• 全国中文核心期刊
  • 中国科技核心期刊
  • 中国科学引文数据库收录期刊
  • 世界期刊影响力指数(WJCI)报告来源期刊
  • Scopus, CA, DOAJ, EBSCO, JST等数据库收录期刊

留言板

尊敬的读者、作者、审稿人, 关于本刊的投稿、审稿、编辑和出版的任何问题, 您可以本页添加留言。我们将尽快给您答复。谢谢您的支持!

姓名
邮箱
手机号码
标题
留言内容
验证码

岩溶管道结晶堵塞水动力−化学反应耦合模拟对比研究

毛成君 杨蕴 吴剑锋 董平 吴吉春

毛成君,杨 蕴,吴剑锋,等. 岩溶管道结晶堵塞水动力−化学反应耦合模拟对比研究[J]. 中国岩溶,2023,42(2):245-256 doi: 10.11932/karst2021y37
引用本文: 毛成君,杨 蕴,吴剑锋,等. 岩溶管道结晶堵塞水动力−化学反应耦合模拟对比研究[J]. 中国岩溶,2023,42(2):245-256 doi: 10.11932/karst2021y37
MAO Chengjun, YANG Yun, WU Jianfeng, DONG Ping, WU Jichun. Numerical simulation of crystallization blocking in tunnel drainage pipes based on dynamic mesh and level set[J]. CARSOLOGICA SINICA, 2023, 42(2): 245-256. doi: 10.11932/karst2021y37
Citation: MAO Chengjun, YANG Yun, WU Jianfeng, DONG Ping, WU Jichun. Numerical simulation of crystallization blocking in tunnel drainage pipes based on dynamic mesh and level set[J]. CARSOLOGICA SINICA, 2023, 42(2): 245-256. doi: 10.11932/karst2021y37

岩溶管道结晶堵塞水动力−化学反应耦合模拟对比研究

doi: 10.11932/karst2021y37
基金项目: 国家重点研发计划资助(2019YFC1804300)
详细信息
    作者简介:

    毛成君(1997-),男,硕士研究生。研究方向:水资源管理。E-mail:maocj@smail.nju.edu.cn

    通讯作者:

    吴剑锋(1971-),男,教授,博士生导师,主要研究方向为水资源优化管理。E-mail:jfwu@nju.edu.cn

  • 中图分类号: P642.25;U452.11

Numerical simulation of crystallization blocking in tunnel drainage pipes based on dynamic mesh and level set

  • 摘要: 岩溶隧址区含水层内的高矿化度地下水渗入排水管道中,由于温压条件的改变,会导致渗流结晶从而堵塞排水管道。为定量化研究隧道排水系统结晶堵塞过程,本文首次构建了考虑管道水动力场、浓度场和化学反应场耦合的排水管岩溶水结晶堵塞模型,采用动网格和水平集方法定量刻画隧道排水系统结晶堵塞过程,开展模拟对比研究,分析温度、流速和溶液浓度等因素对结晶堵塞的影响程度。结果表明:(1)两种方法均能实现结晶堵塞过程的模拟预测,其中动网格方法建模简单,且求解精度高;水平集方法可追踪拓扑结构的变化,模拟管道完全堵塞的过程;(2)纵管内流速普遍大于横管,横管内CaCO3晶体浓度高于纵管,因此结晶堵塞主要发生于横管中;(3)温度和溶液浓度与结晶速率呈正相关关系,管内流速与结晶速率呈负相关关系。本文构建的考虑水动力−化学反应耦合的结晶堵塞数值模型可为岩溶隧道堵塞早期识别与安全评价提供技术支撑。

     

  • 图  1  管道结晶过程概化图(据Brahim et al.,2003)

    Figure  1.  Generalization of pipeline crystallization process (based on Brahim et al., 2003)

    图  2  结垢过程中的传质动力与析晶动力, 图中cF、cf、cs分别为主流体浓度、垢层附近浓度及碳酸钙的饱和浓度;TF、Tf分别为流体温度及垢层温度.(据Brahim et al.,2003)

    Figure  2.  Mass transfer forces and crystallization forces during scaling (based on Brahim et al., 2003)

    图  3  模型计算流程图

    Figure  3.  Flow chart of model calculation

    图  4  梁家坡隧道排水管现场结晶情况

    Figure  4.  Crystallization of the drainage pipe in the Liangjiapo Tunnel

    图  5  梁家坡隧道排水系统结构示意图

    Figure  5.  Schematic diagram of the drainage system of the Liangjiapo Tunnel

    图  6  “T”字型排水管概念模型及网格剖分图

    Figure  6.  Conceptual model and mesh division diagram of T-shaped drainage pipe

    图  7  排水管速度分布剖面图

    Figure  7.  Profile of the velocity distribution of the drainage pipe

    图  8  排水管CaCO3浓度分布纵剖面图

    Figure  8.  Longitudinal profile of CaCO3 concentration distribution in the drainage pipe

    图  9  排水管速度分布剖面图(100d)

    Figure  9.  Profile of velocity distribution of the drainage pipe (100d)

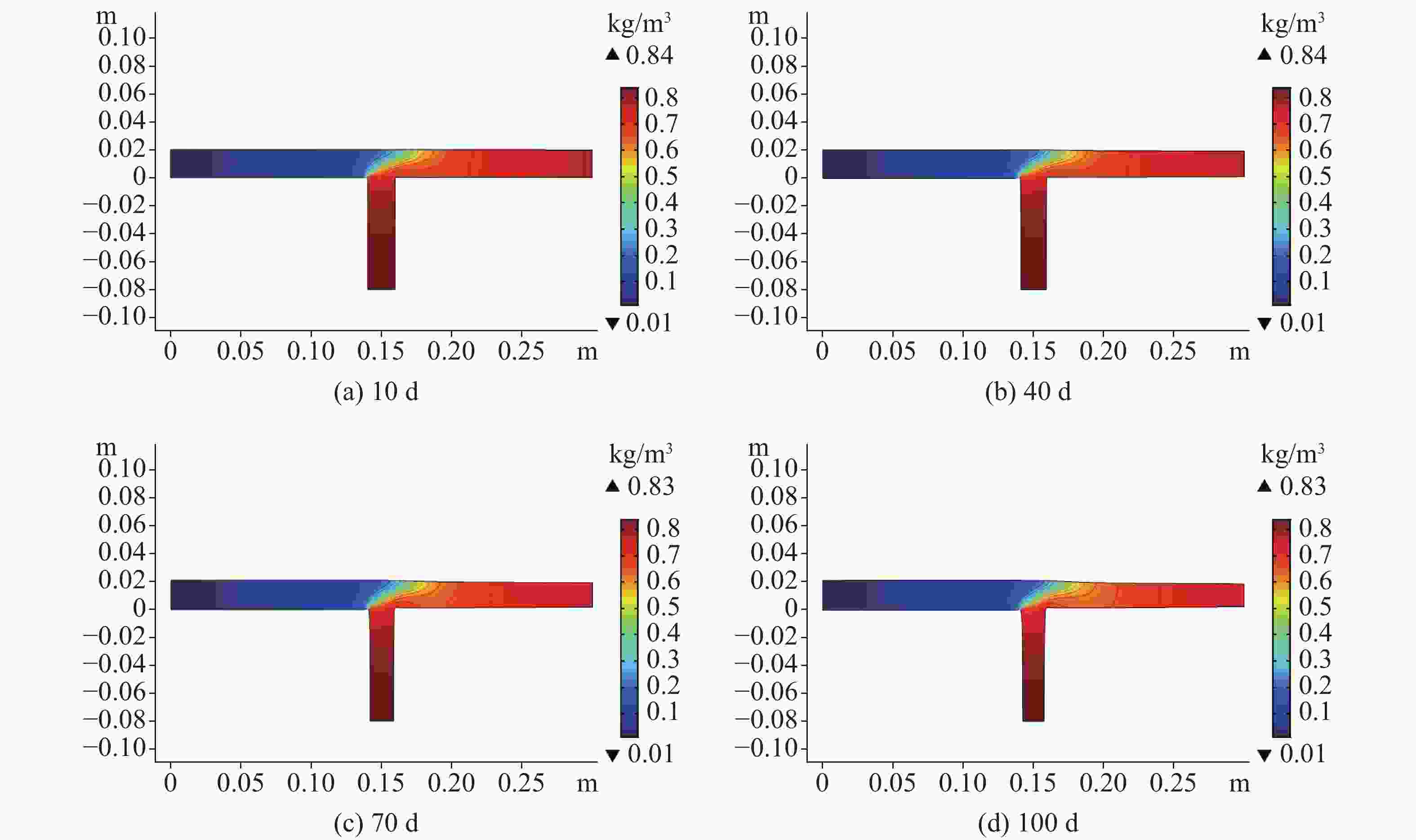
    图  10  排水管CaCO3浓度场分布图(100d)

    Figure  10.  Distribution diagram of CaCO3 concentration field in the drainage pipe (100d)

    图  11  排水管道内沉积界面分布变化示意图(图中颜色图例表示CaCO3的体积分数)

    Figure  11.  Schematic diagram of distribution variation of sediment interface in the drainage pipeline

    图  12  采用(a)水平集方法与(b)动网格方法模拟完全堵塞的结果对比

    (图中颜色图例表示CaCO3晶体的体积分数)

    Figure  12.  Comparison of blocking results based on (a) level set method and (b) dynamic mesh method

    图  13  沉积(md)、剥蚀(mr)及净沉积速率(m)随时间变化曲线图

    Figure  13.  Curve of deposition, denudation and net deposition rates over time

    图  14  不同浓度条件下CaCO3净沉积速率m随时间变化曲线图

    Figure  14.  Curve of net CaCO3 deposition rate m over time under different concentrations

    图  15  不同温度条件下CaCO3净沉积速率m随时间变化曲线图

    Figure  15.  Curve of CaCO3 net deposition rate m changing with time at different temperatures

    图  16  不同流速条件下净沉积速率m随时间变化曲线图

    Figure  16.  Curve of net deposition rate m over time at different flow rates

    图  17  不同流速条件下剥蚀速率mr随时间变化曲线图

    Figure  17.  Curve of denudation rate mr over time at different flow rates

    表  1  模型边界条件设定

    Table  1.   Setting of model boundary conditions

    边界物理场类型
    流场浓度场
    入口给定流速/流量给定浓度/通量
    出口自由流出(p = 0)自由流出(p = 0)
    管壁无滑移无通量
    下载: 导出CSV

    表  2  模型参数

    Table  2.   Model parameters

    管型形状长度/mm直径/mm
    纵管光滑圆管
    光滑圆管
    3002
    横管802
    下载: 导出CSV

    表  3  模型模拟工况设定

    Table  3.   Setting of model simulation conditions

    工况空白组对照组
    压力/atm11
    温度/K293.15273.15、283.15、303.15
    入口浓度(以Ca2+计)/
    mol·m−3
    8.56.5、7.5、10
    入口流速/m·s−10.5410.3、0.7、0.9
    下载: 导出CSV
  • [1] 袁道先, 章程. 岩溶动力学的理论探索与实践[J]. 地球学报, 2008, 29(3):355-365. doi: 10.3321/j.issn:1006-3021.2008.03.009

    YUAN Daoxian, ZHANG Cheng. Karst Dynamics Theory in China and its practice[J]. Acta Geoscientica Sinica, 2008, 29(3):355-365. doi: 10.3321/j.issn:1006-3021.2008.03.009
    [2] 周卓. 岩溶地区地下水渗流结晶堵塞隧道排水管机理研究及处治建议[D]. 西安: 长安大学, 2015.

    ZHOU Zhuo. Study on the plug of the tunnel drainage pipe mechanism caused by groundwater seepage crystallization in karst area and the proposal of treatment[D]. Xi'an: Chang'an University, 2015.
    [3] 向立辉. 富水隧道排水盲管堵塞效应分析及防治[D]. 重庆: 重庆交通大学, 2018.

    XIANG Lihui. Analysis and prevention of tunnel drainage pipe blockage effect in water rich region[D]. Chongqing: Chongqing Jiaotong University, 2018.
    [4] 宋焕荣, 黄尚瑜. 碳酸盐的结晶沉淀[J]. 中国岩溶, 1990, 9(2):3-16.

    SONG Huanrong, HUANG Shangyu. Crystallized precipitation of carbonate[J]. Carsologica Sinica, 1990, 9(2):3-16.
    [5] Plummer L, Wigley T, Parkhurst D. The kinetics of calcite dissolution in CO2-water systems at 5 ℃ to 60 ℃ and 0.0 to 1.0 atm CO2[J]. American Journal of Science, 1978, 278(2):179-216. doi: 10.2475/ajs.278.2.179
    [6] Dreybrodt W, Buhmann D. A mass transfer model for dissolution and precipitation of calcite from solutions in turbulent motion[J]. Chemical Geology, 1991, 90(1-2):107-122.
    [7] 刘再华, Dreybrodt W. DBL理论模型及方解石溶解、沉积速率预报[J]. 中国岩溶, 1998, 12(1):3-9.

    LIU Zaihua, Dreybrodt W. The DBL model and prediction of calcite dissolution/precipitation rates[J]. Carsologica Sinica, 1998, 12(1):3-9.
    [8] Epstein N. Fouling in heat exchangers[C]. Proceedings of the 6th International Heat Transfer Conference, 1986, 6: 235-253.
    [9] 叶飞, 田崇明, 何彪, 赵猛, 王坚, 韩兴博, 宋桂锋. 在建隧道排水系统结晶堵塞试验[J]. 中国公路学报, 2021, 34(3):159-170.

    YE Fei, TIAN Chongming, HE Biao, ZHAO Meng, Wang Jian, HAN Xingbo, SONG Guifeng. Experimental study on scaling and clogging in drainage system of tunnels under construction[J]. China Journal of Highway and Transport, 2021, 34(3):159-170.
    [10] 高国红. 富水公路隧道排水系统结晶堵塞典型病害分析与处置[J]. 公路交通科技(应用技术版), 2020, 16(3):250-251.

    GAO Guohong. Analysis and treatment of typical crystallization blocking disease of tunnel drainage system in water rich region of highway[J]. Journal of Highway and Transportation Research and Development (Applied Technology Edition), 2020, 16(3):250-251.
    [11] 蒋雅君, 杜坤, 陶磊, 赵菊梅, 肖华荣. 岩溶隧道排水系统堵塞机理的调查与分析[J]. 铁道标准设计, 2019, 63(7):131-135.

    JIANG Yajun, DU Kun, TAO Lei, ZHAO Jumei, XIAO Huarong. Investigation and discussion on blocking mechanism of drainage system in karst tunnels[J]. Railway Standard Design, 2019, 63(7):131-135.
    [12] 刘士洋, 高峰, 周元辅, 刘强, 吕获印, 王博, 向坤, 肖东杰. 绒毛长度对隧道植绒排水管防除结晶效果试验[J]. 科学技术与工程, 2019, 19(9):234-239. doi: 10.3969/j.issn.1671-1815.2019.09.037

    LIU Shiyang, GAO Feng, ZHOU Yuanfu, LIU Qiang, LYU Huoyin, WANG Bo, XIANG Kun, XIAO Dongjie. Effect of fuzz length on the prevention of crystallization of tunnel flocking drainpipes[J]. Science Technology and Engineering, 2019, 19(9):234-239. doi: 10.3969/j.issn.1671-1815.2019.09.037
    [13] Hasson D, Avriel M, Resnick W, Rozenman T, Windreich S. Mechanism of calcium carbonate scale deposition on heat-transfer surfaces[J]. Industrial and Engineering Chemistry Fundamentals, 1968, 7(1):59-65.
    [14] Bohnet M. Fouling of heat transfer surfaces[J]. Chemical Engineering & Technology, 1987, 10(1):113-125. doi: 10.1002/ceat.270100115
    [15] Brahim F, Augustin W, Bohnet M. Numerical simulation of the fouling process[J]. International Journal of Thermal Sciences, 2003, 42(3):323-334. doi: 10.1016/S1290-0729(02)00021-2
    [16] Brahim F, Augustin W, Bohnet M. Numerical simulation of the fouling on structured heat transfer surfaces (fouling)[J]. Proceedings of Heat Exchanger Fouling and Cleaning: Fundamentals and Applications, 2004:17.
    [17] 徐志明, 张仲彬, 程浩明. 管内CaCO3污垢形成过程的数值模拟[J]. 工程热物理学报, 2009, 30(12):2099-2101. doi: 10.3321/j.issn:0253-231X.2009.12.034

    XU Zhiming, ZHANG Zhongbin, CHENG Haoming. Numerical simulation of CaCO3 fouling process in a tube[J]. Journal of Engineering Thermophysics, 2009, 30(12):2099-2101. doi: 10.3321/j.issn:0253-231X.2009.12.034
    [18] 徐志明, 张进朝, 张仲彬, 白珊. 圆管内CaSO4析晶污垢模型与数值模拟[J]. 化学工程, 2009, 37(7):13-16. doi: 10.3969/j.issn.1005-9954.2009.07.004

    XU Zhiming, ZHANG Jinchao, ZHANG Zhongbin, BAI Shan. Model and numerical simulation of CaSO4 crystallization fouling in circular tube[J]. Chemical Engineering, 2009, 37(7):13-16. doi: 10.3969/j.issn.1005-9954.2009.07.004
    [19] 徐志明, 朱宏娟, 张一龙. 直角弯管硫酸钙污垢沉积特性研究[J]. 东北电力大学学报, 2014(3):7-13. doi: 10.3969/j.issn.1005-2992.2014.04.007

    XU Zhiming, ZHU Hongjuan, ZHANG Yilong. Research of CaSO4 fouling in right-angle pipe bends[J]. Journal of Northeast Electric Power University, 2014(3):7-13. doi: 10.3969/j.issn.1005-2992.2014.04.007
    [20] 李竑序. 管壁材质对碳酸钙垢生长的影响及其机理研究[D]. 兰州: 兰州交通大学, 2017.

    LI Hongxu. The effect of tube wall material on growth of calcium carbonate fouling and its mechanism[D]. Lanzhou: Lanzhou Jiaotong University, 2017.
    [21] 李竑序, 艾雄杰, 王良璧, 常立民, 王良成. 管壁材质对碳酸钙垢生长的影响及其机理研究[J]. 工程热物理学报, 2018, 39(12):2773-2778.

    LI Hongxu, AI Xiongjie, WANG Liangbi, CHANG Limin, WANG Liangcheng. Effect of tube wall material on calcium carbonate scale growth and its mechanism[J]. Journal of Engineering Thermophysics, 2018, 39(12):2773-2778.
    [22] 王磊, 赵莹, 徐凤煜. 换热面材质对硫酸钙结垢形态的影响试验研究[J]. 重庆电力高等专科学校学报, 2019, 24(5):21-23.

    WANG Lei, ZHAO Ying, XU Fengyu. An experimental study of the influence of the materials of the heating surface on the scaling forms of CaSO4[J]. Journal of Chongqing Electric Power College, 2019, 24(5):21-23.
    [23] Hasson D, Avriel M, Resnick W, Rozenman T, Windreich S. Calcium carbonate scale deposition on heat transfer surfaces[J]. Desalination, 1968, 5(1):107-119. doi: 10.1016/S0011-9164(00)80198-8
    [24] M Förster, Augustin W, Bohnet M. Influence of the adhesion force crystal/heat exchanger surface on fouling mitigation[J]. Chemical Engineering and Processing Process Intensification, 1999, 38(4-6):449-461. doi: 10.1016/S0255-2701(99)00042-2
    [25] Kern D Q, Seaton R E. A theoretical analysis of thermal surface fouling[J]. British Chemical Engineering, 1959, 4:258-262.
    [26] 王险峰. 复空间形式中的拉格朗日子流形[D]. 北京: 清华大学, 2011.

    WANG Xianfeng. Lagrangian submanifolds in complex space forms[D]. Beijing: Tsinghua University, 2011.
    [27] 黄弘, 胡啸峰, 申世飞, 原智宏, 冈林一木, 大场良二. 基于Lagrangian模型与Eulerian模型耦合的建筑物周边气体扩散模拟[J]. 清华大学学报(自然科学版), 2011, 51(12):1870-1876.

    HUANG Hong, HU Xiaofeng, SHEN Shifei, TOMOHIRO Hara, KAZUKI Okabayashi, RYOHJI Ohba. Simulation of pollutant diffusion based on Lagrangian/Eulerian hybrid model around buildings[J]. Journal of Tsinghua University (Science and Technology), 2011, 51(12):1870-1876.
    [28] 江帆, 陈维平, 王一军, 区嘉洁. 基于动网格的离心泵内部流场数值模拟[J]. 流体机械, 2007, 35(7):20-24.

    JIANG Fan, CHEN Weiping, WANG Yijun, OU Jiajie. Numerical simulation of flow field inside of centrifugal pump based on dynamics mesh[J]. Fluid Machinery, 2007, 35(7):20-24.
    [29] 童亮, 余罡, 彭政, 余江洪, 肖金生. 基于VOF模型与动网格技术的两相流耦合模拟[J]. 武汉理工大学学报(信息与管理工程版), 2008(4):525-528.

    TONG Liang, YU Gang, PENG Zheng, YU Jianghong, XIAO Jinsheng. Coupled Simulation of two phase flow based on VOF model and dynamic mesh technology[J]. Journal of Wuhan University of Technology (Information and Management Engineering), 2008(4):525-528.
    [30] Osher S, Sethian James A. Fronts propagating with curvature-dependent speed: Algorithms based on Hamilton-Jacobi formulations[J]. Journal of Computational Physics, 1988, 79(1): 12-49.
    [31] Osher S, Fedkiw R, Piechor K. Level set methods and dynamic implicit surfaces[J]. Applied Mechanics Reviews, 2004, 57(3): B13-B17.
    [32] 翟明. 灰岩区隧道排水系统结晶堵塞规律研究[D]. 重庆: 重庆交通大学, 2016.

    ZHAI Ming. Study on the regularity of crystallization and blocking of tunnel drainage system in limestone area[D]. Chongqing: Chongqing Jiaotong University, 2016.
  • 加载中
图(17) / 表(3)
计量
  • 文章访问数:  1081
  • HTML浏览量:  559
  • PDF下载量:  52
  • 被引次数: 0
出版历程
  • 收稿日期:  2021-05-16
  • 刊出日期:  2023-04-25

目录

    /

    返回文章
    返回