrological annual rainfall runoff-nutrient monitoring from 6 different land use experimental hillslopes (burned land, light felling land, heavy felling land, planted forest, farmland and grassland), we took the slope runoff micro-area (2 m×1.2 m) of Huanjiang Karst Ecosystem Observation and Research Station of Chinese Academy of Sciences as the research object. This study analyzed the loss path, loss form and average loss of soil TN and Toc driven by the near-surface multi-interface lateral hydrological processes (surface runoff, lateral flow from Layer A and lateral flow below the layer). Results show that the karst slope has a high soil infiltration coefficient, and the soil carbon and nitrogen loss per unit area is positively correlated with rainfall. Rainfall is the main driving factor of soil carbon and nitrogen loss. The threshold rainfall of nutrient loss driven by runoff is 16 mm, and the peak rainfall is 55 mm, indicating that the karst slope shows the characteristics of nutrient loss driven by full runoff. There are significant differences of soil carbon and nitrogen loss among different land use modes, but only under heavy rainfall. Compared with other land use mods, planted forest can improve canopy interception, increase transpiration and infiltration, and thus weaken the surface flow production. However, research results also show that the soil carbon and nitrogen loss of planted forest is relatively large, which on the one hand is related to the single vegetation type, high surface exposure, and fast soil surface saturation; on the other hand, the channels formed by the interpenetration of plant roots have natural continuity and are interconnected with other channels in the soil to form a huge water transport network and promote the occurrence of runoff. Therefore, species suitable for karst areas should be cultivated; the allocation of shrub and grass species at the bottom of canopy should be strengthened; and moderate human interference should be carried out to optimize plant community structure and reduce the risk of soil carbon and nitrogen loss. In this study, it is found that the soil carbon and nitrogen loss of heavy felling land is relatively small. During the process of heavy felling and root removal, the original pores of soil were destroyed, which had a negative impact on the occurrence of preferential flow and near-surface flow. The higher soil carbon and nitrogen loss in farmland and grassland is related to fertilization in tillage period, but the difference between them is not significant, indicating that conservation tillage is beneficial to soil microbial activities and thus improve soil fertility. Combined with the effect of fertilization, the difference in nutrient loss driven by hydrological processes may be concealed. Meanwhile, surface filling increase, thus reducing the near-surface loss. Land use modes do not change the path of soil carbon and nitrogen loss. The soil carbon and nitrogen in the slope of karst dolomite mainly loss through the surface (51.29%-75.15%), because the pores and joints in the dolomite area are evenly distributed and the water-barrier layer is easy to be generated and the permeability is good under the dual influence of physical weathering and tectonic forces. At the same time, the monitoring results of soil flow show that the flow loss in Layer A is much higher than that below Layer A, which is related to nutrient enrichment in Layer A on the one hand. On the other hand, the flow generation in karst areas follows the theory of interfacial flow generation, and the permeability of Layer A is much higher than that below Layer A. ${\rm{NO}}_3^{-}$ -N is the main form of soil carbon and nitrogen loss under different land use experimental hillslopes (45.84%-56.49%). The results of this study can provide reference for revealing the process of biogenic material loss and its hydrologic driving mechanism in karst slope, and developing the prevention and control technology of soil loss and non-point source pollution.-
Key words:
- karst ecosystem /
- human disturbance /
- non-point source polution /
- carbon and nitrogen loss /
- soil flow.
-
图 1 (a)环江流域以及径流场地形图;(b)土壤剖面图,通过集流槽收集地表、A层、A层以下水流;(c)径流收集装置示意图;(d)微区布设图
Figure 1. (a) Topographic map of the surrounding HuanJiang basin and runoff field; (b) Soil profile map, collecting water from the surface, Layer A, and below Layer A through collecting trough; (c) Schematic diagram of runoff collection device; (d) Micro area layout
表 1 坡地径流小区处理方式
Table 1. Processing modes of the runoff micro-area
土地利用方式 坡形 坡度/° 处理方式 火烧 直形坡 34 每年一月份火烧一次 轻度砍伐 直形坡 23 每年一月份砍伐、搬移,不去除植物根系 重度砍伐 直形坡 24 每年一月份砍伐、搬移,去除植物根系 人工林 凹形坡 23 2006年挖坑种植枸骨木 耕地 凹形坡 25 顺坡种植玉米(每年三月份和六月份共施氮肥160 kg·hm−2) 牧草 凹形坡 24 种植牧草(桂牧1号;返青后施氮肥45 kg·hm−2,
每次刈割后施氮肥50 kg·hm−2)表 2 不同土地利用方式径流微区土壤基本理化性质
Table 2. Soil physical and chemical properties in runoff micro-area under different land use modes
土地利用
方式砾石覆
盖度/%全氮TN/
g·kg−1有机质/
g·kg−1容重/
g·cm−3土壤机械组成/% 0.02~2 mm 0.002~0.02 mm <0.002 mm 火烧 50 3.12 30.59 1.32 61.28 18.43 20.29 轻度砍伐 34 1.70 28.43 1.32 65.16 14.16 20.68 重度砍伐 49 1.77 27.26 1.34 62.93 15.82 21.25 人工林 28 2.23 30.00 1.26 48.90 15.81 35.29 耕地 44 2.18 22.27 1.40 64.48 14.47 21.05 牧草 40 1.69 25.37 1.29 70.58 11.07 18.35 表 3 不同土地利用方式土壤TN流失量与流失浓度、产流量、降雨量的关系
Table 3. Relationship between the TN loss concentration and flux, runoff amount, and rainfall amount under different land use modes
土地利用方式 流失浓度 产流量 降雨量 拟合方程 R2 P 拟合方程 R2 P 拟合方程 R2 P 火烧 Y=0.701+0.875x−0.057x2+0.003x3 0.273 0.000 Y=0.011x0.770 0.830 0.000 Y=0.192x0.785 0.426 0.000 轻度砍伐 Y=0.923x0.684 0.125 0.017 Y=0.857+0.001x 0.812 0.000 Y=0.144x0.923 0.476 0.000 重度砍伐 Y=2.935-0.107x 0.200 0.004 Y=0.039x0.604 0.696 0.000 Y=0.247x0.707 0.314 0.000 人工林 Y=0.820x0.850 0.271 0.000 Y=0.006x0.846 0.724 0.000 Y=0.200x0.882 0.407 0.000 耕地 Y=3.920+0.489x+0.001x2 0.553 0.000 Y=0.008x0.868 0.624 0.000 Y=0.154x0.950 0.201 0.000 牧草 Y=-1.932+2.368x-0.202x2+0.007x3 0.393 0.000 Y=0.014x0.762 0.680 0.000 Y=0.285x0.711 0.219 0.000 表 4 不同土地利用方式土壤TOC流失量与流失浓度、产流量、降雨量的关系
Table 4. Relationship between the TOC loss concentration and flux, runoff amount, and rainfall amount under different land use modes
土地利用方式 流失浓度 产流量 降雨量 拟合方程 R2 P 拟合方程 R2 P 拟合方程 R2 P 火烧 Y=76.329+8.766x+
0.372x2+0.004x30.125 0.122 Y=0.151x0.668 0.672 0.000 Y=30.937−3.556x+
0.162x2−0.002x30.552 0.000 轻度砍伐 Y=1.465x0.789 0.334 0.000 Y=8.448+0.007x 0.649 0.000 Y=22.743−2.594x+
0.138x2+0.001x30.578 0.000 重度砍伐 Y=5.099x0.319 0.067 0.069 Y=12.073+0.003x+
4.220E−7x20.912 0.000 Y=1.196x0.789 0.281 0.000 人工林 Y=2.633+0.897x 0.147 0.027 Y=−3.280+0.029x−
7.722E−6x2+
7.233E−10x30.918 0.000 Y=−42.504+8.174x−
0.311x2+0.004x30.603 0.000 耕地 Y=17.615+0.270x 0.218 0.001 Y=0.472x0.523 0.485 0.000 Y=6.332x0.370 0.074 0.061 牧草 Y=7.690x0.291 0.081 0.019 Y=0.428x0.539 0.514 0.000 Y=13.877−1.219x+
0.083x2−0.001x0.606 0.000 -
[1] 覃星铭, 何丙辉, 沈利娜,王魁, 喻崎雯, 张路遥. 漓江流域水土流失特征及其侵蚀影响因子典型分析[J]. 中国岩溶, 2018, 37(3):351-360. doi: 10.11932/karst20180305QIN Xingming, HE Binghui, SHEN Lina, WANG Kui, YU Qiwen, ZHANG Luyao. Characteristics of soil and water loss in the Lijiang River Basin and soil erosion factors in typical karst small watersheds[J]. Carsologica Sinica, 2018, 37(3):351-360. doi: 10.11932/karst20180305 [2] Jiang Z C, Lian Y Q, Qin X Q. Rocky desertification in Southwest China: Impacts, causes, and restoration[J]. Earth-Science Reviews, 2014, 132(3):1-12. [3] 彭遥, 周蓓蓓, 陈晓鹏, 唐湘伟, 陶汪海, 王全九. 间歇性降雨对黄土坡地水土养分流失的影响[J]. 水土保持学报, 2018, 32(3):54-60.PENG Yao, ZHOU Peipei, CHEN Xiaopeng, TANG Xiangwei, TAO Wanghai, WANG Quanjiu. Study on the mechanism of soil, water and nutrient loss on loess slope under interval rain events[J]. Journal of Soil and Water Conservation, 2018, 32(3):54-60. [4] Peng Xudong, Dai Quanhou, Ding Guijie, Li Changlan. Role of underground leakage in soil, water and nutrient loss from a rock-mantled slope in the karst rocky desertification area[J]. Journal of Hydrology, 2019, 578:124086. doi: 10.1016/j.jhydrol.2019.124086 [5] 王全九, 杨婷, 刘艳丽, 赵光旭, 张鹏宇. 土壤养分随地表径流流失机理与控制措施研究进展[J]. 农业机械学报, 2016, 47(6):67-82.WANG Quanjiu, YANG Ting, LIU Yanli, ZHAO Guangxu, ZHANG Pengyu. Review of soil nutrient transport in runoff and its controlling measures[J]. Transactions of the Chinese Society for Agricultural Machinery, 2016, 47(6):67-82. [6] 陈洪松, 冯腾, 李成志, 付智勇, 连晋姣, 王克林. 西南喀斯特地区土壤侵蚀特征研究现状与展望[J]. 水土保持学报, 2018, 32(1):10-16.CHEN Hongsong, FENG Teng, LI Chengzhi, FU Zhiyong, LIAN Jinjiao, WANG Kelin. Characteristics of soil erosion in the karst regions of Southwest China: Research advance and prospective[J]. Journal of Soil and Water Conservation, 2018, 32(1):10-16. [7] 陈磊, 李占斌, 李鹏, 穆军, 贾莲莲. 黄土高原人为加速侵蚀下水土与养分流失耦合研究[J]. 水土保持学报, 2011, 25(3):7-11.CHEN Lei, LI Zhanbin, LI Peng, MU Jun, JIA Lianlian. Study on the coupling effect of erosion and nutrient lost under manmade accelerated erosion on Loess Plateau[J]. Journal of Soil and Water Conservation, 2011, 25(3):7-11. [8] 蔡崇法, 丁树文, 张光远, 黄丽, 王道合. 三峡库区紫色土坡地养分状况及养分流失[J]. 地理研究, 1996, 15(3): 77-84.CAI Chongfa, DING Shuwen, ZHANG Guangyuan, HUANG Li, WANG Daohe. A preliminary study on the conditions and losses nutrients of purple soils in Three Gorge Reservoir Area(TGRA)[J]. Geographical Research, 1996, 15(3): 77-84. [9] 王洪杰, 李宪文, 史学正, 杨金玲. 四川紫色土区小流域土壤养分流失初步研究[J]. 土壤通报, 2002, 33(6):441-444.WANG Hongjie, LI Xianwen, SHI Xuezheng, YANG Jinling. Study on soil erosion of the small watershed in the purple area of Sichuan[J]. Chinese Journal of Soil Science, 2002, 33(6):441-444. [10] 林超文, 庞良玉, 陈一兵, 黄晶晶, 涂仕华. 四川盆地紫色土N, P损失载体及其影响因子[J]. 水土保持学报, 2008, 22(2):20-23,46.LIN Chaowen, PANG Liangyu, CHEN Yibing, HUANG Jingjing, TU Shihua. Carrier of losing N, P of purple soil in Sichuan Basin and its affecting factors[J]. Journal of Soil and Water Conservation, 2008, 22(2):20-23,46. [11] 张信宝, 王世杰, 曹建华, 王克林, 孟天友, 白晓永. 西南喀斯特山地水土流失特点及有关石漠化的几个科学问题[J]. 中国岩溶, 2016, 29(3):274-279. doi: 10.3969/j.issn.1001-4810.2010.03.009ZHANG Xinbao, WANG Shijie, CAO Jianhua, WANG Kelin, MENG Tianyou, BAI Xiaoyong. Characteristics of water loss and soil erosion and some scientific problems on karst rocky desertification in Southwest China karst area[J]. Carsologica Sinica, 2016, 29(3):274-279. doi: 10.3969/j.issn.1001-4810.2010.03.009 [12] Wang Jianxiu, Zou Baoping, Liu Yan, Tang Yiqun, Zhang Xinbao, Yang Ping. Erosion-creep-collapse mechanism of underground soil loss for the karst rocky desertification in Chenqi village, Puding county, Guizhou, China[J]. Environmental Earth Sciences, 2014, 72(8):2751-2764. doi: 10.1007/s12665-014-3182-0 [13] Williams P W. The role of the epikarst in karst and cave hydrogeology: A review[J]. International Journal of Speleology (Edizione Italiana), 2008, 37(1):1-10. doi: 10.5038/1827-806X.37.1.1 [14] 严友进, 戴全厚, 伏文兵, 彭旭东, 靳丽. 喀斯特裸坡产流产沙过程试验研究[J]. 生态学报, 2017, 37(6):2069-2079.YAN Youjin, DAI Quanhou, FU Wenbing, PENG Xudong, JIN Li. Runoff and sediment production processes on a karst bare slope[J]. Acta Ecologica Sinica, 2017, 37(6):2069-2079. [15] Kogovsek J, Petric M. Solute transport processes in a karst vadose zone characterized by long-term tracer tests (the cave system of Postojnska Jama, Slovenia)[J]. Journal of Hydrology, 2014, 519:1205-1213. doi: 10.1016/j.jhydrol.2014.08.047 [16] Flynn R M, Sinreich M. Characterisation of virus transport and attenuation in epikarst using short pulse and prolonged injection multi-tracer testing[J]. Water Research, 2010, 44(4):1138-1149. doi: 10.1016/j.watres.2009.11.032 [17] 闫钇全, 刘琦, 邓大鹏, 王涵. 表层岩溶裂隙带土壤地表流失/地下漏失室内模拟实验[J]. 中国岩溶, 2017, 31(5):1-8.YAN Yiquan, LIU Qi, DENG Dapeng, WANG Han. Qi, DENG Dapeng, WANG Han. Laboratory simulation study on soil surface loss and underground leakage in the epikarst fissure zone[J]. Journal of Soil and Water Conservation, 2017, 31(5):1-8. [18] 吴士章, 朱文孝, 苏维词, 李坡, 贺卫, 周庆珍. 喀斯特地区土壤侵蚀及养分流失定位试验研究:以贵阳市修文县久长镇为例[J]. 中国岩溶, 2005(3):36-39.WU Shizhang, ZHU Wenxiao, SU Weici, LI Po, HE Wei, ZHOU Qingzhen. Experiment on soil erosion and nutrient loss in karst area: A case in Jiuchang town, Xiuwen, Guiyang[J]. Carsologica Sinica, 2005(3):36-39. [19] 张伟, 陈洪松, 王克林, 张继光, 侯娅. 典型喀斯特峰丛洼地坡面土壤养分空间变异性研究[J]. 农业工程学报, 2008, 24(1):68-73.ZHANG Wei, CHEN Hongsong, WANG Kelin, ZHANG Jiguang, HOU Ya. Spatial variability of soil nutrients on hillslope in typical karst peak-cluster depression areas[J]. Transactions of the CSAE, 2008, 24(1):68-73. [20] 陈洪松, 杨静, 傅伟, 何菲, 王克林. 桂西北喀斯特峰丛不同土地利用方式坡面产流产沙特征[J]. 农业工程学报, 2012, 28(16):121-126.CHEN Hongsong, YANG Jing, FU Wei, HE Fei, WANG Kelin. Characteristics of slope runoff and sediment yield on karst hill-slope with different land-use types in northwest Guangxi[J]. Transactions of the Chinese Society of Agricultural Engineering (Transactions of the CSAE), 2012, 28(16):121-126. [21] Wang Sheng, Fu Zhiyong, Chen Hongsong, Nie Yunpeng, Xu Qinxue. Mechanisms of surface and subsurface runoff generation in subtropical soil-epikarst systems: Implications of rainfall simulation experiments on karst slope[J]. Journal of Hydrology, 2020, 580:124370. [22] Fu Zhiyong, Chen Hongsong, Xu Qinxue, Jia Jintian, Wang Sheng, Wang Kelin. Role of epikarst in near-surface hydrological processes in a soil mantled subtropical dolomite karst slope: implications of field rainfall simulation experiments[J]. Hydrological Processes, 2016, 30(5):795-811. doi: 10.1002/hyp.10650 [23] 付智勇, 陈洪松, 王克林, 张伟. 一种适宜高异质性喀斯特坡地的微型土壤水文监测系统[P].中国, ZL201310424726.3. 2015.FU Zhiyong, CHEN Hongsong, WANG Kelin, ZHANG Wei. Hydrological monitoring system suitable for micro-soil on high heterogeneous karst slope land[P]. China, ZL201310424726.3.2015. [24] Zheng F L, Huang C H, Norton L D. Effects of near-surface hydraulic gradients on nitrate and phosphorus losses in surface runoff[J]. Environmental Quality, 2004, 33(6):2174-2152. doi: 10.2134/jeq2004.2174 [25] 彭旭东, 戴全厚, 李昌兰. 模拟降雨下喀斯特坡耕地土壤养分输出机制[J]. 生态学报, 2018, 32(2):624-634.PENG Xudong, DAI Quanhou, LI Changlan. Output mechanism of soil nutrients from karst slope farmland under simulated rainfall[J]. Acta Ecologica Sinica, 2018, 32(2):624-634. [26] 颜萍, 熊康宁, 王恒松, 李晋, 刘洋. 喀斯特地区水土流失与水土保持研究进展[J]. 中国水土保持, 2016(406):58-63+77.YAN Ping, XIONG Kangning, WANG Hengsong, LI Jin, LIU Yang. Progress of study on soil and water loss and soil and water conservation of karst region[J]. Soil and Water Conservation in China, 2016(406):58-63+77. [27] 杨振华, 宋小庆, 苏维词. 西南喀斯特地区坡地产流过程及其利用技术[J]. 地球科学, 2019, 44(9):2931-2943.YANG Zhenhua, SONG Xiaoqing, SU Weici. Slope runoff process and its utilization technology in southwest karst area[J]. Earth Science, 2019, 44(9):2931-2943. [28] 张兴, 王克林, 付智勇, 陈洪松, 张伟, 史志华. 桂西北白云岩坡地典型土体构型石灰土水文特征[J]. 应用生态学报, 2017, 28(7):2186-2196.ZHANG Xing, WANG Kelin, FU Zhiyong, CHEN Hongsong, ZHANG Wei, SHI Zhihua. Hydrological characteristics of calcareous soil with contrasting architecture on dolomite slope of northwest Guangxi[J]. Chinese Journal of Applied Ecology, 2017, 28(7):2186-2196. [29] 姜光辉, 陈坤琨, 于奭, 彭稳. 峰丛洼地的坡地径流成分划分[J]. 水文, 2009, 29(6):14-19. doi: 10.3969/j.issn.1000-0852.2009.06.004JIANG Guanghui, CHEN Kunkun, YU Shi, PENG Wen. Separating karst slope runoff in peak cluster area[J]. Journal of China Hydrology, 2009, 29(6):14-19. doi: 10.3969/j.issn.1000-0852.2009.06.004 [30] 魏兴萍, 谢德体, 倪九派, 苏程烜. 重庆岩溶槽谷区山坡土壤的漏失研究[J]. 应用基础与工程科学学报, 2015, 23(3):462-473.WEI Xingping, XIE Deti, NI Jiupai, SU Chengxuan. Soil erosion and loss on slope in karst valley area, Chongqing with 137Cs[J]. Journal of Basic Science and Engineering, 2015, 23(3):462-473. [31] Dai Q H, Liu Z, Shao H, Yang Z. Karst bare slope soil erosion and soil quality: A simulation case study[J]. Solid Earth, 2015, 6(3):985-995. doi: 10.5194/se-6-985-2015 [32] 杨成英, 吴虹. 桂林毛村岩溶地下河流域水土流失遥感动态监测研究[J]. 中国岩溶, 2009, 28(2):206-211. doi: 10.3969/j.issn.1001-4810.2009.02.017YANG Chengying, WU Hong. RS monitoring soil erosion regime in the Maocun underground river basin, Guilin[J]. Carsologica Sinica, 2009, 28(2):206-211. doi: 10.3969/j.issn.1001-4810.2009.02.017 [33] Li Xiaoyan, Yang Zhipeng, Li Yuetan, Lin Henry, Li Dongsheng, Li Xiaoyan. Connecting ecohydrology and hydropedology in desert shrubs: Stemflow as a source of preferential flow in soils[J]. Hydrology and Earth System Sciences, 2009, 13:1133-1144. doi: 10.5194/hess-13-1133-2009 [34] 李昌兰, 戴全厚, 彭旭东, 袁应飞. 喀斯特坡耕地浅层地下孔(裂)隙发育过程中径流产污特征[J]. 环境科学学报, 2016, 36(12):4437-4445.LI Changlan, DAI Quanhou, PENG Xudong, YUAN Yingfei. Characteristics of nitrogen, phosphorus and potassium losses in underground runoff of karst slope farmlands during the developing process of shallow karst fissure[J]. Acta Scientiae Circumstantiae, 2016, 36(12):4437-4445. [35] Sander T, Gerke H H. Preferential flow patterns in paddy fields using a dye tracer[J]. Vadose Zone Journal, 2007, 6:105-115. doi: 10.2136/vzj2006.0035 [36] Richards P L, MD Norris, Lin B B. The hydrologic implications of old field succession: Depression storage and leaf litter[J]. Ecohydrology, 2013, 6(5): 863-877. -


下载: